//
ТехЛит.ру
- крупнейшая бесплатная электронная интернет библиотека для "технически умных" людей.
WWW.TEHLIT.RU - ТЕХНИЧЕСКАЯ ЛИТЕРАТУРА

:: Алготрейдинг::


АЛГОТРЕЙДИНГ
шаг за шагом
с нуля по урокам!

Торговые роботы на PYTHON, BackTrader,
Pandas, Pine Script для TradingView. Связка с брокерами, телеграм и легкими приложениями.


Т.    ОБЩЕТЕХНИЧЕСКИЕ И ОРГАНИЗАЦИОННО-МЕТОДИЧЕСКИЕ СТАНДАРТЫ

Изменение №  1 ГОСТ 12.1.044-89 Система стандартов безопасности   труда. Пожаровзрывоопасность веществ и материалов. Номенклатура по­казателей и методы их определения

Принято Межгосударственным Советом по стандартизации, метрологии и сертификации (протокол № 16 от 8.10.99)

Зарегистрировано Техническим секретариатом МГС № 3461

За принятие изменения проголосовали:

 

Наименование государства

Наименование национального органа  по стандартизации

Республика Беларусь

Госстандарт Беларуси

Республика Казахстан

Госстандарт Республики Казахстан

Республика Молдова

Молдова стандарт

Российская Федерация

Госстандарт России

Туркменистан

Главная государственная инспекция Туркменистана

 

 

Украина

Госстандарт Украины

Пункт 1.4. Таблицу 1 дополнить показателем - «Концентрационный предел диффузионного горения газовых смесей в воздухе»:

 

Показатель

Агрегатное состояние веществ и материалов

Газы

Жидкости

Твердые

Пыли

Концентрационный предел диффузион­ного горения газовых смесей в воздухе

 

+

+

-

-

Раздел 2 дополнить пунктами - 2.21, 2.21,1-2.21.4:

«2.21 .Концентрационный предел диффузион­ного    горения   газовых  смесей в воздухе

2.21.1. Концентрационный предел диффузионного горения газовых смесей в воздухе (ПДГ) - предельная концентрация газа в смеси' с разбавителем, при которой данная газовая смесь при истечении в атмосферу не способна к диффузионному горению.

2.21.2.        Концентрационный предел диффузионного горения газовых смесей в воздухе следует учитывать при разработке мероприятий по обес­печению пожаровзрывобезопасности технологических процессов в соот­ветствии с требованиями ГОСТ 12.1.004-91 и ГОСТ 12.1.010-76.

2.21.3.        Сущность метода определения концентрационного предела диффузионного горения газовых смесей в воздухе заключается в определении предельной концентрации горючего газа в смеси с разбавителем, при которой данная газовая смесь не способна к диффузионному, горению. При этом фиксируется предельная скорость подачи газовой смеси.

2.21.4. Метод определения концентрационного предела диффузионно­го горения газовых смесей в воздухе применим для смесей с температу­рой 20-300 'С».    

Раздел 4* дополнить пунктами - 4.22, 4.22.1, 4.22.1.1-4.22.1.3, 4.22.2, 4.22.2.1-4.22.2.4, 4.22.3, 4.22.3.1-4.22.3.5, 4.22.4, 4.22.4.1-4.22.4.3, 4.22.5:

«4.22. Метод экспериментального определения концентрационного предела, диффузионного горения '(ПДГ) газовых   смесей   в воздухе"'

4.22.1. Аппаратура

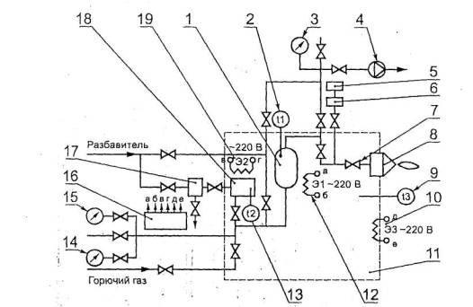
Установка для определения ПДГ газовых смесей в воздухе представле­на на черт.21а.                     

4.22.1.1. Термостат представляет собой замкнутый объем с термоизо­ляцией. Термостат предназначен для поддержания заданного температур­ного режима 20-300*С газовой смеси путём нагрева элементов системы газоприготовления. Обогрев термостата осуществляется нагревателем ЭЗ мощностью 9,6 кВт. Внутри термостата размещен ресивер для приготов­ления смеси горючего газа с разбавителем и парогенератор, предназна­ченный для приготовления водяного пара или пара горючей жидкости. Ресивер представляет собой сосуд объемом 20 дм3, рассчитанный на дав­ление 2,5 МПа. Обогрев ресивера осуществляется нагревателем Э1 мощ­ностью 6,2 кВт. Парогенератор представляет собой сосуд объемом 25 дм3.Для получения водяного пара служит нагреватель Э2 мощностью 9,6 кВт. Допускается    отклонение от указанных значений объемов и мощностей на 5%.

4.22.1.2.Насадок диффузионного горения (НДГ) представляет собой сопло Лаваля с форсункой (2,1±0,1) мм.   

4.22.1.3. Элементы измерительной системы:

система терморегулирования и управления нагревателями Э1, Э2, ЭЗ;
вакуумметры класса точности 0,4; 
                                                        :


I - ресивер,     2-первичный      термопреобразователь    t1;      3- вакуумметр;

4- вакуумный насос; 5 - измерительное устройство сигналов с датчика давления;

6 - датчик давления; 7 - вентиль точной регулировки; 8 - насадок диффу­зионного горения;

9-первичный термопреобразователь t3; 10— нагреватель ЭЗ;
11 - термостат; 12 - нагреватель Э1; 13 - первичный термопреобразователь t2;
14 -
вакуумметр; 15 - манометр; 16 - система терморегулирования;

17 - ем­кость для воды; 18 - парогенератор; 19 - нагреватель Э2

                                                                                                                                                                                 

Черт. 21а.

манометры с диапазоном измерения 1,0 и 0,25 МПа класса точности 0,4; тип манометра выбирается исходя из условия приготовления газовой смеси с точностью 0,5 % (об.) и необходимого начального давления сме­си в ресивере;

датчик давления с диапазоном измерения 1,0 МПа;

измерительно-регистрирующая аппаратура для измерения сигналов с датчика давления в частотном диапазоне до 10 Гц с верхним пределом измерения не более 1,0МПа

4.22.2.Подготовка к испытаниям

4.22.2.1.Проверяют наличие и содержание паспортных данных на ис­следуемое вещество.

4.22.2.2.Проверяют оборудование на герметичность. Для этого в реси­вер подают воздух или инертный разбавитель под избыточным давлением 1,0 МПа. Установка считается герметичной, если за 300 с давление упало менее чем на половину деления по шкале манометра с диапазоном измерения 1,0 МПа класса точности 0,4.  

4.22.2.3.Проводят тарировку датчика давления по показаниям образцового манометра с диапазоном измерения 0,25 МПа класса точности 0,4. 

4.22.2.4.При работе с горючей жидкостью с низким давлением паров при температуре 20 *С жидкость наливают в парогенератор, включаютнагреватели.Э1, Э2, ЭЗ и нагревают парогенератор, ресивер и термостат до температуры, при которой давление ларов горючей жидкости доста­точно для создания требуемых газовых смесей.

4.22.3.        Проведение испытаний

4.22.3.1.Проводят вакуумирование газовых магистралей, подключен­ных к смесителю и обеспечивающих подачу газовой смеси на насадок диффузионного горения.

4.22.3.2.По парциальным давлениям газов Pt в ресивере приготавлива­ют требуемую газовую смесь исследуемого горючего и разбавителя. Кон­центрацию газа Сi, рассчитывают по формуле

Сi=100·Pi/Pобщ.

где Pобщ общее давление в ресивере :МПа.      

Приготовление смеси осуществляют в следующей последовательнос­ти:

в ресивер подают горючий газ;                   

осуществляют вакуумирование газовых магистралей;   

подают в ресивер разбавитель:                     

4.22.3.3.Включают нагреватель Э1 и исследуемую газовую смесь нагре­вают до заданной температуры. Указанную температуру вносят в прото­кол испытаний (приложение 1) как температуру исследуемой газовой смеси.       ;                                         .

4.22.3.4.Открывают линию подачи газовой смеси на НДГ. Скорость истечения заданной газовой смеси из форсунки при этом должна быть минимально возможной. Одновременно ее зажигают (пламенем спиртов­ки, спичками и т. п.).

После зажигания газовой смеси и образования устойчивого горения диффузионного факела начинают увеличивать скорость истечения газа из форсунки с помощью вентиля точной регулировки. Увеличение скорости истечения продолжается до тех пор, пока не наступит срыв пламени. В момент срыва горения фиксируют давление на входе НДГ. Процедуру определения давления срыва диффузионного пламени по­вторяют 5 раз. По результатам этих измерений определяют среднее ариф­метическое значение Pср

4.22.3.5. Повторяют серию экспериментов в соответствии с п.п. 4.22.3.1 - 4.22.3.4 при концентрациях горючего газа в смеси на 5 % (об.) ниже предыдущих значений. В области предельных концентраций горючего газа в смеси с разбавителем концентрация горючего газа изменяется с шагом 1 % (об.).

При проведении серии огневых испытаний в каждом опыте в момент зажигания газовой смеси необходимо выполнение условия, при котором давление газа перед форсункой должно быть ниже первого измеренного в данной серии испытаний значения Pср

Путем последовательного уменьшения концентрации горючего газа в смеси с разбавителем определяют концентрацию горючего газа, при ко­торой данная газовая смесь при истечении в атмосферу не способна к диффузионному горению.

4.22.4. Обработка результатов

4.22.4.1.За концентрационный предел диффузионного горения газо­вых смесей в воздухе принимают среднее арифметическое значение ближайших концентраций горючего, различающихся не более чем на 2 %(об.)., при одной из которых наблюдается диффузионное горение газо­вой смеси при истечении в атмосферу, а при другой - его отсутствие.

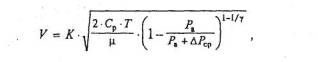
4.22.4.2.По результатам измерений рассчитывают скорость срыва диф­фузионного горения V, м/с, по формуле

где К - коэффициент расхода форсунки, равный 0,75;

- молекулярная масса исследуемой газовой смеси, кг/моль;

СP - теплоемкость исследуемой газовой смеси, кДж/моль-К;

Т - температура газа, К;

 Ра - атмосферное давление, Ра = 1,01·105 Па;

Pср - избыточное давление, при котором наблюдается срыв диффузи­онного горения, Па;

у = СP V


4.22.4.3. Условия и результаты испытаний регистрируют в протоколе, форма которого приведена в приложении 1.

4.22.5. Требования безопасности

При испытаниях необходимо соблюдать меры безопасности, связанные с работой с открытым огнем.

В процессе подготовки и проведения испытаний следует применять индивидуальные средства защиты, выбираемые в соответствии со свой­ствами исследуемого вещества.

Рабочее место оператора должно удовлетворять требованиям электро - безопасности ГОСТ 12.1.019-79 и санитарно-гигиеническим требованиям ГОСТ 12.1.005-88.

Обслуживающий персонал обязан строго выполнять инструкции по безопасной эксплуатации сосудов, работающих под давлением».

Приложение 1. дополнить протоколом опытов по определению преде­ла диффузионного горения газовых составов:

«Протокол

опытов по определению концентрационного предела диффузионного горения газовых смесей в воздухе

Дата проведения испытаний __________________________________________________________________________

Наименование горючего ______________________________________________________________________________

Наименование разбавителя  ___________________________________________________________________________

Температура исследуемой газовой смеси ________________________________________________________________

Атмосферное давление ________________________________________________________________________________

 

 

Номер п/п

Концентрация горючего,

% (об.)

Давление срыва, кПа

Скорость срыва диффузионного горения, м/с

 

 

 

 

Принятое значение ПДГ смеси _____________ в воздухе при температуре ___________°С составляет ___________ % (об.).

Фамилия оператора ________________________________________________»

                                                      подпись

(ИУС № 7   2000 г.)




Яндекс цитирования



   Copyright © 2007-2026,  www.tehlit.ru.

[ ѓосты, стандарты, нормативы, инструкции, правила, строительные нормы ]