//
ТехЛит.ру
- крупнейшая бесплатная электронная интернет библиотека для "технически умных" людей.
WWW.TEHLIT.RU - ТЕХНИЧЕСКАЯ ЛИТЕРАТУРА

:: Алготрейдинг::


АЛГОТРЕЙДИНГ
шаг за шагом
с нуля по урокам!

Торговые роботы на PYTHON, BackTrader,
Pandas, Pine Script для TradingView. Связка с брокерами, телеграм и легкими приложениями.


ГОСУДАРСТВЕННОЕ САНИТАРНО-ЭПИДЕМИОЛОГИЧЕСКОЕ НОРМИРОВАНИЕ
РОССИЙСКОЙ ФЕДЕРАЦИИ

4.1. МЕТОДЫ КОНТРОЛЯ. ХИМИЧЕСКИЕ ФАКТОРЫ

ИЗМЕРЕНИЕ КОНЦЕНТРАЦИЙ ВРЕДНЫХ ВЕЩЕСТВ
В ВОЗДУХЕ РАБОЧЕЙ ЗОНЫ

ИЗМЕРЕНИЕ КОНЦЕНТРАЦИЙ БЕМЕГРИДА МЕТОДОМ
ВЫСОКОЭФФЕКТИВНОЙ ЖИДКОСТНОЙ ХРОМАТОГРАФИИ
В ВОЗДУХЕ РАБОЧЕЙ ЗОНЫ

МУК 4.1.0.475-96

ВЫПУСК 34

МИНЗДРАВ РОССИИ

Москва 2003

1. Методические указания разработаны с целью обеспечения контроля соответствия фактических концентраций вредных веществ их предельно допустимым концентрациям (ПДК) и ориентировочно безопасным уровням воздействия, санитарно-гигиеническим нормативам и являются обязательными при осуществлении санитарного контроля.

2. Методические указания по измерению концентраций вредных веществ в воздухе рабочей зоны (выпуск 34) утверждены и. о. председателя Госкомсанэпиднадзора России, заместителем Главного Государственного санитарного врача Российской Федерации Беляевым Е. Н. 8 июня 1996 г.

3. Введены впервые.

4. Включенные в данный выпуск методики контроля разработаны и подготовлены в соответствии с требованиями ГОСТ 12.1.005-88 ССБТ «Воздух рабочей зоны. Общие санитарно-гигиенические требования», ГОСТ 12.1.016-79 ССБТ «Воздух рабочей зоны. Требования к методикам контроля измерения концентраций вредных веществ», ГОСТ Р 1.5-92 п. 7.3, ГОСТ 8.010-90 «Государственная система обеспечения единства измерений. Методики выполнения измерений». Методические указания одобрены комиссией по государственному санитарно-эпидемиологическому нормированию Госкомсанэпиднадзора России и Проблемной комиссией «Научные основы гигиены труда и профпатологии».

Методические указания по измерению концентраций вредных веществ в воздухе рабочей зоны (выпуск 34) предназначены для центров Госкомсанэпиднадзора, санитарных лабораторий промышленных предприятий при осуществлении контроля за содержанием вредных веществ в воздухе рабочей зоны, а также заинтересованных министерств и ведомств.

Ответственный исполнитель: Г. А. Дьякова

Исполнители: Г. А. Дьякова, Л. Г. Макеева, Е. М. Малинина, С. М. Попова, Е. Н. Грицун, Т. В. Рязанцева, Г. Ф. Громова.

УТВЕРЖДЕНО

И. о. Председателя

Госкомсанэпиднадзора России –

заместитель Главного государственного

санитарного врача Российской Федерации

Е. Н. Беляев

8 июня 1996 г.

МУК 4.1.0.475-96

Дата введения: с момента утверждения

4.1. МЕТОДЫ КОНТРОЛЯ. ХИМИЧЕСКИЕ ФАКТОРЫ

ИЗМЕРЕНИЕ КОНЦЕНТРАЦИЙ БЕМЕГРИДА МЕТОДОМ
ВЫСОКОЭФФЕКТИВНОЙ ЖИДКОСТНОЙ ХРОМАТОГРАФИИ
В ВОЗДУХЕ РАБОЧЕЙ ЗОНЫ

М. м. 208,35

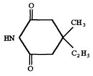
Бемегрид (2-метил-2-этилглутаримид) - кристаллическое вещество белого цвета. Растворим в воде. Трудно растворим в спиртах, эфире. Тпл. 126-128 °С.

В воздухе находится в виде аэрозоля.

Обладает общетоксическим действием.

ОБУВ в воздухе 0,2 мг/м3.

Характеристика метода

Метод основан на использовании высокоэффективной жидкостной хроматографии с применением УФ-детектора.

Отбор проб производится с концентрированием на фильтр.

Нижний предел измерения бемегрида в хроматографируемом объеме пробы (50 мкл) 0,01 мкг.

Нижний продел измерения бемегрида в воздухе 0,1 мг/м3 (при отборе 20 л воздуха).

Диапазон измеряемых концентраций бемегрида в воздухе от 0,1 до 2,0 мг/м3.

Определению не мешает присутствие солюсульфона, кетамина и аскорбиновой кислоты.

Суммарная погрешность измерения не превышает ±20 %.

Время выполнения измерения, включая отбор пробы, около 40 минут.

Приборы, аппаратура, посуда

Микроколоночный жидкостной хроматограф «Милихром» или другие модели с УФ-детектором

 

Хроматографическая колонка длиной 120 мм, внутренним диаметром 2 мм, заполненная сорбентом «Силасорб С8» с размером зерен 6,0 мкм (Чехия)

 

Электроаспиратор ЭА-1

ОСТ 95.10052-84

Фильтродержатель

 

Колбы мерные, вместимостью 100 мл

ГОСТ 1770-74

Пипетки, вместимостью 1, 10 мл

ГОСТ 20292-74

Пробирки с пришлифованными пробками, вместимостью 10 мл

ГОСТ 10515-75

Реактивы, растворы, материалы

Бемегрид, фармакопейный

 

Спирт метиловый, х. ч.

ГОСТ 6995-77

Элюент: метиловый спирт - вода (1:2)

 

Стандартный раствор № 1 с концентрацией бемегрида 100 мкг/мл готовят растворением 0,01 г бемегрида в воде в мерной колбе вместимостью 100 мл.

Стандартный раствор № 2 с концентрацией бемегрида 10 мкг/мл готовят соответствующим разбавлением стандартного раствора № 1 водой.

Растворы устойчивы при хранении в холодильнике в течение недели.

Фильтры АФА-ВП-10

ТУ 85-743-80

Отбор пробы воздуха

Воздух с объемным расходом 4 л/мин аспирируют через фильтр АФА-ВП-10. Для определения 0,5 ОБУВ достаточно отобрать 20 л воздуха. Пробы можно хранить в закрытых сосудах в холодильнике в течение месяца.

Подготовка к измерению

Хроматографическая колонка промышленного изготовления. Инжектируют в хроматограф от 0,01 до 0,2 мкг бемегрида из стандартного раствора № 2.

Условия хроматографирования градуировочных смесей и анализируемых проб:

Температура термостата колонки                                                         +20 °С

Скорость подачи элюента (метиловый спирт - вода (1:2))                200 мкл/мин

Длина волны УФ-детектора                                                                  210 нм

Скорость движения диаграммной ленты                                             6 мм/мин

Чувствительность детектора                                                                 0,4

Диапазон измерения самописца                                                           100 мВ

Максимальный объем вводимой пробы                                              50 мкл

Время удерживания бемегрида                                                             6 мин

Элюирующий объем                                                                              1200 мкл

Эффективность колонки по бемегриду                                                 4450 тт

На полученной хроматограмме измеряют площади пиков и строят градуировочную кривую, выражающую зависимость площади пиков (мм2) от содержания бемегрида в хроматографируемом объеме пробы (мкг).

Построение градуировочных графиков необходимо проводить не менее, чем по 6 точкам, выполняя по 5 параллельных измерений для каждого инжектируемого объема. Проверку градуировочных графиков следует проводить при изменении условий анализа, но не реже 1 раза в месяц.

Проведение измерения

Фильтр с отобранной пробой помещают в пробирку с пришлифованной пробкой, добавляют 10 мл воды и оставляют на 15 минут при комнатной температуре и периодическом перемешивании. Степень десорбции с фильтра 97 %.

Хроматографирование анализируемого раствора проводят в тех же условиях по отношению к тому же элюенту, что и при построении градуировочного графика.

Количественное определение содержания бемегрида в хроматографируемом объеме проводят по предварительно построенному градуировочному графику.

Расчет концентрации

Концентрацию бемегрида (С) в воздухе (в мг/м3) вычисляют по формуле:

, где

а - содержание бемегрида в хроматографируемом объеме пробы, найденное по градуировочному графику, мкг;

б - объем пробы, взятой на хроматографирование, мл;

в - общий объем анализируемого раствора, мл;

V - объем воздуха, отобранного для анализа и приведенный к стандартным условиям, л (см. приложение 1).

Приложение 1

Приведение объема воздуха к стандартным условиям

Приведение объема воздуха к стандартным условиям (температура 20 °С и давление 760 мм рт. ст.) проводят по формуле:

, где

Vt - объем воздуха, отобранный для анализа, л;

Р - барометрическое давление, кПа (101,33 кПа = 760 мм рт. ст.);

t - температура воздуха в месте отбора пробы, °С.

Для удобства расчета V20 следует пользоваться таблицей коэффициентов (приложение 2). Для приведения воздуха к стандартным условиям надо умножить Vt на соответствующий коэффициент.

Приложение 2

Коэффициенты для приведения объема воздуха к стандартным условиям

Давление Р, кПа/мм рт. ст.

°С

97,33/730

97,86/734

98,4/738

98,93/742

99,46/746

100/750

100,53/754

101,06/758

101,33/760

101,86/764

-30

1,1582

1,1646

1,1709

1,1772

1,1836

1,1899

1,1963

1,2026

1,2058

1,2122

-26

1,1393

1,1456

1,1519

1,1581

1,1644

1,1705

1,1768

1,1831

1,1862

1,1925

-22

1,1212

1,1274

1,1336

1,1396

1,1458

1,1519

1,1581

1,1643

1,1673

1,1735

-18

1,1036

1,1097

1,1158

1,1218

1,1278

1,1338

1,1399

1,1460

1,1490

1,1551

-14

1,0866

1,0926

1,0986

1,1045

1,1105

1,1164

1,1224

1,1284

1,1313

1,1373

-10

1,0701

1,0760

1,0819

1,0877

1,0986

1,0994

1,1053

1,1112

1,1141

1,1200

-6

1,0540

1,0599

1,0657

1,0714

1,0772

1,0829

1,0887

1,0945

1,0974

1,1032

-2

1,0385

1,0442

1,0499

1,0556

1,0613

1,0669

1,0726

1,0784

1,0812

1,0869

0

1,0309

1,0366

1,0423

1,0477

1,0535

1,0591

1,0648

1,0705

1,0733

1,0789

+2

1,0234

1,0291

1,0347

1,0402

1,0459

1,0514

1,0571

1,0627

1,0655

1,0712

+6

1,0087

1,0143

1,0198

1,0253

1,0309

1,0363

1,0419

1,0475

1,0502

1,0557

+10

0,9944

0,9999

0,0054

1,0108

1,0162

1,0216

1,0272

1,0353

1,0326

1,0407

+14

0,9806

0,9860

0,9914

0,9967

1,0027

1,0074

1,0128

1,0183

1,0209

1,0263

+18

0,9671

0,9725

0,9778

0,9830

0,9884

0,9936

0,9989

1,0043

1,0069

1,0122

+20

0,9605

0,9658

0,9711

0,9783

0,9816

0,9868

0,9921

0,9974

1,0000

1,0053

+22

0,9539

0,9592

0,9645

0,9696

0,9749

0,9800

0,9853

0,9906

0,9932

0,9985

+24

0,9475

0,9527

0,9579

0,9631

0,9683

0,9735

0,9787

0,9839

0,9865

0,9917

+26

0,9412

0,9464

0,9516

0,9566

0,9618

0,9669

0,9721

0,9773

0,9799

0,9851

+28

0,9349

0,9401

0,9453

0,9503

0,9555

0,9605

0,9657

0,9708

0,9734

0,9785

+30

0,9288

0,9339

0,9391

0,9440

0,9432

0,9542

0,9594

0,9645

0,9670

0,9723

+34

0,9167

0,9218

0,9268

0,9318

0,9368

0,9418

0,9468

0,9519

0,9544

0,9595

+38

0,9049

0,9099

0,9149

0,9199

0,9248

0,9297

0,9347

0,9397

0,9421

0,9471

Приложение 3

Вещества, определяемые по ранее утвержденным методическим указаниям

Наименование вещества

Опубликованные методические указания

Гексаметилендиаминадипинат (соль АГ)

Методические указания по хроматографическому измерению концентраций гексаметилендиаммонийсебацината в воздухе рабочей зоны. Вып. XXII., М., 1988. - 85 с.

Натрия перкарбонат

Методические указания по фотометрическому измерению концентраций едких щелочей и карбоната натрия в воздухе рабочей зоны, переработанные и дополненные технические условия. Вып. 10. М., 1988. - 49 с.

Ванадиевые катализаторы

Методические указания на фотометрическое определение ванадия и его соединений в воздухе. Вып. 1-5. М., 1981. - 7 с.

Полисульфоны (ПСК-1, ПСФ-КС, ПСФ-150-1, ПСФ-150, ПСФ-200, ПСБ-220, ПСБ-230, ПСФ-180-1, ПСФ-190)

Методические указания на гравиметрическое определение пыли в воздухе рабочей зоны и в системах вентиляционных установках. Вып. 1-5. М., 1981. - 235 с.

Абомин

Методические указания по фотометрическому определению БВК в воздухе. Вып. XVIII. М., 1983. - 139 с.

СОДЕРЖАНИЕ

 




Яндекс цитирования



   Copyright © 2007-2026,  www.tehlit.ru.

[ ѓосты, стандарты, нормативы, инструкции, правила, строительные нормы ]