//
ТехЛит.ру
- крупнейшая бесплатная электронная интернет библиотека для "технически умных" людей.
WWW.TEHLIT.RU - ТЕХНИЧЕСКАЯ ЛИТЕРАТУРА

:: Алготрейдинг::


АЛГОТРЕЙДИНГ
шаг за шагом
с нуля по урокам!

Торговые роботы на PYTHON, BackTrader,
Pandas, Pine Script для TradingView. Связка с брокерами, телеграм и легкими приложениями.


ГОСУДАРСТВЕННОЕ САНИТАРНО-ЭПИДЕМИОЛОГИЧЕСКОЕ НОРМИРОВАНИЕ
РОССИЙСКОЙ ФЕДЕРАЦИИ

4.1. МЕТОДЫ КОНТРОЛЯ. ХИМИЧЕСКИЕ ФАКТОРЫ

ИЗМЕРЕНИЕ КОНЦЕНТРАЦИЙ ВРЕДНЫХ ВЕЩЕСТВ
В ВОЗДУХЕ РАБОЧЕЙ ЗОНЫ

ИЗМЕРЕНИЕ КОНЦЕНТРАЦИЙ ДИОКСОДЕТА МЕТОДОМ
ВЫСОКОЭФФЕКТИВНОЙ ЖИДКОСТНОЙ ХРОМАТОГРАФИИ
В ВОЗДУХЕ РАБОЧЕЙ ЗОНЫ

МУК 4.1.0.480-96

 

МИНЗДРАВ РОССИИ

Москва 2003

1. Методические указания разработаны с целью обеспечения контроля соответствия фактических концентраций вредных веществ их предельно допустимым концентрациям (ПДК) и ориентировочно безопасным уровням воздействия, санитарно-гигиеническим нормативам и являются обязательными при осуществлении санитарного контроля.

2. Методические указания по измерению концентраций вредных веществ в воздухе рабочей зоны (выпуск 34) утверждены и. о. председателя Госкомсанэпиднадзора России, заместителем Главного Государственного санитарного врача Российской Федерации Беляевым Е. Н. 8 июня 1996 г.

3. Введены впервые.

4. Включенные в данный выпуск методики контроля разработаны и подготовлены в соответствии с требованиями ГОСТ 12.1.005-88 ССБТ «Воздух рабочей зоны. Общие санитарно-гигиенические требования», ГОСТ 12.1.016-79 ССБТ «Воздух рабочей зоны. Требования к методикам контроля измерения концентраций вредных веществ», ГОСТ Р 1.5-92 п. 7.3, ГОСТ 8.010-90 «Государственная система обеспечения единства измерений. Методики выполнения измерений». Методические указания одобрены комиссией по государственному санитарно-эпидемиологическому нормированию Госкомсанэпиднадзора России и Проблемной комиссией «Научные основы гигиены труда и профпатологии».

Методические указания по измерению концентраций вредных веществ в воздухе рабочей зоны (выпуск 34) предназначены для центров Госкомсанэпиднадзора, санитарных лабораторий промышленных предприятий при осуществлении контроля за содержанием вредных веществ в воздухе рабочей зоны, а также заинтересованных министерств и ведомств.

Ответственный исполнитель: Г. А. Дьякова

Исполнители: Г. А. Дьякова, Л. Г. Макеева, Е. М. Малинина, С. М. Попова, Е. Н. Грицун, Т. В. Рязанцева, Г. Ф. Громова.

УТВЕРЖДЕНО

И. о. Председателя

Госкомсанэпиднадзора России –

заместитель Главного государственного

санитарного врача Российской Федерации

Е. Н. Беляев

8 июня 1996 г.

МУК 4.1.0.480-96

Дата введения: с момента утверждения

4.1. МЕТОДЫ КОНТРОЛЯ. ХИМИЧЕСКИЕ ФАКТОРЫ

ИЗМЕРЕНИЕ КОНЦЕНТРАЦИЙ ДИОКСОДЕТА МЕТОДОМ
ВЫСОКОЭФФЕКТИВНОЙ ЖИДКОСТНОЙ ХРОМАТОГРАФИИ
В ВОЗДУХЕ РАБОЧЕЙ ЗОНЫ

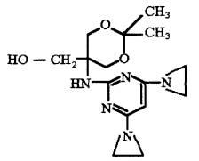
М. м. 370,35

Диоксодет - {5-[[4,6-бис(1-азаридинил)-1,3,5-триазин-2-ил] амино]-2-2-диметил-1,3-диоксан-5-метанол} - кристаллическое вещество белого цвета. Растворим в воде. Хорошо растворим в ацетонитриле, метиловом и этиловом спиртах. Не растворим в гексане, эфире, Тпл. 150-152 °С.

В воздухе находится в виде аэрозоля.

В связи с высокой канцерогенной, мутагенной итератогенной опасностью и небольшим объемом производства ПДК на диоксодет не устанавливается. Рекомендуется исключить все виды контактов.

Характеристика метода

Метод основан на использовании высокоэффективной жидкостной хроматографии с применением УФ-детектора.

Отбор проб производится с концентрированием на фильтр.

Нижний предел измерения диоксодета в хроматографируемом объеме (50 мкл) 0,05 мкг.

Нижний предел измерения концентраций диоксодета в воздухе 0,001 мг/м3 (при отборе 500 л воздуха).

Диапазон измеряемых концентраций диоксодета в воздухе от 0,001 до 0,01 мг/м3.

Определению не мешает присутствие фенкарола и дипироксима, мешает присутствие дикаина.

Суммарная погрешность измерения не превышает ±19,72 %.

Время выполнения измерения, включая отбор пробы, около 100 минут.

Приборы, аппаратура, посуда

Микроколоночный жидкостной хроматограф «Милихром» или другие модели с УФ-детектором

 

Хроматографическая колонка длиной 120 мм, внутренним диаметром 2 мм, заполненная сорбентом «Силасорб РН С18» с размером зерен 6,0 мкм (Чехия)

 

Электроаспиратор ЭА-2

ОСТ 95.10052-84

Фильтродержатель

ТУ 95:7205-77

Микроскоп отсчетный типа МПБ-2

ТУ 3-3.824-78

Роторный испаритель

ТУ 25-11-917-74

Колбы грушевидные для вакуумной разгонки, вместимостью 25 мл

ГОСТ 9737-70

Колбы мерные, вместимостью 100 мл

ГОСТ 1770-74

Пипетки, вместимостью 1, 2, 5 и 10 мл

ГОСТ 20292-74

Градуированные пробирки с пришлифованными пробками, вместимостью 10 мл

ГОСТ 10515-75

     Реактивы, растворы, материалы

Диоксодет, фармакопейный, 98 % чистоты

 

Метанол (спирт метиловый), очищенный

 

Метанол очищенный получают из метанола путем ректификации

ТУ 2222-7

Ректификационная колонна длиной 550 мм и внутренним диаметром 20 мм, флегмовое число 5

 

Насадка - спиральки Левина из нержавеющей стали (2×2×0,2 мм)

 

Основную фракцию отбирают при температуре 64,5 °С (атмосферное давление) в пределах колебаний ±0,1 °С

 

Натрий фосфорнокислый двузамещенный 12-водный, Na2HPO4×12Н2О

ТУ 4172-76

Калий фосфорно-кислый однозамещенный, КН2PO4

ТУ 4198-75

Раствор натрия фосфата готовят растворением 23,877 г натрия фосфорно-кислого двузамещенного 12одного в воде в мерной колбе вместимостью 1 л

 

Раствор калия фосфата готовят растворением 9,078 г калия фосфорно-кислого однозамещенного в воде в мерной колбе вместимостью 1 л

 

Фосфатный буфер (рН 7,8) готовят из смеси 915 мл раствора натрия фосфата и 85 мл раствора калия фосфата, добавляя к 100 мл смеси 570 мл воды

 

Фосфатный буфер устойчив при хранении в холодильнике в течение месяца

 

Растворитель: метанол

 

Элюент: 0,01 М фосфатный буфер (рН 7,8) - метанол, 2:1

 

Стандартный раствор № 1 с концентрацией диоксодета 500 мкг/мл готовят растворением 0,050 г вещества в элюенте в мерной колбе вместимостью 100 мл.

Стандартный раствор № 2 с концентрацией диоксодета 25 мкг/мл готовят соответствующим разбавлением стандартного раствора № 1 элюентом.

Растворы устойчивы при хранении в холодильнике в течение недели.

Фильтры АФА-ВП-20

ТУ 85-743-80

Отбор пробы воздуха

Воздух с объемным расходом 50 л/мин аспирируют через фильтр АФА-ВП-20. Для определения нижнего предела измерения достаточно отобрать 500 л воздуха.

Пробы можно хранить в закрытых сосудах в холодильнике в течение месяца.

Подготовка к измерению

Хроматографическая колонка промышленного изготовления. Инжектируют в хроматограф от 0,05 до 0,5 мкг диоксодета из стандартного раствора № 2.

Условия хроматографирования градуировочных смесей и анализируемых проб:

Скорость подачи элюента (0,01 М фосфатный буфер (рН 7,8) - метанол, 2:1)   50 мкл/мин

Длина волны УФ-детектора                                                                                    240 нм

Скорость движения диаграммной ленты                                                               6 мм/мин

Чувствительность детектора                                                                                    0,2-0,4

Диапазон измерения самописца                                                                             100 мВ

Максимальный объем вводимой пробы                                                                50 мкл

Время удерживания диоксодета                                                                              25 мин

Элюирующий объем                                                                                                 1250 мкл

Эффективность колонки по диоксодету                                                                 1600 тт

На полученной хроматограмме измеряют площади пиков, относящихся к диоксодету, и строят градуировочную кривую, выражающую зависимость площади пиков (мм2) от содержания диоксодета в хроматографируемом объеме пробы (мкг).

Построение градуировочных графиков необходимо проводить не менее чем по 6 точкам, выполняя по 5 параллельных измерений для каждого инжектируемого объема. Проверку градуировочных графиков следует проводить при изменении условий анализа, но не реже 1 раза в месяц.

Проведение измерения

Фильтр с отобранной пробой помещают в пробирку с пришлифованной пробкой, добавляют 10 мл метанола и оставляют на 15 минут при комнатной температуре и периодическом перемешивании. Степень десорбции с фильтра 99,0 %.

Полученный раствор переносят количественно в предварительно взвешенную грушевидную колбу и упаривают на роторном испарителе под вакуумом при температуре 40-45 °С до постоянного веса. Сухой остаток растворяют в 0,5 мл элюента.

Хроматографирование анализируемого раствора проводят в тех же условиях по отношению к тому же элюенту, что и при построении градуировочного графика.

Количественное определение содержания диоксодета в хроматографируемом объеме проводят по предварительно построенному градуировочному графику.

Расчет концентрации

Концентрацию диоксодета (С) в воздухе (в мг/м3) вычисляют по формуле:

, где

а - содержание диоксодета в хроматографируемом объеме пробы, найденное по градуировочному графику, мкг;

б - объем пробы, взятой на хроматографирование, мкл;

в - общий объем анализируемого раствора, мкл;

V - объем воздуха, отобранного для анализа и приведенный к стандартным условиям, л (см. приложение 1).

Приложение 1

Приведение объема воздуха к стандартным условиям

Приведение объема воздуха к стандартным условиям (температура 20 °С и давление 760 мм рт. ст.) проводят по формуле:

, где

Vt - объем воздуха, отобранный для анализа, л;

Р - барометрическое давление, кПа (101,33 кПа = 760 мм рт. ст.);

t - температура воздуха в месте отбора пробы, °С.

Для удобства расчета V20 следует пользоваться таблицей коэффициентов (приложение 2). Для приведения воздуха к стандартным условиям надо умножить Vt на соответствующий коэффициент.

Приложение 2

Коэффициенты для приведения объема воздуха к стандартным условиям

Давление Р, кПа/мм рт. ст.

°С

97,33/730

97,86/734

98,4/738

98,93/742

99,46/746

100/750

100,53/754

101,06/758

101,33/760

101,86/764

-30

1,1582

1,1646

1,1709

1,1772

1,1836

1,1899

1,1963

1,2026

1,2058

1,2122

-26

1,1393

1,1456

1,1519

1,1581

1,1644

1,1705

1,1768

1,1831

1,1862

1,1925

-22

1,1212

1,1274

1,1336

1,1396

1,1458

1,1519

1,1581

1,1643

1,1673

1,1735

-18

1,1036

1,1097

1,1158

1,1218

1,1278

1,1338

1,1399

1,1460

1,1490

1,1551

-14

1,0866

1,0926

1,0986

1,1045

1,1105

1,1164

1,1224

1,1284

1,1313

1,1373

-10

1,0701

1,0760

1,0819

1,0877

1,0986

1,0994

1,1053

1,1112

1,1141

1,1200

-6

1,0540

1,0599

1,0657

1,0714

1,0772

1,0829

1,0887

1,0945

1,0974

1,1032

-2

1,0385

1,0442

1,0499

1,0556

1,0613

1,0669

1,0726

1,0784

1,0812

1,0869

0

1,0309

1,0366

1,0423

1,0477

1,0535

1,0591

1,0648

1,0705

1,0733

1,0789

+2

1,0234

1,0291

1,0347

1,0402

1,0459

1,0514

1,0571

1,0627

1,0655

1,0712

+6

1,0087

1,0143

1,0198

1,0253

1,0309

1,0363

1,0419

1,0475

1,0502

1,0557

+10

0,9944

0,9999

0,0054

1,0108

1,0162

1,0216

1,0272

1,0353

1,0326

1,0407

+14

0,9806

0,9860

0,9914

0,9967

1,0027

1,0074

1,0128

1,0183

1,0209

1,0263

+18

0,9671

0,9725

0,9778

0,9830

0,9884

0,9936

0,9989

1,0043

1,0069

1,0122

+20

0,9605

0,9658

0,9711

0,9783

0,9816

0,9868

0,9921

0,9974

1,0000

1,0053

+22

0,9539

0,9592

0,9645

0,9696

0,9749

0,9800

0,9853

0,9906

0,9932

0,9985

+24

0,9475

0,9527

0,9579

0,9631

0,9683

0,9735

0,9787

0,9839

0,9865

0,9917

+26

0,9412

0,9464

0,9516

0,9566

0,9618

0,9669

0,9721

0,9773

0,9799

0,9851

+28

0,9349

0,9401

0,9453

0,9503

0,9555

0,9605

0,9657

0,9708

0,9734

0,9785

+30

0,9288

0,9339

0,9391

0,9440

0,9432

0,9542

0,9594

0,9645

0,9670

0,9723

+34

0,9167

0,9218

0,9268

0,9318

0,9368

0,9418

0,9468

0,9519

0,9544

0,9595

+38

0,9049

0,9099

0,9149

0,9199

0,9248

0,9297

0,9347

0,9397

0,9421

0,9471

Приложение 3

Вещества, определяемые по ранее утвержденным методическим указаниям

Наименование вещества

Опубликованные методические указания

Гексаметилендиаминадипинат (соль АГ)

Методические указания по хроматографическому измерению концентраций гексаметилендиаммонийсебацината в воздухе рабочей зоны. Вып. XXII., М., 1988. - 85 с.

Натрия перкарбонат

Методические указания по фотометрическому измерению концентраций едких щелочей и карбоната натрия в воздухе рабочей зоны, переработанные и дополненные технические условия. Вып. 10. М., 1988. - 49 с.

Ванадиевые катализаторы

Методические указания на фотометрическое определение ванадия и его соединений в воздухе. Вып. 1-5. М., 1981. - 7 с.

Полисульфоны (ПСК-1, ПСФ-КС, ПСФ-150-1, ПСФ-150, ПСФ-200, ПСБ-220, ПСБ-230, ПСФ-180-1, ПСФ-190)

Методические указания на гравиметрическое определение пыли в воздухе рабочей зоны и в системах вентиляционных установках. Вып. 1-5. М., 1981. - 235 с.

Абомин

Методические указания по фотометрическому определению БВК в воздухе. Вып. XVIII. М., 1983. - 139 с.

СОДЕРЖАНИЕ

 




Яндекс цитирования



   Copyright © 2007-2026,  www.tehlit.ru.

[ ѓосты, стандарты, нормативы, инструкции, правила, строительные нормы ]