//
ТехЛит.ру
- крупнейшая бесплатная электронная интернет библиотека для "технически умных" людей.
WWW.TEHLIT.RU - ТЕХНИЧЕСКАЯ ЛИТЕРАТУРА

:: Алготрейдинг::


АЛГОТРЕЙДИНГ
шаг за шагом
с нуля по урокам!

Торговые роботы на PYTHON, BackTrader,
Pandas, Pine Script для TradingView. Связка с брокерами, телеграм и легкими приложениями.


Государственное санитарно-эпидемиологическое нормирование
Российской Федерации

4.1. МЕТОДЫ КОНТРОЛЯ. ХИМИЧЕСКИЕ ФАКТОРЫ

Спектрофотометрическое измерение концентраций 2-карбометоксиаминохинозолона-4 (КМАХа) в воздухе рабочей зоны

МУК 4.1.233-96

Минздрав России

Москва 2000

1. Методические указания по измерению концентрации вредных веществ в воздухе рабочей зоны (выпуск 30) разработаны с целью обеспечения контроля соответствия фактических концентраций вредных веществ их предельно допустимым концентрациям (ПДК) и ориентировочно безопасным уровням воздействия (ОБУВ) - санитарно-гигиеническим нормативам и являются обязательными при осуществлении санитарного контроля.

2. Методические указания по измерению концентраций вредных веществ в воздухе рабочей зоны утверждены и. о. Председателя Госкомсанэпиднадзора России - заместителем Главного государственного санитарного врача Российской Федерации 8 июня 1996 г.

3. Введены впервые.

4. Включенные в данный выпуск 74 методики контроля вредных веществ в воздухе рабочей зоны разработаны и подготовлены в соответствии с требованиями ГОСТа 12.1.005-88 ССБТ "Воздух рабочей зоны. Общие санитарно-гигиенические требования", ГОСТа 12.1.016-79 ССБТ "Воздух рабочей зоны. Требования к методикам измерения концентраций вредных веществ" и ГОСТа Р 1.5-92 п. 7.3.

Методические указания одобрены на совместном заседании группы Главного эксперта Федеральной комиссии по санитарно-гигиеническому нормированию "Лабораторно-инструментальное дело и метрологическое обеспечение" и методбюро п/секции "Промышленно-санитарная химия" Проблемной комиссии "Научные основы гигиены труда и профпатологии".

Ответственные исполнители: Г. А. Дьякова, C. И. Муравьева

Исполнители: Г. А. Дьякова, Н. С. Горячев. Л. Г. Макеева, Г. В. Муравьева, Е. М. Малинина, Е. В. Грыжина, Е. Н. Грицун.

УТВЕРЖДЕНО

И. о. Председателя Госкомсанэпиднадзора

России - заместителем Главного

государственного санитарного врача

Российской Федерации

Г.Г. Онищенко

8 июня 1996 г.

МУК 4.1.233-96

Дата введения: с момента утверждения

4.1. МЕТОДЫ КОНТРОЛЯ. ХИМИЧЕСКИЕ ФАКТОРЫ

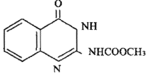
Спектрофотометрическое измерение концентраций 2-карбометоксиаминохинозолона-4 (КМАХа) в воздухе рабочей зоны

С10Н9O3N3                                                                                                                                                                                          М.м. 219

2-карбометоксиаминохинозолон-4 (КМАХ) - мелкокристаллический порошок от белого до серого цвета, без запаха, мало растворим в воде, растворим в органических растворителях. Тпл. - 176-180 °С.

В воздухе находится в виде аэрозоля.

КМАХ обладает общетоксическим действием.

ПДК в воздухе - 5 мг/м3.

Характеристика метода

Методика основана на способности спиртового раствора КМАХ активно поглощать свет в УФ области.

Отбор проб производится с концентрированием на фильтр АФА-ВП-20.

Нижний предел измерения концентрации КМАХа в анализируемом объеме пробы - 10 мкг.

Нижний предел измерения концентрации КМАХа в воздухе - 1 мг/м3 (при отборе 200 л воздуха).

Диапазон измеряемых концентраций в воздухе - от 1 до 10 мг/м3.

Измерению не мешает 2-аминохинозолон-4.

Суммарная погрешность измерения не превышает ± 22 %.

Время выполнения измерения - 3 ч.

Приборы, аппаратура, посуда

Аспирационное устройство

 

Фильтродержатели

 

Фильтры АФА-ВП-20

ОСТ 95.10052-84

Спектрофотометр

 

Стаканы химические, вместимостью 50 мл

ГОСТ 1770-74

Колбы мерные, вместимостью 25 и 50 мл

ГОСТ 1770-74

Пипетки, вместимостью 0,1, 1 и 5 мл с ценой деления 0,001; 0,01; 0,05 мл

ГОСТ 2029-74

Пробирки мерные, вместимостью 5 мл

ГОСТ 1770-74

Реактивы, растворы, материалы

КМАХ, с содержанием 98 %

 

Спирт этиловый, х. ч.

ТУ 609-1710-77

Основной раствор КМАХ с концентрацией 1 мг/мл готовят в мерной колбе из точной навески с растворением вещества в спирте.

Стандартный раствор с концентрацией 100 мкг/мл готовят в мерной колбе соответствующим разбавлением основного раствора спиртом.

Стандартный раствор устойчив в течение месяца.

Отбор пробы воздуха

Воздух с объемным расходом 10 л/мин аспирируют через фильтр АФА-ВП-20, помещенный в фильтродержатель. Для измерения 1/2 ПДК достаточно отобрать 80 л воздуха. Срок хранения проб - 6 месяцев.

Подготовка к измерению

Градуировочные растворы (устойчивы в течение 48 часов) готовят согласно таблице.

Таблица

№ пп

Кол-во ст. р-ра с содержанием 100 мкг/мл, мл

Кол-во спирта, мл

Содержание КМАХа в анализируемом объеме, мкг

1

0

5,0

0

2

0,1

4,9

10

3

0,2

4,8

20

4

0,4

4,6

40

5

0,6

4,4

60

6

0,8

4,2

80

7

1,0

4,0

100

Строят градуировочный график: на ось ординат наносят значений оптических плотностей градуировочных растворов, на ось абсцисс - соответствующие им величины содержания вещества в градуировочном растворе (мкг).

Проверка градуировочного графика проводится 1 раз в месяц.

Проведение измерения

Фильтр с отобранной пробой переносят в стакан емкостью 50 мл, заливают 10 мл спирта и оставляют на 10 мин, периодически помешивая для лучшего растворения вещества. Фильтр отжимают, из фильтрата отбирают 0,5 мл в мерную пробирку на 5 мл, объем доводят спиртом до метки и фотометрируют в кювете с толщиной слоя 10 мм при длине волны 270 нм по сравнению с контролем, который готовят одновременно и аналогично пробам.

Степень десорбции КМАХ - 98 %.

Расчет концентрации

Концентрацию вещества (С) в воздухе (мг/м3) вычисляют по формуле:

, где

а - количество КМАХ, найденное в анализируемом объеме, мкг;

в - общий объем пробы, мл;

б - объем пробы, взятой для анализа, мл;

V - объем воздуха, отобранного для анализа и приведенного к стандартным условиям, л (см. приложение 1).

Методические указания разработаны институтом химии растительных веществ АН Узбекистана, г. Ташкент.

Приложение 1

Приведение объема воздуха к стандартным условиям (температуре 20 °С и давление 760 мм рт. ст.)

Приведение объема воздуха к стандартным условиям проводят по формуле:

, где

Vt - объем воздуха, отобранного для анализа, л;

Р - барометрическое давление, мм рт. ст. (760 мм рт. ст. = 101,33 кПа);

t° - температура воздуха в месте отбора пробы, °С.

Для удобства расчета Vст следует пользоваться таблицей коэффициентов (приложение 2). Для приведения объема воздуха к температуре 20 °С и давлению 760 мм рт. ст. (101,33 кПа) надо умножить Vt на соответствующий коэффициент.

Приложение 2

Коэффициент К для приведения объема воздуха к стандартным условиям

Давление Р, кПа/мм рт. ст.

°С

730

734

738

742

746

750

754

758

760

764

-30

1,1582

1,1646

1,1709

1,1772

1,1836

1,1899

1,1963

1,2026

1,2058

1,2122

-26

1,1393

1,1456

1,1519

1,1581

1,1644

1,1705

1,1768

1,1831

1,1862

1,1925

-22

1,1212

1,1274

1,1336

1,1396

1,1458

1,1519

1,1581

1,1643

1,1673

1,1735

-18

1,1036

1,1097

1,1158

1,1218

1,1278

1,1338

1,1399

1,1400

1,1490

1,1551

-14

1,0866

1,0926

1,0986

1,1045

1,1105

1,1164

1,1224

1,1284

1,1313

1,1373

-10

1,0701

1,0760

1,0819

1,0877

1,0986

1,0994

1,1053

1,1112

1,1141

1,1200

-6

1,0540

1,0599

1,0657

1,0714

1,0772

1,0829

1,0887

1,0945

1,0974

1,1032

-2

1,0385

1,0442

1,0499

1,0556

1,0613

1,0669

1,0726

1,0784

1,0812

1,0869

0

1,0309

1,0366

1,0423

1,0477

1,0535

1,0591

1,0648

1,0705

1,0733

1,0789

+2

1,0234

1,0291

1,0347

1,0402

1,0459

1,0514

1,0571

1,0627

1,0655

1,0712

+6

1,0087

1,0143

1,0198

1,0253

1,0309

1,0363

1,0419

1,0475

1,0502

1,0557

+10

0,9944

0,9999

1,0054

1,0108

1,0162

1,0216

1,0272

1,0326

1,0353

1,0407

+14

0,9806

0,9860

0,9914

0,9967

1,0027

1,0074

1,0128

1,0183

1,0209

1,0263

+18

0,9671

0,9725

0,9778

0,9880

0,9884

0,9936

0,9989

1,0043

1,0069

1,0122

+20

0,9605

0,9658

0,9711

0,9783

0,9816

0,9868

0,9921

0,9974

1,0000

1,0053

+22

0,9539

0,9592

0,9645

0,9696

0,9749

0,9800

0,9853

0,9906

0,9932

0,9985

+24

0,9475

0,9527

0,9579

0,9631

0,9683

0,9735

0,9787

0,9839

0,9865

0,9917

+26

0,9412

0,9464

0,9516

0,9566

0,9618

0,9669

0,9721

0,9773

0,9799

0,9851

+28

0,9349

0,9401

0,9453

0,9503

0,9655

0,9605

0,9657

0,9708

0,9734

0,9785

+30

0,9288

0,9339

0,9891

0,9440

0,9432

0,9542

0,9594

0,9645

0,9670

0,9723

+34

0,9167

0,9218

0,9268

0,9318

0,9368

0,9418

0,9468

0,9519

0,9544

0,9595

+38

0,9049

0,9099

0,9149

0,9198

0,9248

0,9297

0,9347

0,9397

0,9421

0,9471

 




Яндекс цитирования



   Copyright © 2007-2026,  www.tehlit.ru.

[ ѓосты, стандарты, нормативы, инструкции, правила, строительные нормы ]