//
ТехЛит.ру
- крупнейшая бесплатная электронная интернет библиотека для "технически умных" людей.
WWW.TEHLIT.RU - ТЕХНИЧЕСКАЯ ЛИТЕРАТУРА

:: Алготрейдинг::


АЛГОТРЕЙДИНГ
шаг за шагом
с нуля по урокам!

Торговые роботы на PYTHON, BackTrader,
Pandas, Pine Script для TradingView. Связка с брокерами, телеграм и легкими приложениями.


Государственное санитарно-эпидемиологическое нормирование
Российской Федерации

4.1. МЕТОДЫ КОНТРОЛЯ. ХИМИЧЕСКИЕ ФАКТОРЫ

Фотометрическое измерение концентраций фосфиноксида разнорадикального циклического (ФОР-Ц или циклофора) в воздухе рабочей зоны

МУК 4.1.263-96

Минздрав России

Москва 2000

1. Методические указания по измерению концентрации вредных веществ в воздухе рабочей зоны (выпуск 30) разработаны с целью обеспечения контроля соответствия фактических концентраций вредных веществ их предельно допустимым концентрациям (ПДК) и ориентировочно безопасным уровням воздействия (ОБУВ) - санитарно-гигиеническим нормативам и являются обязательными при осуществлении санитарного контроля.

2. Методические указания по измерению концентраций вредных веществ в воздухе рабочей зоны утверждены и. о. Председателя Госкомсанэпиднадзора России - заместителем Главного государственного санитарного врача Российской Федерации 8 июня 1996 г.

3. Введены впервые.

4. Включенные в данный выпуск 74 методики контроля вредных веществ в воздухе рабочей зоны разработаны и подготовлены в соответствии с требованиями ГОСТа 12.1.005-88 ССБТ "Воздух рабочей зоны. Общие санитарно-гигиенические требования", ГОСТа 12.1.016-79 ССБТ "Воздух рабочей зоны. Требования к методикам измерения концентраций вредных веществ" и ГОСТа Р 1.5-92 п. 7.3.

Методические указания одобрены на совместном заседании группы Главного эксперта Федеральной комиссии по санитарно-гигиеническому нормированию "Лабораторно-инструментальное дело и метрологическое обеспечение" и методбюро п/секции "Промышленно-санитарная химия" Проблемной комиссии "Научные основы гигиены труда и профпатологии".

Ответственные исполнители: Г. А. Дьякова, C. И. Муравьева

Исполнители: Г. А. Дьякова, Н. С. Горячев. Л. Г. Макеева, Г. В. Муравьева, Е. М. Малинина, Е. В. Грыжина, Е. Н. Грицун.

УТВЕРЖДЕНО

И. о. Председателя Госкомсанэпиднадзора

России - заместителем Главного

государственного санитарного врача

Российской Федерации

Г.Г. Онищенко

8 июня 1996 г.

МУК 4.1.263-96

Дата введения: с момента утверждения

4.1. МЕТОДЫ КОНТРОЛЯ. ХИМИЧЕСКИЕ ФАКТОРЫ

Фотометрическое измерение концентраций фосфиноксида разнорадикального циклического (ФОР-Ц или циклофора) в воздухе рабочей зоны

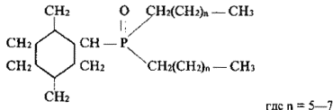
С20-24Н41-49РО                                                                                                         М. м. 356

ФОР-Ц - вязкая подвижная жидкость, окрашенная в желтый (до светло-коричневого) цвет, с характерным запахом, практически не растворима в воде, хорошо растворяется в большинстве органических растворителей. Плотность - 0,996 г/см3 при 20 °С. Ткип. - 140 °С при 5,3 мм рт. ст. и 350-400 °С при 760 мм рт. ст. Массовая доля фосфора - 8,7-10,1 %.

В воздухе находится в виде паров и аэрозоля.

ФОР-Ц оказывает токсическое влияние на периферическую кровь, функциональное состояние печени, почек, ЦНС.

ПДК в воздухе - 2 мг/м3.

Характеристика метода

Метод основан на окислении ФОР-Ц серной кислотой до ортофосфорной кислоты, определяемой колориметрически по синему фосформолибденовому комплексу с использованием в качестве катализатора калия сурьмяновиннокислого, и последующем фотометрическом измерении окрашенного продукта реакции при 670 нм.

Отбор проб проводят с концентрированием на фильтр и в спирт этиловый.

Нижний предел обнаружения ФОР-Ц в анализируемом объеме раствора - 10 мкг.

Нижний предел измерения ФОР-Ц в воздухе - 1 мг/м3 (при отборе 10 л воздуха).

Диапазон измеряемых концентраций ФОР-Ц - от 1 до 12 мг/м3.

Определению мешают соединения пятивалентного фосфора.

Суммарная погрешность измерения не превышает ± 20 %.

Время выполнения измерения, включая отбор проб, - 16 часов.

Приборы, аппаратура, посуда

Фотоэлектроколориметр КФК-2 или другой марки

 

Поглотительные сосуды с пористой стеклянной пластинкой № 2

 

Фильтродержатели

 

Химические стаканы, вместимостью 50 мл

ГОСТ 25236-82

Пробирки стеклянные, высотой 120 мм, с внутренним диаметром 14 мм

ГОСТ 25336-82

Пипетки, вместимостью 1, 2, 5 и 10 мл

ГОСТ 20292-74

Колбы мерные, вместимостью 50 мл

ГОСТ 1770-74

Отгонный аппарат ИР-IМ с набором колб. В случае отсутствия отгонного аппарата ИР-IМ удаление спирта и все дальнейшие операции возможно проводить в тиглях

 

Песчаная баня

 

Реактивы, растворы, материалы

ФОР-Ц, х. ч.

 

Спирт этиловый

ГОСТ 18300-72

Кислота серная, пл. 1,84, х. ч. 5Н раствор

ГОСТ 4204-77

Калий сурьмяновиннокислый, х. ч., 0,27 %-ный раствор, свежеприготовленный

ТУ 6-09-803-76

Кислота аскорбиновая, х. ч., 1,7 %-ный раствор, свежеприготовленный

ГОСТ 4815-75

Аммоний молибденовокислый, х. ч., 5 %-ный раствор

ГОСТ 3765078

Аммоний азотнокислый, х. ч.

ГОСТ 22867-77

Цветообразующий реагент: 10 мл 5Н серной кислоты, 1 мл 0,27 %-ного раствора калия сурьмяновиннокислого, 3 мл 5 %-ного молибдата аммония, 6 мл свежеприготовленного 1,7 %-ного раствора аскорбиновой кислоты, 5 мл дистиллированной воды.

Стандартный раствор ФОР-Ц № 1. В мерную колбу, вместимостью 25 мл, наливают примерно 5 мл спирта, закрывают колбу притертой пробкой и взвешивают. Добавляют несколько капель ФОР-Ц и вновь взвешивают. Объем раствора доводят до метки этиловым спиртом и по разности результатов двух взвешиваний рассчитывают концентрацию раствора ФОР-Ц. Раствор годен к употреблению в течение суток.

Стандартный раствор ФОР-Ц № 2 с содержанием 20 мкг/мл готовят соответствующим разбавлением стандартного раствора № 1 этиловым спиртом. Фильтры АФА-ХА-10.

Отбор пробы воздуха

Воздух со скоростью расходом 1 л/мин аспирируют через фильтр, помещенный в фильтродержатель, и 2 последовательно соединенных поглотительных сосуда с пористой пластинкой № 2, содержащих по 10 мл этилового спирта (при охлаждении поглотительных сосудов смесью соли и льда).

Для определения содержания концентраций ФОР-Ц, соответствующих 1/2 ПДК, достаточно отобрать 10 л воздуха. Отобранные пробы хранятся в течение суток.

Подготовка к измерению

Для построения градуировочного графика готовят шкалу стандартов согласно таблице.

Таблица

Шкала градуировочных растворов

№ стандарта

Стандартный р-р № 2, мл

Спирт этиловый

Содержание ФОР-Ц, мкг

1

0,0

10

0

2

0,5

9,5

10

3

1,0

9,0

20

4

2,0

8,0

40

5

3,0

7,0

60

6

4,0

6,0

80

7

6,0

4,0

120

Спирт удаляют с помощью отгонного аппарата при небольшом разрежении (40 мм рт. ст.), при отсутствии его выпаривание проводят в тиглях. К сухому остатку приливают по 3 мл концентрированной серной кислоты, примерно 0,3-0,5 г аммония азотнокислого и нагревают на песчаной бане до удаления серной кислоты. Если в процессе нагревания раствор не обесцвечивается, добавляют еще несколько кристаллов аммония азотнокислого. После охлаждения сухой остаток растворяют в 10 мл воды и переносят в пробирки. Прибавляют по 2 мл цветообразующего реагента и помещают на 5 мин в кипящую водяную баню. После охлаждения измеряют оптическую плотность растворов на фотоколориметре с красным светофильтром при длине волны 670 нм в кювете с толщиной поглощающего слоя 20 мм. Раствором сравнения служит проба, не содержащая ФОР-Ц (стандарт № 1 по таблице).

Строят градуировочный график: на ось ординат наносят значения оптической плотности, на ось абсцисс - соответствующие им значения величин содержания ФОР-Ц в градуировочном растворе.

Шкала устойчива в течение рабочего дня.

Проведение измерения

Фильтр переносят в мерную пробирку с притертой пробкой и обрабатывают 10 мл этилового спирта 20-30 мин, периодически взбалтывая. Затем фильтр тщательно отжимают стеклянной палочкой. Содержимое поглотительных сосудов вносят в пробирки, ополаскивая поглотители 3 мл спирта и доводят объем проб спиртом до 10 мл. Каждую пробу анализируют отдельно, аналогично шкале стандартов.

Содержание ФОР-Ц определяют по предварительно построенному градуировочному графику.

Расчет концентрации

Концентрацию ФОР-Ц (С) в воздухе (мг/м3) вычисляют по формуле:

, где

а - количество вещества, найденного в анализируемой пробе, мкг;

V - объем воздуха, отобранного для анализа и приведенного к стандартным условиям, л (см. приложение 1).

Методические указания разработаны Харьковским НИИ ГТ и ГЗ.

Приложение 1

Приведение объема воздуха к стандартным условиям (температуре 20 °С и давление 760 мм рт. ст.)

Приведение объема воздуха к стандартным условиям проводят по формуле:

, где

Vt - объем воздуха, отобранного для анализа, л;

Р - барометрическое давление, мм рт. ст. (760 мм рт. ст. = 101,33 кПа);

t° - температура воздуха в месте отбора пробы, °С.

Для удобства расчета Vст следует пользоваться таблицей коэффициентов (приложение 2). Для приведения объема воздуха к температуре 20 °С и давлению 760 мм рт. ст. (101,33 кПа) надо умножить Vt на соответствующий коэффициент.

Приложение 2

Коэффициент К для приведения объема воздуха к стандартным условиям

Давление Р, кПа/мм рт. ст.

°С

730

734

738

742

746

750

754

758

760

764

-30

1,1582

1,1646

1,1709

1,1772

1,1836

1,1899

1,1963

1,2026

1,2058

1,2122

-26

1,1393

1,1456

1,1519

1,1581

1,1644

1,1705

1,1768

1,1831

1,1862

1,1925

-22

1,1212

1,1274

1,1336

1,1396

1,1458

1,1519

1,1581

1,1643

1,1673

1,1735

-18

1,1036

1,1097

1,1158

1,1218

1,1278

1,1338

1,1399

1,1400

1,1490

1,1551

-14

1,0866

1,0926

1,0986

1,1045

1,1105

1,1164

1,1224

1,1284

1,1313

1,1373

-10

1,0701

1,0760

1,0819

1,0877

1,0986

1,0994

1,1053

1,1112

1,1141

1,1200

-6

1,0540

1,0599

1,0657

1,0714

1,0772

1,0829

1,0887

1,0945

1,0974

1,1032

-2

1,0385

1,0442

1,0499

1,0556

1,0613

1,0669

1,0726

1,0784

1,0812

1,0869

0

1,0309

1,0366

1,0423

1,0477

1,0535

1,0591

1,0648

1,0705

1,0733

1,0789

+2

1,0234

1,0291

1,0347

1,0402

1,0459

1,0514

1,0571

1,0627

1,0655

1,0712

+6

1,0087

1,0143

1,0198

1,0253

1,0309

1,0363

1,0419

1,0475

1,0502

1,0557

+10

0,9944

0,9999

1,0054

1,0108

1,0162

1,0216

1,0272

1,0326

1,0353

1,0407

+14

0,9806

0,9860

0,9914

0,9967

1,0027

1,0074

1,0128

1,0183

1,0209

1,0263

+18

0,9671

0,9725

0,9778

0,9880

0,9884

0,9936

0,9989

1,0043

1,0069

1,0122

+20

0,9605

0,9658

0,9711

0,9783

0,9816

0,9868

0,9921

0,9974

1,0000

1,0053

+22

0,9539

0,9592

0,9645

0,9696

0,9749

0,9800

0,9853

0,9906

0,9932

0,9985

+24

0,9475

0,9527

0,9579

0,9631

0,9683

0,9735

0,9787

0,9839

0,9865

0,9917

+26

0,9412

0,9464

0,9516

0,9566

0,9618

0,9669

0,9721

0,9773

0,9799

0,9851

+28

0,9349

0,9401

0,9453

0,9503

0,9655

0,9605

0,9657

0,9708

0,9734

0,9785

+30

0,9288

0,9339

0,9891

0,9440

0,9432

0,9542

0,9594

0,9645

0,9670

0,9723

+34

0,9167

0,9218

0,9268

0,9318

0,9368

0,9418

0,9468

0,9519

0,9544

0,9595

+38

0,9049

0,9099

0,9149

0,9198

0,9248

0,9297

0,9347

0,9397

0,9421

0,9471

 




Яндекс цитирования



   Copyright © 2007-2026,  www.tehlit.ru.

[ ѓосты, стандарты, нормативы, инструкции, правила, строительные нормы ]