//
ТехЛит.ру
- крупнейшая бесплатная электронная интернет библиотека для "технически умных" людей.
WWW.TEHLIT.RU - ТЕХНИЧЕСКАЯ ЛИТЕРАТУРА

:: Алготрейдинг::


АЛГОТРЕЙДИНГ
шаг за шагом
с нуля по урокам!

Торговые роботы на PYTHON, BackTrader,
Pandas, Pine Script для TradingView. Связка с брокерами, телеграм и легкими приложениями.


Государственная система санитарно-эпидемиологического нормирования Российской Федерации

4.1. МЕТОДЫ КОНТРОЛЯ. ХИМИЧЕСКИЕ ФАКТОРЫ

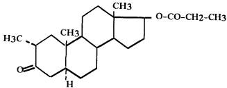
Измерение концентраций 2a-метилдигидротестостерона пропионата методом высокоэффективной жидкостной хроматографии в воздухе рабочей зоны

МУК 4.1.0.381-96

Минздрав России

Москва · 1999

1. Методические указания разработаны с целью обеспечения контроля соответствия фактических концентраций вредных веществ их предельно допустимым концентрациям (ПДК) и ориентировочно безопасным уровням воздействия (ОБУВ) - санитарно-гигиеническим нормативам и являются обязательными при осуществлении санитарного контроля.

2. Методические указания по измерению концентраций вредных веществ в воздухе рабочей зоны (выпуск 32) утверждены и. о. Председателя Госкомсанэпиднадзора России - заместителем Главного государственного санитарного врача Российской Федерации 8 июня 1996 г.

3. Введены впервые.

4. Включенные в данный выпуск методики контроля разработаны и подготовлены в соответствии с требованиями ГОСТа 12.1.005-88 ССБТ «Воздух рабочей зоны. Общие санитарно-гигиенические требования», ГОСТа 12.1.016-79 ССБТ «Воздух рабочей зоны. Требования к методикам измерения концентраций вредных веществ», ГОСТа Р 1.5-92 п. 7.3, ГОСТа 8.101-90 «Государственная система обеспечения единства измерений. Методики выполнения измерений». Методические указания одобрены комиссией по государственному санитарно-эпидемиологическому нормированию Госкомсанэпиднадзора России и Проблемной комиссией «Научные основы гигиены труда и профпатологии».

Методические указания по измерению концентраций вредных веществ в воздухе рабочей зоны (выпуск 32) предназначены для центров Госсанэпиднадзора, санитарных лабораторий промышленных предприятий при осуществлении контроля за содержанием вредных веществ в воздухе рабочей зоны, а также заинтересованных министерств и ведомств.

Ответственный исполнитель: Г.А. Дьякова

Исполнители: Г.А. Дьякова, Л.Г. Макеева, Е.М. Малинина, С.М. Попова, Н.С. Горячев, М.И. Аржанова, Т.В. Рязанцева, Е.Н. Грицун.

УТВЕРЖДЕНО

И. о. Председателя Госкомсанэпиднадзора

России - заместителем Главного

государственного санитарного врача

Российской Федерации

Г.Г. Онищенко

8 июня 1996 г.

МУК 4.1.0.381-96

Дата введения: с момента утверждения

4.1. МЕТОДЫ КОНТРОЛЯ. ХИМИЧЕСКИЕ ФАКТОРЫ

Измерение концентраций 2a-метилдигидротестостерона пропионата методом высокоэффективной жидкостной хроматографии в воздухе рабочей зоны

             С23Н36О3

                                                                                               М. м. 360,54

2a-метилдигидротестостерона пропионат - белый кристаллический порошок без запаха. Растворим в низших спиртах, ацетоне, практически не растворятся в воде Тпл. - 127 - 130 °С.

ОБУВ в воздухе - 0,005 мг/м3.

Характеристика метода

Метод основан на использовании жидкостной хроматографии с применением УФ-детектора.

Отбор проб производится с концентрированием на фильтр.

Нижний предел измерения - 0,4 мкг/мл.

Нижний предел измерения в воздухе - 0,003 мг/м3 (при отборе 400 л воздуха).

Диапазон измеряемых концентраций - 0,003 - 0,04 мг/м3.

Суммарная погрешность измерения не превышает ± 18 %.

Время выполнения измерения, включая отбор проб - 50 - 60 мин.

Приборы, аппаратура, посуда

Хроматограф фирмы «Du Pont» или

аналогичный («Милихром», «Цвет-300»)

Колонка хроматографическая из нержавеющей

стали длиной 0,25 м, диаметром 8,2 мм,

наполненная силикагелем, диаметр частиц

4,5 - 5 мкм, диаметр пор 6 - 60 нм

Аспирационное устройство с ротаметром

для отбора проб воздуха                                                                        ГОСТ 17.26.01-86

Колбы мерные, вместимостью 25, 100 мл                                          ГОСТ 1770-74Е

Пипетки градуированные 2-го класса

точности Н-1-0,1; 6-1-5; 6-1-10                                                            ГОСТ 20292-74

Испаритель роторный типа ИР-IМ                                                      ТУ 25-11-917.76

Фильтры АФА-ХА

Реактивы, растворы, материалы

Спирт метиловый, х. ч.                                                                         ГОСТ 6295-76

2a-метилдигидротестостерона пропионат, порошок

Основной стандартный раствор 2a-метилдигидротестостерона пропионата готовят весовым методом. На аналитических весах взвешивают точную навеску вещества 0,00504 г и растворяют в метиловом спирте в колбе емкостью 100 мл.

Рабочие стандартные растворы, содержащие 0,40; 1,02; 2,03; 4,08; 5,1 мкг/мл 2a-метилдигидротестостерона пропионата, готовят соответствующим разбавлением основного стандартного раствора метиловым спиртом.

Отбор проб воздуха

Воздух с объемным расходом 20 л/мин аспирируют через фильтры АФА-ХА.

Для измерения 1/2 ОБУВ следует отобрать 400 л воздуха.

Подготовка к измерению

Хроматографическая колонка промышленного изготовления. Инжектируют в хроматограф каждый из серии стандартных рабочих растворов.

Условия хроматографирования градуировочных смесей и анализируемых проб:

Температура термостата колонки                                                         50 °С

Скорость подачи элюента (метиловый спирт)                                   0,7 мл/мин

Длина волны УФ-детектора                                                                 213 нм

Скорость движения диаграммной ленты                                            2 мм/мин

Чувствительность детектора                                                                 0,16 Д/шкала

Максимальный объем вводимой пробы                                              20 мкл

Время удерживания 2a-метилдигидротестостерона

пропионата                                                                                             14 мин 9 с

Элюирующий объем                                                                              9955 мкл

Эффективность колонки по 2a-

метилдигидротестостерону пропионату                                             20000 тт

На полученной хроматограмме измеряют площади пиков и строят градуировочную зависимость площади пиков (мм2) от содержания 2a-метилдигидротестостерона пропионата в хроматографическом объеме пробы (мкг).

Построение градуировочного графика необходимо проводить не менее чем по 6 точкам, выполняя по 5 параллельных измерений для каждого инжектируемого объема. Проверку градуировочного графика следует проводить при изменении условий анализа, но не реже 1 раза в месяц.

Проведение измерения

Пробу с фильтра дважды экстрагируют метиловым спиртом порциями по 10 мл в течение 30 минут. Экстракты количественно объединяют в колбе ротационного испарителя и растворитель упаривают досуха при температуре 70 °С. Сухой остаток растворяют в 3 мл метанола и анализируют на хроматографе, как описано выше. По градуировочному графику определяют содержание 2a-метилдигидротестостерона пропионата в анализируемой пробе.

Расчет концентрации

Концентрацию 2a-метилдигидротестостерона пропионата (С) в воздухе (мг/м3) вычисляют по формуле:

а - концентрация 2a-метилдигидротестостерона пропионата, найденная по градуировочному графику, мкг/мл;

в - общий объем раствора пробы, мл;

V - объем воздуха, отобранного для анализа и приведенного к стандартным условиям, л (см. приложение 1).

Методические указания разработаны ВНЦ БАВ, г. Москва.

Приложение 1

Приведение объема воздуха к стандартным условиям (температура 20 °С и давление 760 мм рт. ст.) проводят по формуле:

Vt - объем воздуха, отобранный для анализа, л;

Р - барометрическое давление, кПа (101,33 кПа = 760 мм рт. ст.);

t - температура воздуха в месте отбора пробы, °С.

Для удобства расчета V20 следует пользоваться таблицей коэффициентов (приложение 2). Для приведения воздуха к стандартным условиям надо умножить Vt на соответствующий коэффициент.

Приложение 2

Коэффициенты для приведения объема воздуха к стандартным условиям

°С

Давление Р, кПа/мм рт. ст.

97,33/730

97,86/734

98,4/738

98,93/742

99,46/746

100/750

100,53/754

101,06/758

101,33/760

101,86/764

-30

1,1582

1,1646

1,1709

1,1772

1,1836

1,1899

1,1963

1,2026

1,2038

1,2122

-26

1,1393

1,1456

1,1519

1,1581

1,1644

1,1705

1,1768

1,1831

1,1862

1,1925

-22

1,1212

1,1274

1,1336

1,1396

1,1458

1,1519

1,1581

1,1643

1,1673

1,1735

-18

1,1036

1,1097

1,1158

1,1218

1,1278

1,1338

1,1399

1,1460

1,1490

1,1551

-14

1,0866

1,0926

1,0986

1,1045

1,1105

1,1164

1,1224

1,1284

1,1313

1,1373

-10

1,0701

1,0760

1,0819

1,0877

1,0986

1,0994

1,1053

1,1112

1,1141

1,1200

-6

1,0540

1,0599

1,0657

1,0714

1,0772

1,0829

1,0887

1,0945

1,0974

1,1032

-2

1,0385

1,0442

1,0499

1,0556

1,0613

1,0669

1,0726

1,0784

1,0812

1,0869

0

1,0309

1,0366

1,0423

1,0477

1,0535

1,0591

1,0648

1,0705

1,0733

1,0789

+2

1,0234

1,0291

1,0347

1,0402

1,0459

1,0514

1,0571

1,0627

1,0655

1,0712

+6

1,0087

1,0143

1,0198

1,0253

1,0309

1,0363

1,0419

1,0475

1,0502

1,0557

+10

0,9944

0,9999

1,0054

1,0108

1,0162

1,0216

1,0272

1,0326

1,0353

1,0407

+14

0,9806

0,9860

0,9914

0,9967

1,0027

1,0074

1,0128

1,0183

1,0209

1,0263

+18

0,9671

0,9725

0,9778

0,9830

0,9884

0,9936

0,9989

1,0043

1,0069

1,0122

+20

0,9605

0,9658

0,9711

0,9783

0,9816

0,9868

0,9921

0,9974

1,0000

1,0053

+22

0,9539

0,9592

0,9645

0,9696

0,9749

0,9800

0,9853

0,9906

0,9932

0,9985

+24

0,9475

0,9527

0,9579

0,9631

0,9683

0,9735

0,9787

0,9839

0,9865

0,9917

+26

0,9412

0,9464

0,9516

0,9566

0,9618

0,9669

0,9721

0,9773

0,9799

0,9851

+28

0,9349

0,9401

0,9453

0,9503

0,9555

0,9605

0,9657

0,9708

0,9734

0,9785

+30

0,9288

0,9339

0,9391

0,9440

0,9432

0,9542

0,9594

0,9645

0,9670

0,9723

+34

0,9167

0,9218

0,9268

0,9318

0,9368

0,9418

0,9468

0,9519

0,9544

0,9595

+38

0,9049

0,9099

0,9149

0,9199

0,9248

0,9297

0,9347

0,9397

0,9421

0,9471

Приложение 3

Вещества, определяемые по ранее утвержденным методическим указаниям по измерению концентраций вредных веществ в воздухе рабочей зоны

Определяемое вещество

Ссылка на источник

Аммония полифосфат

Методические указания на фотометрическое определение аммиака в воздухе, в. 1 - 5. - М., 1981. - С. 58

Алюминия сульфат

Методические указания на фотометрическое определение алюминия, окиси алюминия и алюмоникелевого катализатора в воздухе, в. 1 - 5. - М., 1981. - С. 3

2,5-бифенилилендиацетат

Методические указания на гравиметрическое определение пыли в воздухе рабочей зоны и в системах вентиляционных установок, в. 1 - 5. - М., 1981. - С. 235

Виндидат

Методические указания по измерению концентраций сульфата калия, калийной магнезии и хлорида калия в воздухе рабочей зоны методом пламенной фотометрии, в. 22. - М., 1988. - С. 182

Диэтилентриамин

Методические указания по фотометрическому измерению концентраций третичных жирных аминов и аминоспиртов в воздухе рабочей зоны, в. 19. - М., 1984. - С. 137

Дубитель хромовый

Методические указания на фотометрическое определение окиси хрома в воздухе рабочей зоны, в. 14. - М., 1979. - С. 108

Дуниты

Методические указания на гравиметрическое определение пыли в воздухе рабочей зоны и в системах вентиляционных установок, в. 1 - 5, - М., 1981, - С. 235

Кобазол

Методические указания по фотометрическому определению кобальта, в. 1 - 5. - М., 1981. - С. 14

Кремния карбид

Методические указания на гравиметрическое определение пыли в воздухе рабочей зоны и в системах вентиляционных установок, в. 1 - 5. - М., 1981. - С. 235

Полибутилентерефталат

Методические указания на гравиметрическое определение пыли в воздухе рабочей зоны и в системах вентиляционных установок, в. 1 - 5. - М., 1981. - С. 235

Полимер кубовых остатков ректификации стирола (термополимер «КОРС»)

Методические указания на гравиметрическое определение пыли в воздухе рабочей зоны и в системах вентиляционных установок, в. 1 - 5. - М., 1981. - С. 235

В-фенилэтиламидхлоруксусная кислота (контроль по бензолу)

Методические указания по газохроматографическому измерению ацетона, дихлорметана, дихлорэтана, трихлорэтилена, бензола в воздухе рабочей зоны, в. 9. - М., 1986. - С. 23

Фториды редкоземельных металлов

Методические указания по ионометрическому измерению концентраций солей фтористоводородной кислоты, в. 21. - М., 1986. - С. 269

Хлопковая мука

Методические указания по фотометрическому определению БВК в воздухе рабочей зоны, в. 18. - М., 1983. - С. 139

Целлюлоза микрокристаллическая

Методические указания на гравиметрическое определение пыли в воздухе рабочей зоны и в системах вентиляционных установок, в. 1 - 5. - М., 1981. - С. 235

Приложение 4

Рис. 1

Ловушка-концентратор. Общий вид

Рис. 2

Ловушка-концентратор




Яндекс цитирования



   Copyright © 2007-2026,  www.tehlit.ru.

[ ѓосты, стандарты, нормативы, инструкции, правила, строительные нормы ]