//
ТехЛит.ру
- крупнейшая бесплатная электронная интернет библиотека для "технически умных" людей.
WWW.TEHLIT.RU - ТЕХНИЧЕСКАЯ ЛИТЕРАТУРА

:: Алготрейдинг::


АЛГОТРЕЙДИНГ
шаг за шагом
с нуля по урокам!

Торговые роботы на PYTHON, BackTrader,
Pandas, Pine Script для TradingView. Связка с брокерами, телеграм и легкими приложениями.


НАУЧНО-ИССЛЕДОВАТЕЛЬСКИЙИ ПРОЕКТНО-ИЗЫСКАТЕЛЬСКИЙ ИНСТИТУТ ЭКОЛОГИИ ГОРОДА

В.Н. Башкин, А.С. Курбатова, Д.С. Савин

МЕТОДОЛОГИЧЕСКИЕ ОСНОВЫ ОЦЕНКИ КРИТИЧЕСКИХ НАГРУЗОК ПОЛЛЮТАНТОВ НА ГОРОДСКИЕ ЭКОСИСТЕМЫ

МОСКВА

2004

Предлагаемая методика расчета критических нагрузок позволяет определить величины допустимого поступления различных загрязняющих веществ в городские наземные и водные экосистемы. Она может успешно применяться в Москве и других городах и городских агломерациях России. Аналогичные методики приняты во многих странах.

Методика основана на использовании биогеохимических подходов, получаемые величины могут рассматриваться в качестве экологических нормативов. Книга адресована читателям-специалистам в области экологии, медицины, строительства, архитектуры, управления и экономики природопользования.

Содержание

1. ОПРЕДЕЛЕНИЕ КРИТИЧЕСКИХ НАГРУЗОК

2.КРИТИЧЕСКИЕ НАГРУЗКИ НКИСЛОТНОСТИ НА ГОРОДСКИЕ ЭКОСИСТЕМЫ

2.1. Определение критических нагрузок серы и азота

2.2. Экологические последствия воздействия кислотных дождей на экосистемы

2.2.1. Воздействие на растительность и почвы

2.2.2. Воздействие на природные воды

2.3. Основные подходы к расчетам критических нагрузок

2.3.1. Выбор экосистемы (рецептора)

2.3.2. Определение экологических критериев

2.3.3. Выбор метода расчета

2.3.4. Сбор данных

2.3.5. Расчет критических нагрузок

2.3.6. Сравнение с прогнозируемыми данными

2.4. Модели для расчета величин критических нагрузок

2.4.1. Метод расчета величин критических нагрузок соединений азота и серы

2.4.1.1. Критическое вымывание щелочности

2.4.1.2. Трансформация азота

2.4.2. Рекомендуемые модели расчета критических нагрузок кислотности на городские экосистемы

2.4.3. Превышения критических нагрузок

2.5. Источники данных

2.6. Примеры расчета критических нагрузок кислотности городских экосистем Восточной Европы

3. КРИТИЧЕСКИЕ НАГРУЗКИ ТЯЖЕЛЫХ МЕТАЛЛОВ НАЗЕМНЫХ И ВОДНЫХ ЭКОСИСТЕМ

3.1. Расчет критических нагрузок тяжелых металлов

3.1.1. Выбор рецептора

3.1.2. Определение критических концентраций

3.1.2.1. Многофункциональное использование почв

3.1.2.2. Многофункциональное использование вод

3.1.2.3. Многофункциональное использование земель

3.1.2.4. Методы для установления эффект-ориентированных критических концентраций

3.1.2.4.1. Прямое воздействие на почвенные организмы и растения

3.1.2.4.2. Косвенные воздействия на высшие организмы

3.1.3. Выбор модели расчета

3.1.3.1. Наземные экосистемы

3.1.3.2. Водные экосистемы

3.1.4. Сбор данных

3.2. Примеры расчета критических нагрузок тяжелых металлов для городских экосистем

3.2.1. Расчет критических нагрузок тяжелых металлов на примере Германии

3.2.1.1. Критические концентрации

3.2.1.2 Модели

3.2.2.1. Метод расчета величин критических нагрузок тяжелых металлов на лесные экосистемы

3.2.2.2. Расчет и картографирование критических нагрузок РЬ и Cd

ЗАКЛЮЧЕНИЕ

СЛОВАРЬ ТЕРМИНОВ

ЛИТЕРАТУРА

ВВДЕНИЕ

Для предотвращения загрязнения и/или деградации наземных и водных экосистем городских территорий необходимо следить за тем, чтобы антропогенные нагрузки загрязняющих веществ (поллютантов) укладывались в рамки природных колебаний различных звеньев биогеохимических пищевых цепей ( De Vries et al , 1998; Posch et al , 1999; Bashkin , 2002). Для определения требуемого сокращения антропогенных нагрузок в токсикологии и химии окружающей среды существуют приемы, связанные с установлением стандартов, например, предельно допустимых концентраций (ПДК) или ориентировочно допустимого содержания (ОДС) поллютантов в различных средах (Башкин и др., 1993). Эти приемы в большей степени основаны на данных, полученных в модельных условиях при экспериментах с лабораторными животными, и их результаты зачастую весьма далеки от реальных условий окружающей среды, что делает применение таких стандартов спорным как с экологической, так и с экономической позиции.

Несмотря на огромные усилия специальных экологических служб, состояние городских экосистем, оцененных по принятым в России санитарно-экологическим требованиям, близко к критическому. Так, в большинстве почв содержание загрязняющих веществ превышает предельно допустимую концентрацию (ПДК) в несколько раз. Такая статистика не идет на пользу развитию городов (в частности, Москвы), являясь существенным препятствием для иностранных инвестиций в области экономики (туризм и пр.).

В то же время известно, что большинство применяемых экологических стандартов, например по ПДК, были разработаны для агроэкосистем. Их использование в городских условиях приводит к получению некорректных выводов о состоянии окружающей среды. Рассмотрим лишь один пример: величины критических уровней содержания поллютанов, установленных в странах ЕС, США и Канаде во много раз (от 10 до 200) превосходят соответствующие цифры в России. Например, ПДК для содержания валового свинца в почве Москвы равно 32 мг/кг, а в почве Лондона - от 300 до 2000 мг/кг. Аналогичные примеры можно привести и для других показателей.

Таким образом, если перейти на международные нормы оценки критического содержания загрязняющих веществ в почвах городских экосистем (урбоэкосистем), то их состояние можно будет оценить большей частью, как удовлетворительное.

Предлагаемый подход рассматривает применение биогеохимических стандартов, основанных на методологии критических нагрузок и направленных на эффект-ориентированное сокращение поступления поллютантов в наземные и водные экосистемы города.

1. ОПРЕДЕЛЕНИЕ КРИТИЧЕСКИХ НАГРУЗОК

Хорошо известно, что биогеохимическая цикличность является универсальным свойством биосферы, определяющим устойчивость любых экосистем, включая городские, к поступлению различных антропогенных поллютантов (кислотные соединения серы и азота, тяжелые металлы, стойкие органические соединения, агрохимикаты и др.). Соответственно, концепция критических нагрузок, основанная на биогеохимических принципах, и предполагает определение такого уровня поступления поллютантов, когда начинает проявляться их вредное воздействие на экосистему. Величины критических нагрузок могут быть охарактеризованы как максимальное поступление поллютантов, которое не сопровождается необратимыми изменениями в биогеохимической структуре, биоразнообразии и продуктивности экосистем в течение длительного времени, т. е. 50-100 лет (Башкин, 1997).

Термин критическая нагрузка относится только к поступлению поллютантов. Опасные концентрации газообразных соединений в атмосфере называются критическими уровнями. Они определяются как концентрации в атмосфере, выше которых могут проявляться обратимые и необратимые воздействия на человека, и на компоненты экосистем.

Рис. 1. Иллюстрация концепции критических нагрузок ( Bashkin , 2002)

Графически методология критических нагрузок показана на рисунке 1. При этом величины критических нагрузок могут быть рассчитаны в двух вариантах. Первый - с применением фактора безопасности для учета неопределенности используемых при расчетах величин, что уменьшает величины критических нагрузок. Второй - в виде целевых критических нагрузок, рассчитанных на экономически возможное сокращение поступления поллютантов.

Концепция критических нагрузок предусматривает достижение максимальной экологической выгоды при сокращении эмиссии поллютантов, поскольку показывает оценку дифференцированной чувствительности различных экосистем к атмотехногенным поступлениям поллютантов. Расчеты и картографирование критических нагрузок позволяют создавать оптимизационные эколого-экономические модели с соответствующей оценкой минимальных экономических вложений для достижения максимального экологического эффекта в масштабе как всего города или его части, так и в масштабе региона для учета трансрегионального загрязнения.

Расчет и картографирование критических нагрузок при мониторинге атмосферных выпадений серы и азота могут быть также использованы для идентификации регионов, где выпадения превышают величины критических нагрузок. Эта информация, а также использование моделей атмосферного переноса позволит определить, в каких регионах и в какой степени необходимо провести сокращение выбросов загрязняющих веществ, чтобы обеспечить снижение вредных выбросов.

2.КРИТИЧЕСКИЕ НАГРУЗКИ КИСЛОТНОСТИ НА ГОРОДСКИЕ ЭКОСИСТЕМЫ

2.1. Определение критических нагрузок серы и азота

Критическая нагрузка представляет собой индикатор чувствительности экосистем, определяющий максимально допустимое поступление поллютантов, при котором риск нанесения ущерба экосистеме будет резко уменьшен. Измеряя определенные физические и химические свойства экосистем, можно рассчитать чувствительность экосистем к кислотным выпадениям и оценить критическую нагрузку кислотности. Критическая нагрузка кислотности может быть определена как максимальное поступление подкисляющих соединений серы и азота, ниже которого не происходит вредного подкисляющего воздействия на экосистему в течение длительного периода (50-100 лет). Оценивая же раздельное влияние серы и азота, необходимо принимать во внимание совместное подкисляющее воздействие обоих этих элементов и эвтрофирующее (питательное) влияние одного азота. В таком случае критическая нагрузка серы представляет собой максимальное поступление этого элемента в экосистему, ниже которого не происходит вредного подкисляющего воздействия, а критическая нагрузка азота - максимальное поступление азота в экосистему, ниже которого не происходит как подкисляющего (совместно с серой), так и эвтрофирующего воздействия соединений азота на биогеохимическую структуру и функции экосистем (Башкин и др., 1997; 1998).

Соотношение основных катионов (Ca , Mg , K , Na) с алюминием, а также концентрация свободного иона А1 3+ , используются как индикаторы равновесных геохимических и биогеохимических процессов. На основании многочисленных экспериментальных данных принято, что критическое соотношение основных катионов с алюминием должно быть выше 1:1, а концентрация Al 3+ в почвенном растворе - меньше или равна 1.8 мг/л (0.2 мл экв/л) (De Vries et al , 1998; Башкин, 1999).

В зависимости от типа воздействия наиболее чувствительными элементами в наземных и водных экосистемах могут быть:

1. почвенные микроорганизмы и почвенная фауна, водные и донные организмы, ответственные за биогеохимические циклы (например, снижение их биоразнообразия);

2. наземная фауна, и водные растения (например, снижение воспроизводства, отсутствие биоразнообразия, эвтрофирование);

3. человек, как замыкающее звено в биогеохимической пищевой цепи (например, возрастающая в кислых условиях миграция тяжелых металлов в почвах и водах приводит к их избыточному поступлению в организм человека и др.).

Итак, критическая нагрузка представляет собой индикатор устойчивости экосистемы, поскольку показывает величину максимально допустимого поступления загрязняющих веществ, выше которой существует риск повреждения биогеохимической структуры и функций городской экосистемы. Путем измерения или оценки определенных звеньев биогеохимических циклов серы, азота, основных катионов и некоторых других сопряженных элементов можно определить уровень устойчивости или чувствительности, как биогеохимических циклов, так и общей структуры экосистемы к поступлению подкисляющих и эвтрофирующих соединений. Может быть рассчитан критический уровень поступления кислотности и/или критический уровень поступления питательных веществ, который определяет возможность изменения биоразнообразия в экосистеме.

Используя эти величины, можно рассчитать критическую нагрузку кислотности для каждой экосистемы на территории того или иного городского района. Расчет критических нагрузок осуществляется для всех, возможных комбинаций почв и растительных видов в наземных экосистемах или водной биоте (включая рыб) и природных типов вод для водных экосистем. Принимая во внимание широкое разнообразие городских экосистем, величины критических нагрузок кислотности, серы и азота сравниваются с поступлением этих соединений с атмосферными осадками, удобрениями бытовыми и промышленными отходами и выявляются экосистемы, для которых величины критических нагрузок превышены. Сопоставляя величины превышений для различных городских территорий, можно определить такой уровень необходимого сокращения эмиссии соединений серы и азота, при котором величины критических нагрузок не были бы превышены. Это сокращение должно осуществляться как на локальном, так и региональном уровнях, поскольку соединения серы и азота за время жизни в атмосфере могут быть перенесены на значительные расстояния (до нескольких тысяч километров).

В конечном итоге, величины критических нагрузок могут рассматриваться как биогеохимические стандарты для оценки допустимого антропогенного воздействия на городские экосистемы различного уровня.

2.2. Экологические последствия воздействия кислотных дождей на экосистемы

Даже в абсолютно чистом воздухе дождевая вода не является нейтральной, поскольку содержится углекислый газ, растворение которого в дождевой воде сопровождается её незначительным подкислением. Гораздо большее влияние на кислотность дождевой воды оказывают соединения серы и азота и их соответствующие серная и азотные кислоты. Хотя эти газы и присутствуют даже в сильно загрязненном воздухе в существенно меньших количествах, чем углекислый газ, но их влияние во много раз больше выражено.

Дождь, имеющий величину pH менее 5.6, называется кислым, при этом для слабокислого дождя эта величина изменяется в пределах 5.6-5.0, кислого 5.0-4.5, сильнокислого 4.5-3.5 и очень кислого менее 3.5.

Далее предлагается рассмотреть экологические последствия выпадения кислотных дождей на различные компоненты природных и антропогенных экосистем.

2.2.1. Воздействие на растительность и почвы

Воздействие на растительность подразделяется на воздействие самих газов как загрязняющих вредных веществ и воздействие кислотных дождей с низкой величиной pH .

Двуокись серы является сильным фитотоксикантом, кроме того, она токсична сама по себе. Рост растений ингибируется при концентрациях SO2 в воздухе около 0.3 мг/м 3 (0.1ppmv). Концентрации между 0.3 и 3 мг/м 3 вызывают заметные поражения травянистых культур и деревьев даже после нескольких часов воздействия (экспозиции). Такие величины уровней SO2 обычно могут достигаться в больших мегаполисах, например, в Москве, Бангкоке, Токио, Лондоне или Нью-Йорке. Сочетание нескольких загрязняющих веществ нередко приводит к появлению синергетических эффектов, когда негативное действие одного вещества усиливается действием другого; это часто наблюдается при комбинациях SO 2 / NO 2 и SO 2 / O 3 . Хотя двуокись азота также фитотоксична, ее токсический эффект не столь велик, как у двуокиси серы, так как нитрат-ион, в виде которого в конечном итоге происходит выпадение на поверхность, является питательным веществом. Действительно, в незагрязненной окружающей среде связывание азота при разрядах молнии служит растениям источником нитратов. Однако в комбинации NO x и SO2 загрязнение проявляется более остро, чем фитотоксическое воздействие одной двуокиси серы.

Избыточная кислотность также вредна для растений. При pH дождевой воды ниже 3.5 возможен ожог листьев. Подкисление почвы вследствие выпадений кислотных дождей (особенно в случае природных кислых почв типа подзолов и дерново-подзолистых, имеющих к тому же низкие буферность и содержание основных катионов) сопровождается появлением в почвенном растворе свободных ионов А1 3+ . Они очень вредны для тонких корневых волосков, которые отмирают даже при незначительном увеличении содержания алюминия. Кроме того, при снижении величин pH в почве многие тяжелые металлы, такие как свинец, кадмий, ртуть, цинк, медь и другие, становятся более подвижными, что усиливает их токсическое воздействие на растения (Глазовская, 1997; Перельман и Касимов, 1999; Bashkin , 2002).

Увеличение кислотности выпадающих осадков, происходящее зачастую одновременно с увеличением в воздухе концентрации SO 2 , O 3 и NO 2 , является причиной уменьшения продуктивности, и даже гибели лесов. Такие явления отмечены в Центральной Европе (Черный треугольник), в Скандинавии, России, Северной Америке. Прежде всего, гибнут ценные хвойные леса, так как устойчивость мелколиственных лесов к долговременному подкислению существенно выше. Первым признаком нездоровья растений является желтый цвет хвои (причина - хлороз). Продолжающееся воздействие приводит к опаду хвои и гибели деревьев (Башкин и др., 2002).

В наибольшей степени опасны кислые туманы, часто встречающиеся в горных районах. Мелкодисперсные капельки воды долго сохраняются в воздухе, и их токсическое воздействие на растения проявляется в более острой форме, чем в случае выпадения кислотных дождей.

2.2.2. Воздействие на природные воды

Подкисление природных вод, прежде всего, происходит в тех регионах, где подстилающие геологические породы и почвы имеют низкую буферную способность. Например, кислые почвы с низкой буферностью по отношению к кислотным осадкам быстро подвергается химическому выветриванию. Это районы северо-запада России, Западной и Восточной Сибири, Крайнего Севера и Дальнего Востока. Другие геологические породы (известняки и меловые отложения), а также карбонатные почвы могут нейтрализовать поступающие кислоты, и поэтому реки и озера в зонах распространения этих пород (центрально-черноземная и южная зоны) малочувствительны к кислым дождям и снегу.

Кислые осадки, выпадающие на территории водосборных бассейнов рек и озер, не нейтрализуются в кислых почвах с низким содержанием оснований. Поэтому почвы и воды озер становятся все более и более кислыми. Нормальная природная величина pH в озерах с низкой буферностью вод находится в интервале 6.5-7.0. В настоящее время многие озера в указанных регионах имеют pH 5.0 и ниже.

Установлено, что в кислых озерах и реках резко снижается биоразнообразие и продуктивность водной фауны и флоры. Во многих случаях происходит гибель целых видов водных организмов (табл. 1).

Таблица 1 .

Предельные величины pH для выживания различных водных организмов

pH

Выживаемость водных организмов

6.0

Гибель улиток и ракообразных

5.5

Гибель лососевых, радужной форели и белорыбицы

5.0

Гибель окуня и щуки

4.5

Гибель угря и речной форели

При pH воды ниже 4.0 в озерах начинает обильно разрастаться белый мох, развивающийся в кислой среде. Это растение формирует "войлочный мат", который достигает 0.5 м и более толщины на дне озер. Данный слой препятствует обмену питательных веществ между водой и донными отложениями, а также нейтрализации растворенных в воде кислот за счет основных катионов донных отложений. В результате такие озера имеют кристально чистую воду, но очень немногие растения и рыбы могут в ней развиваться.

Уменьшение количества рыбы можно ожидать в водоемах, pH воды которых опустился до 5.0 и ниже. Хотя средние величины pH в водных экосистемах Москвы составляют около 6, но ранней весной, когда у большинства рыб происходит нерест, величины pH воды снижаются за счет снеготаяния и резкого поступления аккумулированной в снеге кислотности. Снижение pH приводит к снижению количества нарождающихся мальков и их выживаемости.

Во многих странах осуществляется искусственное известкование озер для восстановления их природного статуса. Поскольку известь рассыпается с самолетов, стоимость данного мероприятия очень высока. Кроме того, пока сохраняются источники эмиссии подкисляющих соединений, эффективность известкования будет низкая, поскольку через несколько лет кислотность воды в озерах снова возрастает.

Подкисление водоемов обычно сопровождается растворением соединений тяжелых металлов в подстилающих породах и увеличением миграции таких ионов, как Cd2+ , Pb2+ и Hg 2+ . Увеличение подвижности тяжелых металлов и возрастание их концентрации в питьевой воде может привести к отравлению и смерти людей и животных. Такая вода становится непригодной для питья (Bashkin and Gregor , 1999).

Алюминий является предметом особого внимания экологов из-за его высокой токсичности как для растений (см. выше), так и для обитателей водоемов. Кроме того, известно увеличение токсического воздействия алюминия при низких величинах pH на водную биоту. Поэтому растворение алюминия из подстилающих пород является причиной более вредного воздействия умеренной кислотности в природных условиях, чем в лабораторных экспериментах. Не исключен синергизм токсических эффектов и с фторидом. Последний, как уже давно известно, является ингибитором активности ферментов, и это ингибирование проявляется в связи с присутствием комплексов типа AlF4 .

Воздействие кислых дождей на окружающую среду определяется свойствами экосистем, в которые они попадают. Степень воздействия зависит от различных физико-химических свойств почв, типа растительности, взаимодействия между кронами деревьев и просачивающимися осадками. (Например, почвы, примыкающие к стволу японского кедра, являются сильнокислыми.) Во многом степень воздействия связана с вымыванием ионов водорода из коры данных деревьев.

Известно, что геохимическая и биогеохимическая мобильность большинства тяжелых металлов в почвах городских экосистем возрастает с уменьшением величин почвенного pH , что наблюдается при выпадении кислых осадков. Кроме того, было установлено, что во многих экосистемах существует синергизм между кислотностью и содержанием SO 2 , NO X и О 3 в тропосфере, что усиливает вредное воздействие кислотности на растения (Bashkin , 2002).

2.3. Основные подходы к расчетам критических нагрузок

Оценку возможного воздействия на наземные и водные экосистемы можно выполнить на основании подхода, показанного на схеме 1.

Выбор экосистемы (рецептора)

¯ 

Определение экологических критериев

¯ 

Выбор метода расчета

¯ 

Сбор данных

¯ 

Расчет критических нагрузок

¯ 

Сравнение с прогнозируемыми данными

Схема 1. Этапы расчета критических нагрузок при   поступлении кислотообразующих и эвтрофирующих соединений серы и азота в городскую экосистему

2.3.1. Выбор экосистемы (рецептора)

Рецептор представляет собой экосистему, актуально и потенциально подверженную загрязнению соединениями серы, азота, тяжелых металлов и/или стойких органических соединений. Характеристика наземной экосистемы как рецептора включает описания типа использования городских земель, климата, принадлежности к биогеохимическому району, типов почв и растительности. При характеристике водной экосистемы, прежде всего, учитываются тип водоема (река, озеро или пруд), его трофический статус и гидрохимия. При рассмотрении наземных экосистем важное значение имеет оценка источников загрязнения. Например, в городские экосистемы поступление поллютантов происходит с атмосферными осадками (влажными и сухими), удобрениями, мелиорантами и оросительными водами. Аналогичная информация в ряде случаев необходима и для водных экосистем.

2.3.2. Определение экологических критериев

Определение экологических критериев (критических концентраций в наиболее чувствительных компонентах рецептора) связанно с рассмотрением взаимозависимости между химическими параметрами, характеризующими тот или иной компонент экосистемы (почва, растительность, донные отложения, почвенные, грунтовые или поверхностные воды), и откликом отдельного живого организма или популяции на эти параметры (Башкин и Бейли, 1995). В соответствии с определением критическая нагрузка представляет собой поступление поллютанта, в количестве не вызывающем необратимых изменений в биогеохимическом круговороте элементов в экосистемах. Следовательно, этот шаг при оценке критических нагрузок представляется одним из важнейших.

2.3.3. Выбор метода расчета

Важно определиться с тем, какой метод расчета использовать: нединамический или динамический. Нединамический метод более важен при расчете критических нагрузок, поскольку с его помощью можно предсказать долговременные изменения в биогеохимической структуре как наземных, так и водных экосистем под воздействием антропогенного загрязнения. Например, под воздействием кислых осадков происходит изменение скоростей химического выветривания, уменьшается содержание основных катионов, наблюдается вымывание питательных веществ, возрастание содержания свободного алюминия и тяжелых металлов. Динамический метод необходим для оценки периода, в течение которого эти изменения произойдут в той или иной экосистеме, что позволит моделировать различные сценарии сокращения поступления поллютантов, например, эмиссии вредных веществ в атмосферу от автомобилей.

2.3.4. Сбор данных

Производится сбор максимально полной информации о биогеохимических циклах различных элементов, о почвенных, геоботанических, геологических, климатических, гидрологических, гидрохимических и других условиях, поступлении поллютантов с различными антропогенными потоками, о современном состоянии загрязнения рассматриваемых городских условно-природных и трансформированных наземных и водных экосистем. При этом полезно применение геоинформационных систем.

2.3.5. Расчет критических нагрузок

Расчет критических нагрузок поллютантов осуществляется для всех экосистем в выбранном масштабе с использованием геоинформационных систем (ГИС), позволяющих создавать карты этих величин. Обычно картографирование величин критических нагрузок выполняется в масштабе 1:500 м; 1:1 км; 1:5 км и т. д.

2.3.6. Сравнение с прогнозируемыми данными

Критическая нагрузка поллютантов на данную экосистему сравнивается с экспериментальными или смоделированными величинами. Такое сравнение позволяет понять, превышены ли критические нагрузки на определенной территории. Подобные операции осуществляются с использованием ГИС. Рассчитанные величины превышений включаются в эколого-экономические оптимизационные модели для выбора различных сценариев сокращения поступления поллютантов.

2.4. Модели для расчета величин критических нагрузок

Методологические и методические подходы для количественной оценки и картографирования величин критических нагрузок азота, серы и кислотности описаны в соответствующих методических рекомендациях, разработанных для научного обеспечения Конвенции о трансграничном загрязнении воздуха на большие расстояния (Posch et al , 1999).

2.4.1. Метод расчета величин критических нагрузок соединений азота и серы

В основе этого метода лежит уравнение баланса ионов в почвенном растворе:

H le + А l le +BC le +NH 4, le = SO 4, le + NO 3 , le + Cl le + HCO 3, le + RCOO le ,                   (1)

где индекс le - вымывание; ВС - сумма основных катионов (ВС = Са +Mg+K+Na); RCOO - сумма органических анионов; А 1 - ионы алюминия; Н - ионы водорода; NH 4 - ионы аммония; NO 3 - нитрат - анионы; SO 4 - сульфат - анионы; С l - хлор - анионы; НСО 3 - карбонат - анионы.

После некоторых упрощений это уравнение примет следующий вид (считая, что сера выпадает в виде сульфатов, а азот - в виде окисленных и восстановленных соединений):

для серы:

S le = SO 4, le = S dep                                                                                                               (2)

для азота:

N le = NO 3, le = N dep - N i - N u - N de ,                                                       (3)

где S dep - выпадения соединений серы; N dep - выпадения соединений азота, N i - иммобилизация азота в корневой зоне растений; N de - денитрификация, N u - поглощение азота растительной биомассой.

Подставляя уравнения (2) и (3) в уравнение (1), получаем следующее упрощенное балансовое уравнение между источниками и запасами серы и азота в почве, применимое для любых выпадений этих элементов:

S dep +N dep = BC dep - C dep + BC w – BC u + N i +N u + N de – Alk le                          (4)

Определив величину критического вымывания щелочности (Alk le (Crit)), устанавливающую предел, ниже которого не происходит существенных изменений в функционировании экосистем, можно рассчитать максимально допустимое выпадение соединений серы и азота, т. е. величины их критических нагрузок:

CL(S+N) = CL(S)+CL(N) = BC dep - Cl dep + BC w – BC u +N t + N u + N de - Alk le(crit) .     (5)

Сопоставляя выпадения серы и азота с величиной CL (S + N), следует помнить, что сера и азот как подкислители действуют независимо друг от друга, и процессы трансформации азота не влияют на величину критической нагрузки по сере. Тогда максимальная нагрузка серы рассчитывается по формуле:

CLmax(S) = BC dep - Cl dep + BC w – BC u - Alk le(crit) .                                   (6)

Кроме того, определив величину CLmin (N) как

N dep <= N i + N u + N de = CLmin(N) ,                                                         (7)

можно считать, что весь выпавший азот поглощается почвенными микроорганизмами и растениями, включается в состав гумуса и денитрифицируется.

Максимально допустимое выпадение азота (при почти гипотетическом условии, что выпадения серы равны 0) определяется по следующей формуле:

CLmax(N) = CL(S + N) = CLmax(S) + CLmin(N) .                                   (8)

На рисунке 2 показана взаимосвязь между выпадениями и величинами критических нагрузок серы и азота (серым цветом выделена область, где выпадения не превышают критических нагрузок).

Рис. 2. Функция, связывающая поступления серы и азота с величинами критических нагрузок для этих элементов (кривая индифферентных превышений)

При определении критических нагрузок азота кроме подкисляющего эффекта следует учитывать и влияние азотных выпадений на питательный статус экосистем. Это влияние вычисляется с помощью следующей формулы:

CLnutr(N) = N u + N i + N le(crit) + N de .                                            (9)

Рассмотрим несколько возможных случаев сравнения величин критических нагрузок по подкисляющему и питательному азоту (рис. 3).

а) CLnutr(N) ³ CLmax(N)

В первом случае величиной CLnutr (N) можно пренебречь, т. к. максимально допустимое выпадение азота будет ограничено величиной CLmax (N).

б) CLnutr(N) < CLmax(N)

Во втором - величина CLnutr (N) ограничивает максимально допустимое выпадение азота, а допустимое выпадение серы при таком поступлении азота определяет величина CLmin (S):

CLmin(S) = CLmax(S) - N le(cril) ,                                           (10)

Для того чтобы рассчитать величины критических нагрузок, определяемые уравнениями (1 )-(9 ), необходимо оценить параметры, входящие в эти уравнения. Ниже представлены способы их расчета.

2.4.1.1. Критическое вымывание щелочности

Вымывание щелочности определяется с помощью формулы:

Alk le(crit) = -Al le(cril) - H le(crit ) = -Q( [Al] crit + [H] crit ),                                (11)

где Q - сток избыточного поступления осадков (м 3 /га/год), т.е. влага, удаляемая из корневой зоны растений, в квадратных скобках означена концентрация в экв/м 3 . Отношение между [Н] и l] описывается формулой химического равновесия гиббсита:

[Al] = K gibb [H] 3   либо, [Н]= ([Al]/K gibb) 1/3                                                                             (12)

где K gibb - гиббситовый коэффициент. Его величина зависит от типа почвы. Чаще всего используется величина K gibb = 300 м 6 /экв 2 .

Для того чтобы получить величину критического вымывания щелочности, необходимо определить либо критическую концентрацию алюминия l], либо критический pH почвы, а затем рассчитать другой параметр согласно уравнению (12). Сток осадков рассчитывается вычитанием из числа количества осадков суммы эвапотранспирации лесным пологом, почвенной эвапотранспирации и испарения в корневой зоне растений.

Рис. 3. Взаимосвязь между величинами критических нагрузок по подкисляющему (CLmax) и питательному (CLnutr) азоту:
a) CLnutr(N)
³ CLmax(N); б) CLnutr(N) < CLmax(N)

2.4.1.2. Трансформация азота

Поглощение азота (N u) зависит от величины выпадения основных катионов. Поглощение азота рассчитывается по следующей формуле

                                       (13)

где Ca u , Mg u , K u , P u – поглощение катионов кальция, магния, калия и фосфора растительной биомассой, X X :N - соотношение питательных катионов X и азота в растительной биомассе.

Если не известны отдельные компоненты формулы (13), то величина N u рассчитывается следующим образом:

                                                               (14)

где ВС и - поглощение основных катионов растительной биомассой; X BC: N - соотношение основных катионов и азота в растительной биомассе.

Иммобилизация азота (N i) принимается примерно равной от 2 до >5 кг N /га/год (142-357 экв/га/год) и зависит от соотношения углерода и азота C: N в почвенном органическом веществе. Хотя при современном состоянии окружающей среды вследствие подкисления почв, кислых дождей и увеличения биомассы из-за питательного воздействия выпадений азота иммобилизация азота может быть значительно выше.

Денитрификация (N de). В самом простом случае денитрификация линейно зависит от общего поступления азота согласно следующему условию:

                                  (15)

Величина f de связана с типом почвы и принимается равной 0.1 для почв легкого гранулометрического состава без процессов оглеения, 0.5 - для песчаных оглеенных почв, 0.7 - для почв тяжелого гранулометрического состава, 0.8 - для торфяных почв.

Критическое вымывание азота (N le (crit)). Этот параметр необходим для расчета величины критической нагрузки по питательному азоту (уравнение (19 ))

Относительно небольшие концентрации азота в почвенном растворе могут вызвать нарушение питательного статуса экосистемы, а при появлении значительного количества азота, состав растительности может резко измениться, т. к. азотофильные виды растительности получают более благоприятные условия для роста.

Критическое вымывание азота можно рассчитать по следующей формуле:

                                                                               (16)

где [N] crit , - критическая концентрация азота в почвенном растворе; Q - сток избыточного поступления осадков.

Величины критических нагрузок, определяемые уравнениями (6 )-(9 ), не указывают на степень изменений в функционировании экосистемы, а только определяют допустимую величину воздействия. Поэтому, более важным является понятие превышения критической нагрузки. Таким образом, величину критической нагрузки можно сравнить с реальной величиной выпадения загрязнителя:

                               (17)

На рисунке 4 представлена функция, связывающая выпадения серы и азота с величинами критических нагрузок по этим элементам. На графике положение точки (N dep , S dep) относительно этой функции определяет 5 классов превышений:

0 - превышений нет;

1 - сокращения серы и азота взаимозаменяют друг друга, т.е. достаточно сократить выбросы только одного загрязнителя (или серы или азота);

2 - необходимо сократить выпадения серы;

3 - необходимо сократить выпадения азота;

4 - необходимо сократить как выпадения серы, так и азота.

Рис. 4. Схема «индифферентной кривой превышений» при 95%-ой степени защиты экосистем

При этом 95%-ная степень защищенности обозначает уровни выпадений, при которых обеспечивается отсутствие превышений для 95% экосистем в пределах определенной территории, например, в клетках масштаба 1:5 км.

Уравнения и формулы (1 )-(9 ), используемые для расчета величин критических нагрузок включают в себя количественную оценку максимально возможного числа параметров, характеризующих круговорот загрязнителей в экосистемах.

2.4.2. Рекомендуемые модели расчета критических нагрузок кислотности на городские экосистемы

Для определения величины максимальной критической нагрузки по сере используется следующая формула:

                                            (18)

где С t - гидротермический коэффициент, характеризующий вегетативный период года и рассчитываемый как отношение суммы температур выше 5°С к сумме годовых температур.

Величина CLmin (N) определяется следующим образом:

                                                      (19)

где индекс * означает принадлежность отмеченных величин к допустимым (критическим) величинам выпадений атмотехногенного азота на экосистему.

Нагрузка по питательному азоту устанавливается по формуле:

                                               (20)

Для количественной оценки величин, входящих в уравнения (18)-(20), используются нижеприведенные методы.

Поглощение основных катионов определяется следующим уравнением:

                                                                       (21)

где N / B С - величина, определяющая соотношение азота и основных катионов в растительной биомассе. Эта величина обусловлена типом почвы.

Выветривание основных катионов рассчитывается исходя из уравнения:

                                                                  (22)

где коэффициент W r определяет способность почвы к выветриванию, a D - толщина почвенного слоя.

Процессы трансформации азота

Поглощение азота почвы растительной биомассой определяется следующим уравнением:

                                                         (23)

где АМС - азотоминерализующая способность почвы (Башкин, 1987); N i - иммобилизация азота почвы; N de - денитрификация азота почвы.

Поглощение азота атмосферных выпадений рассчитывается по формуле:

                                                                (24)

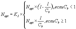
где N upt - ежегодное поглощение азота растительностью, которое определяется исходя из условия:

                                       (25)

где C b - коэффициент биогеохимического круговорота, определяемый как отношение массы подстилки к массе ежегодного опада, а коэффициент K 1 зависит от типа экосистемы (равен 0.8 для городских экосистем, расположенных в таежно-лесной зоне и 1.0 для всех остальных).

Иммобилизация азота почвы определяется следующим образом:

                                                           (26)

Коэффициент K 2 определяется в зависимости от следующего условия:

                                                (27)

где C: N - величина отношения концентрации углерода к концентрации азота в почве.

Иммобилизация азота атмосферных выпадений рассчитывается по следующей формуле:

                                                      (28)

где N td - суммарный азот сухих и влажных атмосферных выпадений (измеряется непосредственно), а коэффициент К 2 определяется из условия (27).

Денитрификация азота почвы определяется по формуле:

                                                     (29)

где коэффициент К 3 принимается равным 0.145 (Башкин, 1987), а коэффициент К 4 определяется согласно условию:

                                  (30)

Денитрификация азота атмосферных выпадений рассчитывается с помощью нижеприведенной формулы:

                                              (31)

Следовательно, минимальные критические нагрузки азота:

CLmin(N) = (N i * + N u *)

критические нагрузки питательного азота:

CLnut(N) = CLmin(N) + N l , + N de * ;

максимальные критические нагрузки азота:

CLmax(S) = C t (BC w – ANC l ) + (BC d – BC u );

максимальные критические нагрузки серы:

CLmax(N) = CLmax(S) + CLmin(N).

Таким образом, при расчете величин критических нагрузок максимально учитываются природные физико-географические и биогеохимические характеристики экосистем, находящиеся под воздействием атмотехногенных выпадений (Башкин и Танканаг, 2001).

2.4.3. Превышения критических нагрузок

Превышения критических нагрузок серы и азота рассчитываются с использованием «кривой индифферентных превышений» (Posch et al , 1997). Суть данного подхода связана с биогеохимическим сходством соединений серы и азота при их подкисляющем воздействии на экосистемы, которое определяется формированием протона Н + в цепи биогеохимических реакций и процессов. Сокращение эмиссий серы, азота или обоих элементов будет связано с их поступлением в экосистемы в величинах ниже критических нагрузок.

2.5. Источники данных

Исходная информация для расчета критических нагрузок (КН.) включает дигитализированные геологические, почвенные, геохимические, геоботанические, гидрологические, ландшафтные и гидрохимические карты (Глазовская, 1997). Для каждого элементарного таксона (минимального выдела) в выбранном масштабе должны быть количественно охарактеризованы основные звенья биогеохимических циклов серы, азота и основных катионов (Са, Mg, K). Эти данные получают с помощью экспериментальных и мониторинговых исследований. Необходимый набор параметров, входящих в алгоритм расчета величин критических нагрузок азота, серы и кислотности показан ниже. Их количественные параметры для городских экосистем, расположенных в различных климатических зонах России, представлены в таблице 2.

Таблица 2.

Параметры, использованные для расчета величин критических нагрузок серы и азота в различных городских экосистемах, расположенных на территории основных зональных почв.

Зональные почвы

 

Wr

D

C:N

АМС

СЬ

CN

N:Bc

Nupt

Kgibb

Горные

250

0.30

9.00

65

1.50

0.65

0.95

65

300

Бурые лесные

1750

0.50

16.67

85

2.00

0.70

0.60

80

250

Темно-бурые лесные

2750

0.75

13.50

110

1.50

0.75

1.00

85

100

Типичные черноземы

3000

1.00

12.80

150

0.90

1.00

1.20

125

100

Карбонатные черноземы

3500

1.00

12.00

120

1.00

1.00

1.20

115

100

Выщелоченные черноземы

2750

1.00

12.00

110

1.20

1.00

0.80

100

100

Дерново-подзолистые

750

0.30

16.67

50

5.00

0.50

0.70

35

300

Дерново-сильноподзолистые

250

0.30

14.29

45

7.00

0.50

0.70

25

300

Дерново-слабоподзолистые

750

0.30

17.14

55

6.00

0.50

0.80

40

200

Рендзины

2250

0.50

20.00

90

3.00

0.70

0.80

50

100

Глеевые

1750

0.30

17.50

40

6.00

0.40

0.70

30

300

Тундровые

250

0.20

8.33

15

7.00

0.30

0.80

10

1500

Северные пойменные (>55° N)

750

0.50

11.11

50

3.00

0.50

0.80

30

300

Южные пойменные (<55° N)

1750

0.50

13.00

75

2.50

1.00

1.20

50

300

Типичные каштановые

3500

1.00

12.27

105

0.80

1.20

1.40

75

150

Темно-каштановые

3500

1.00

12.80

100

095

1.20

1.35

75

150

Светло-каштановые

3000

1.00

13.89

100

1.10

1.20

1.10

75

150

Темно-серые лесные

2250

0.50

16.25

100

0.90

0.50

0.70

80

250

Светло-серые лесные

1750

0.50

18.33

80

2.00

0.50

0.60

45

250

Серые лесные

750

0.50

24.00

30

20.00

0.80

0.10

20

200

Болотно-торфянистые

250

0.20

26.00

36

20.00

0.80

0.10

22

9.5

Торфянистые

250

0.25

8.75

25

7.00

0.20

0.70

20

9.5

Глеево-подзолистые

250

0.250

12.86

20

7.00

0.20

0.70

15

300

Железо-подзолистые

125

0.25

9.00

18

6.00

0.15

0.70

12

300

Песчаные

250

0.20

8.00

18

5.00

0.10

0.70

10

1500

Такыровидные

3000

1.00

15.00

45

1.30

1.50

1.30

70

2000

Солонцы

3000

1.00

16.00

35

0.70

1.60

1.10

50

200

Темные сероземы

3000

1.00

16.67

30

0.80

1.50

1.10

50

950

Светлые сероземы

3500

1.00

18.75

25

0.80

2.00

0.90

30

950

Степные солончаки

3500

1.00

18.75

22

0.80

2.00

0.90

30

300

Полупустынные и пустынные солончаки

3500

1.00

20.00

23

0.82

2.20

0.95

30

300

Необходимые параметры модели для расчета критических нагрузок кислотности:

Q run

-

поверхностный сток (м 3 /га/год);

N td

-

суммарные TV выпадения, влажные и сухие (NO X + NH X);

Std

-

суммарные S выпадения, влажные и сухие

BC d

-

выпадение основных катионов;

C t

-

коэффициент активных температур (отношение суммы температур >5°С к общей годовой сумме);

С b

-

коэффициент биогеохимического круговорота, как отношение массы элемента в ежегодном опаде к его массе в подстилке;

C: N

-

отношение C: N в верхнем почвенном горизонте;

NMC

-

азотоминерализующая способность почв;

С N

-

максимально допустимое содержание азота в поверхностных водах;

W r

-

химическое выветривание почвенных минералов (экв/га/год/м почвенного профиля);

D

-

верхний активный слой почвы;

K gibb

-

константа Гиббса;

N: BC

-

отношение N и основных катионов в растительной биомассе;

N upt

-

годовое поглощение азота;

N i

-

иммобилизация почвенного N;

N i *

-

иммобилизация N атмосферных выпадений;

N de

-

денитрификация почвенного N;

N de *

-

денитрификация N атмосферных выпадений;

N u

-

поглощение почвенного N;

N u *

-

поглощение N атмосферных выпадений;

N 1

-

вымывание N атмосферных выпадений;

B С w

-

выветривание основных катионов в рассматриваемом почвенном слое;

ВС u

-

поглощение основных катионов;

ANC 1

-

вымывание кислотонейтрализующей способности почвы.

2.6. Примеры расчета критических нагрузок кислотности городских экосистем Восточной Европы

В соответствии с изложенным выше подходом были рассчитаны величины критических нагрузок соединений серы и азота для наземных городских экосистем стран Восточной Европы (Башкин и Танканаг, 2000). Все расчеты выполнены в экв/га/год, что необходимо для биогеохимических реакций с участием различных элементов.

На рисунках 5-8  показаны величины критических нагрузок для 95%-ой защищенности наземных экосистем Восточной Европы. Величины критических нагрузок для подкисляющего действия серы (ClmaxS) изменяются в пределах <200 - >2000 экв/га/год. Большая часть восточноевропейских городских экосистем чувствительна к выпадению серы, т. к. 55% от общего числа наземных экосистем имеют величины критических нагрузок менее 1000 экв/га/год и только 10.6% могут быть рассмотрены как устойчивые. В России минимальные величины (<200 экв/га/год) находятся в арктических и субарктических зонах, например, на Кольском полуострове (рис. 5). Эти очень чувствительные экосистемы не существуют на территории других восточноевропейских стран. В определенной степени это связано и с нейтрализующим влиянием основных катионов, выпадающих одновременно с соединениями серы и азота. В таёжно-лесной зоне величины CLmaxS находятся преимущественно в интервале 200 - 1000 экв/га/год. Степные экосистемы наименее чувствительны из-за нейтрализующей способности почв.

Как известно, основная часть лесных экосистем Восточной Европы сформировалась в условиях дефицита азота. Это подтверждается величинами минимальных критических нагрузок (ClminN) включающими в себя поглощение азота растениями и иммобилизацию в состав почвенного органического вещества. Величины CLminN <200 экв/га/год характерны для примерно 60% восточноевропейских экосистем и только 6% могут считаться устойчивыми к поступлению атмотехногенного азота. Наиболее чувствительные экосистемы представлены в различных зонах в соответствии с распределением почв и растительности (рис. 6). Однако в таежно-лесной зоне величины CLminN изменяются в основном от <200 до 200-500 экв/га/год. Некоторые степные экосистемы в юго-восточной части рассматриваемой территории также очень чувствительны к выпадениям азота (уменьшение биоразнообразия) в связи с их эволюцией в условиях исходного природного дефицита азота в сухостепных и полупустынных экосистемах.

Максимально допустимое выпадение азота (ClmaxN) в почти гипотетическом случае полного отсутствия выпадений серы складывается из подкисляющего действия азота, эквивалентного подкисляющему действию серы, и минимальных критических нагрузок азота (ClmaxS+ClminN=ClmaxN) . Около 60% рассматриваемых наземных экосистем в Восточной Европе устойчивы при использовании этого показателя, CLmaxN > 1000 экв/га/год. Эти территории находятся преимущественно в поясе лесных и степных экосистем (рис. 7 ). Не стоит, однако, забывать об условно-теоретическом значении этого показателя, поскольку на территории Восточной Европы выпадения серы встречаются повсеместно.

Как было отмечено, воздействия атмотехногенного азота связаны как с подкисляющим, так и эвтрофирующим влиянием на экосистемы. Эвтрофирование, избыточное накопление азота в экосистеме ведет к изменениям биоразнообразия, которое установилось в природных экосистемах. Для предотвращения эвтрофирования рассчитываются величины критических нагрузок питательного азота. Поскольку большинство рассматриваемых природных экосистем сформированы в условиях дефицита азота, величины CLnutrN < 500 экв/га/год характерны для 75% общей территории. Как и в случае с C L minN , их географическое распределение зависит от почвенно-растительных комбинаций (рис.8 ).

Ориентировочные величины критических нагрузок,

минимальные критические нагрузки азота:

CLmin(N)=(N i *+N u *);

критические нагрузки питательного азота:

CLnut(N)= CLmin(N)+N 1 +N de *;

максимальные критические нагрузки азота:

CLmax(S)=Ct ´ (BC w -ANC l )=(BC d -BC u );

максимальные критические нагрузки серы:

CLmax(N)= CLmax(S)+ CLmin(N)

могут быть использованы для контроля при соответствующих расчетах для экосистем городов, расположенных в соответствующих природных зонах.

Рис. 5. Критические нагрузки серы для наземных экосистем Восточной Европы, экв/га/год

Рис. 6. Минимальные критические нагрузки азота для наземных экосистем Восточной Европы, экв/га/год

Рис. 7. Максимальные критические нагрузки азота для наземных экосистем Восточной Европы, экв/га/год

Рис. 8. Критические нагрузки питательного азота для   наземных экосистем Восточной Европы, экв/га/год

3. КРИТИЧЕСКИЕ НАГРУЗКИ ТЯЖЕЛЫХ МЕТАЛЛОВ НАЗЕМНЫХ И ВОДНЫХ ЭКОСИСТЕМ

Известно, что тяжелые металлы, особенно, такие как свинец, ртуть или кадмий, являются преобладающими поллютантами во многих городских экосистемах. Для уменьшения их воздействия на окружающую среду с учетом биогеохимических свойств экосистем необходимо применение методологии критических нагрузок, аналогично той, что была представлена для соединений серы и азота. Соответственно, в этом разделе предлагается рассмотреть модели расчета критических нагрузок тяжелых металлов на наземные и водные городские экосистемы, а также варианты использования полученных результатов в качестве биогеохимических стандартов для трофических цепей. Основное внимание будет уделено методам расчета критических нагрузок таких металлов как свинец и кадмий.

По сравнению с критическими нагрузками кислотности критические нагрузки тяжелых металлов рассчитываются для каждого отдельного элемента. Соответственно, критическая нагрузка представляет собой такое поступление тяжелого металла, которое не вызывает увеличения его концентрации в различных компонентах городской окружающей среды (почве, почвенных растворах, грунтовых и поверхностных водах, микроорганизмах, растениях, животных и человеке) выше установленных критических уровней, таким образом предотвращая значительное вредное воздействие на наиболее чувствительные элементы биогеохимической пищевой цепи.

3.1. Расчет критических нагрузок тяжелых металлов

При расчетах критических нагрузок основное внимание должно быть уделено выбору рецептора, установлению критических концентраций, методам расчета (моделям), наличию исходных данных и оценке источников неопределенности.

Следующая схема характеризует этапы расчета критических нагрузок, как для наземных, так и для пресноводных экосистем (схема 2 ).

3.1.1. Выбор рецептора

В общем виде рецептор представляет собой рассматриваемую городскую экосистему, актуально или потенциально загрязняемую тяжелыми металлами.

Выбор рецептора является первым шагом при расчете критических нагрузок ( схема 2 ). При этом важно определить защищаемый компонент экосистемы. В наземных экосистемах основное внимание уделяется воздействию

тяжелых металлов на человека, подверженному токсикологическому и экотоксикологическому рискам. Оценивая возможность экотоксикологического риска через поступление чрезмерного количества тяжелых металлов в наземные экосистемы, необходимо рассмотреть следующие компоненты:

1. Почвенные микробы. Воздействие на почвенные микроорганизмы связано с уменьшением их биомассы и биоразнообразия, что, в свою очередь, может сопровождаться снижением активности процессов микробного синтеза в почве, замедлением скорости разложения опада и минерализации азота и углерода, а также уменьшением выделения из почвы углекислого газа.

2. Почвенная фауна. Воздействие связано с изменениями биоразнообразия, продуктивности и биомассы.

3. Высшие растения. Воздействие связано с токсичностью тяжелых металлов и проявляется в виде снижения роста корней и побегов, увеличения содержания крахмала и общих Сахаров и снижения концентрации питательных веществ в листовых тканях, где также наблюдается снижение биохимической активности в целом.

4. Наземная фауна. При аккумуляции тяжелых металлов в организме возможно нарушение физиологических, биохимических реакций и процессов метаболизма. Биоаккумуляция Cd, Hg и Си в пищевых цепях является наиболее опасной.

Выбор рецептора

¯ 

Определение критических концентраций

¯ 

Выбор модели расчета

¯ 

Сбор данных

¯ 

Расчет критических нагрузок

¯ 

Сравнение с прогнозируемыми данными

Схема 2. Элементы расчета критических нагрузок тяжелых металлов на экосистемы

Упрощенная схема различных звеньев биогеохимической пищевой цепи для тяжелых металлов в наземных экосистемах показана на рисунке 9.

Рис. 9. Упрощенная схема биогеохимической пищевой цепи в наземных экосистемах

Критические нагрузки тяжелых металлов могут рассчитываться как для условно-природных, так и для трансформированных городских экосистем. В случае поступления в экосистемы тяжелых металлов с минеральными или органическими удобрениями происходит загрязнение, сравнимое с атмотехногенным. Кстати, последнее является основным источником загрязнения в урбоэкосистемах (табл. 3).

Таблица 3

Возможные рецепторы в трех основных видах городских наземных экосистемах

Рецептор

Экосистемы

Условно-природные

Парковые

Газоны

Почвенные микробы

+

+

+

Растения

Фитотоксичность

+

+

+

Качество с/х продукции

-

-

+

Наземная фауна

+

+

+

Домашние животные

+

+

+

Грунтовые воды

+

+

+

Во всех типах экосистем воздействие на почвенную биоту, растения (фитотоксичность) и грунтовые воды является наиболее значимым. Почвенные микробы и почвенная фауна рассматриваются как самые чувствительные

к поступлению тяжелых металлов, хотя уровень воздействия зависит от конкретного металла.

При рассмотрении водных экосистем рецепторы соотносятся с донными организмами, водной фауной (птицы и млекопитающие) и человеком, употребляющим в пищу рыбу с высоким содержанием тяжелых металлов (рис. 10).

Сами водные системы как рецепторы в пределах города обычно подразделяются на реки, озера или пруды. В качестве основного рецептора при расчетах критических нагрузок рассматривается водосбор озера или пруда. Это связано с тем, что модели для рассмотрения водосборов являются относительно простыми и основаны на предположении, что водоем (озеро) в черте города гомогенно перемешан.

Рис. 10. Упрощенная схема биогеохимической пищевой цепи в водных экосистемах

3.1.2. Определение критических концентраций

Оценка критических концентраций для выбранного рецептора является вторым шагом при расчетах критических нагрузок тяжелых металлов ( схема 2 ). Поскольку критические нагрузки соотносятся с концентрацией отдельных металлов в различных звеньях биогеохимических пищевых цепей, то правильное определение критических концентраций является наиболее важным шагом при расчетах. Критические концентрации зависят от типа рассматриваемого воздействия металла и приемлемого уровня воздействия (риска).

Величины критических концентраций, основанные на комплексных экосистемных подходах, разрабатываются в различных странах для различных компонентов экосистем ( Radojevic and Bashkin , 1999). Эти величины могут быть использованы для оценки экологического качества определенного участка или всей территории с целью установления приоритетов, например, для проведения ремедиации или снижения выбросов. Большая часть этих величин устанавливается в виде критериев для охраны водоисточников, защиты растительных и животных популяций, сохранения надлежащего качества пищи и, в конечном итоге, для защиты здоровья человека.

Для практически всех рецепторов (рис. 9 и 10) критические концентрации устанавливаются в зависимости от оцениваемых экотоксикологических рисков, таких как:

1. Почва. Соотношение прямых и косвенных воздействий на почвенные микроорганизмы и животных, растения, наземную фауну и человека. Типичные величины измеряются в мг/кг;

2. Грунтовые воды. Соотношение прямых и косвенных воздействий на здоровье животных и человека, если эти воды используются в качестве питьевых (( m g /л);

3. Поверхностные воды. Критические концентрации или предельно допустимые концентрации (ПДК) соотносятся с прямым воздействием наводные организмы или на здоровье человека и животных при использовании этих вод в качестве питьевых ((m g /л);

4. Млекопитающие - птицы - рыбы. Величины ПДК в целевом органе соотносятся с токсическими воздействиями или устанавливаются критические концентрации для продуктов, потребляемых в отдельных звеньях биогеохимических пищевых цепей (мг/кг);

5. Растения - животные. Критические концентрации в растениях и животных соотносятся с прямыми или косвенными воздействиями на здоровье человека при прохождении через трофические цепи (мг/кг);

6. Человек. Эти величины соотносятся с допустимым дневным потреблением и выражаются в (m g /кг веса тела в день.

Рассмотрим примеры критических концентраций, установленных для различных целей в Европе и Северной Америке. Эти примеры включают в себя многофункциональное использование почв, вод и земель, а также биоконцентрирование в пищевых цепях.

3.1.2.1. Многофункциональное использование почв

Во многих странах критические концентрации для почв устанавливаются с учетом их многофункционального использования (табл. 4).

Таблица 4.

Критические концентрации тяжелых металлов при многофункциональном использовании городских почв

Страна

Критические концентрации элементов, мг/кг

Pb

Cd

Hg

Си

Zn

Ni

Cr

Дания

40

0.3

0.1

30

100

10

50

Швеция

30

-

0.2

-

-

-

-

Финляндия

38

0.3

0.2

32

90

40

80

Голландия

85

0.8

0.3

36

140

35

100

Германия

40

0.4

0.1

20

60

15

30

Швейцария

50

0.9

0.8

50

200

50

75

Чехия

70

0.4

0.4

70

150

60

130

Россия

32

2

2.1

55

100

85

90

Ирландия

50

1

1

50

150

30

100

Канада

25

0.5

0.1

30

50

20

20

Концентрации, показанные в таблице 4, значительно варьируются: 25-85 для Pb , 0.3-2 для Cd , 0.1-2.1 для Hg , 30-70 для Си, 50-200 для Zn , 10-85 для Ni и 20-130 для С r . Несмотря на сходные экотоксикологические подходы, используемые для установления критических концентраций в различных странах. Это отражает различные использования почв и различные критерии для установки ПДК. В России также необходимо введение дифференцированных величин ПДК.

3.1.2.2. Многофункциональное использование вод

Гигиенические стандарты для содержания растворенных форм тяжелых металлов в поверхностных водах даны в таблице 5. Наблюдается большой разброс значений, особенно для цинка и никеля.

3.1.2.3. Многофункциональное использование земель

В ряде стран критические концентрации тяжелых металлов устанавливаются в зависимости от вида использования земель. Для Германии, характерно резкое возрастание величин критических концентраций при переходе от многофункционального использования земель к промышленному (таб. 6).

Таблица 5.

Критические концентрации тяжелых металлов при многофункциональном использовании поверхностных вод

Страна

Критические концентрации элементов, мг/кг

Р b

Cd

Hg

Си

Zn

Ni

Cr

Швеция

1.2

0.09

-

2.1

9

9

1

Дания

3.2

5

-

12

110

160

10

Норвегия

0.6

0.05

-

1.1

4.5

1.5

0.45

Англия

10

-

-

5

10

5

5

Голландия

11

0.34

0.23

1.1

6.6

1.8

8.5

Германия

5

1

0.1

-

-

-

-

Чехия

50

5

1

100

50

150

50

Россия

1.0

5

0.01

1

10

10

1

Канада

1.0

0.2

0.1

2

30

25

2

США

3.2

1.1

0.01

1.2

ПО

160

11

ВОЗ

10

3

1

-

-

20

50

Таблица 6 .

Критические концентрации тяжелых металлов в почвах Германии, при различном использовании земель

Использование земель

Критически e концентрации элементов , ppm

Р b

Cd

Hg

Си

Zn

Ni

С r

Детские площадки

200

2

0.5

50

300

40

50

Дворовые сады

300

2

2

50

300

80

100

С/х земли

500

2

10

50

300

100

200

Рекреационные зоны

500

4

5

200

1000

100

150

Промышленные зоны

1000

10

10

300

1000

200

200

3.1.2.4. Методы для установления эффект-ориентированных критических концентраций

В данном разделе предлагается рассмотреть методы определения критических концентраций для почв, основанные на оценке прямых экотоксикологических воздействий на растения и микроорганизмы, а также оценить и косвенные воздействия (модели биогеохимических пищевых цепей) для определения критических концентраций тяжелых металлов в почве, основанные на тех критических концентрациях, которые уже установлены для наземной фауны (величины ПДК для целевых организмов).

3.1.2.4.1. Прямое воздействие на почвенные организмы и растения

Как правило, величины ПДК для почв различных поллютантов, включая тяжелые металлы, устанавливаются с использованием методов экстраполяции. В связи с этим необходимо различать данные по острой токсичности, полученные в краткосрочных экотоксикологических экспериментах (менее 1 дня) и данные по хронической токсичности, основанные на долговременных экотоксикологических экспериментах (1 день - 1 месяц). Острая токсичность определяется как величина ЛД 50 , равная концентрации поллютанта в почве, при которой погибает 50% рассматриваемой популяции (ЛД 50 - летальная доза). Хроническая токсичность вызывается такой концентрацией поллютантов, при которой не проявляются видимые эффекты (No Observed Effect Concentration - безэффектная концентрация, NOEC), иногда обозначаемая также как уровень без наблюдаемых эффектов (No Observed Effect Level , NOEL), для нескольких видов экосистемы.

При экспериментальном установлении величин ЛД 50 или получении данных по NOEC используются различные микроорганизмы (или активность вызываемых ими энзиматических процессов, земляные черви), артроподы и растения. Если известны данные по острой или хронической токсичности только для нескольких организмов, то необходимо использовать так называемые фиксированные факторы безопасности, на величину которых делится цифра известных единичных данных. Эти факторы основаны на экстраполяции лабораторных данных для единичных организмов на целую экосистему и на экстраполяции данных по острой токсичности для выявления концентраций, вызывающих хронические эффекты. Величины фиксированных факторов безопасности изменяются от 10 до 1000.

Сходные величины используются и для выведения критических концентраций поверхностных вод.

3.1.2.4.2. Косвенные воздействия на высшие организмы

Для оценки косвенных воздействий на высшие организмы используется понятие биомагнификации - величины, определяемой как увеличение аккумуляции химических соединений при их прохождении по биогеохимическим пищевым цепям. Вследствие эффекта биомагнификации может происходить вторичное отравление млекопитающих и птиц, а на высших трофических уровнях - и человека. Рассмотрение этих косвенных воздействий также полезно для выведения величин критических концентраций с использованием простых моделей пищевых цепей.

Для рассмотрения переноса поллютантов по биогеохимическим пищевым цепям используются как факторы биоаккумуляции (bioaccumulation factors , BAF), так и факторы биоконцентрирования (bioconcentration factors , BCF). Для этих факторов могут быть даны следующие определения (de Vries and Bakker , 1998).

Фактор биоаккумуляции (BAF) определяется как отношение концентрации испытуемого поллютанта в организме или отдельных органах птиц, млекопитающих или рыб к концентрации поллютанта в их пище (например, в лабораторном корме, растениях, беспозвоночных, птицах, млекопитающих) в состоянии равновесия. Величины BAF в основном используются для оценки аккумуляции поллютантов птицами, млекопитающими и рыбами и пересчитываются на единицу веса.

Фактор биоконцентрирования (BCF) определяется как отношение концентрации поллютанта в организме к концентрации этого поллютанта в среде обитания организма (например, почва или вода) в состоянии равновесия.

Пища высших хищников в основном состоит из малых птиц и млекопитающих. Биоаккумуляция поллютантов в биогеохимическом круговороте от почвы к малым птицам включает в себя, по крайней мере, два звена: биоконцентрация поллютанта при его поглощении растениями или беспозвоночными из почвы и биоаккумуляция у птиц и млекопитающих при поедании растений и/или беспозвоночных.

Аналогично происходит перераспределение поллютантов в организмы рыб в водных экосистемах.

Наземные экосистемы. Простейшая модель для наземных экосистем основана на упрощенной пищевой цепи:

почва ®   почвенные беспозвоночные ® млекопитающие/птицы.

Предполагая, что млекопитающие или птицы поедают почвенных беспозвоночных (например, червей), простейшая модель для расчета ПДК, основанная на биогеохимической пищевой цепи, может быть выражена как:

ПДЛ почва = NOEC хищник / BCF жертва,

где ПДЛ почва - предельно допустимая концентрация поллютанта в почве, мг/кг;

NOEC хищник - безэффектная концентрация поллютанта в организме жертвы (беспозвоночного), потребляемой в пищу хищником, скорректированная для рассматриваемого вида (млекопитающего или птицы), мг/кг;

BCF жертва - фактор биоконцентрации, представляющий отношение концентрации в организме беспозвоночного (жертвы) и концентрации в почве, мг/кг.

Водные экосистемы. Простейшая модель для водных экосистем основана на упрощенной пищевой цепи:

Вода ® рыбы или моллюски ® млекопитающие/птицы.

Предполагая, что млекопитающие или птицы поедают рыб или моллюсков, простейшая модель для расчета ПДК, основанная на биогеохимической пищевой цепи, может быть выражена как:

ПДЛ вода =NOEC хищник /BCF жертва,

где ПДЛ вода - предельно допустимая концентрация поллютанта в воде, мг/л;

NOEC хищник - безопасная концентрация поллютанта в организме жертвы (беспозвоночного), потребляемой в пищу хищником, скорректированная для рассматриваемого вида (млекопитающие или птицы), мг/кг;

BCF жертва - фактор биоконцентрации, представляющий отношение концентрации в организме беспозвоночного (жертвы) и концентрации в воде.

Более детальная модель биогеохимической пищевой цепи показана на рисунке 11.

Рис. 11. Схема использования наземной пищевой цепи для моделирования биоаккумуляции. Блоки «растения» и «беспозвоночные» могут быть дополнительно подразделены на составляющие, в зависимости от доступности данных (de Vrics and Bakker , 1998)

Как показано на рисунке 11., имеется четыре основных возможных пищевых цепи от почвы до птиц или хищников (почва ® растение ® птица, почва ® беспозвоночное ® птица, почва ® растение ® млекопитающее и почва ® беспозвоночное ® млекопитающее). Каждая цепь возрастает экспоненциально при раздельном учете различных органов и групп беспозвоночных, особенно тех, кто является пищей для различных малых птиц и млекопитающих. Для растений бывает необходимым учитывать отдельно листья, семена, плоды и корнеплоды. Группы беспозвоночных могут включать в себя земляных червей, гастропод, личинки насекомых, землероев, самих насекомых, изопод и пауков. Дополнительные уточнения могут быть сделаны между листьями и семенами, между червями и насекомыми, таким образом, представляя в общей сложности 16 путей, ведущих от почвы, как к хищникам, так и к их жертвам.

Используя пути биогеохимической миграции, можно оценить величины ПДК для кадмия в почве (табл. 7)

Таблица 7

Величины ПДК для Cd в почве, основанные на 16 различных путях воздействия (Jongbloed et al , 1994)

Пищевая цепь

Критическая концентрация Cd в почве, ррт

Хищники

Жертвы

почва ® лист ® птица

37

2.3

почва ® семя ® птица

7.2

0.44

почва ® червь ® птица

1.5

0.08

почва ® насекомое ® птица

6.4

0.40

почва ® лист ® млекопитающее

48

3.6

почва ® семя ® млекопитающее

9.4

0.68

почва ® червь ® млекопитающее

1.9

0.12

почва ® насекомое ® млекопитающее

8.3

0.61

Результаты показывают, первое, хищники всегда более чувствительны, чем их жертвы, второе, биоаккумуляция минимальна в пищевой цепи: почва ® червь ® птица/млекопитающее. Последняя пищевая цепь представляет наиболее низкую величину критической концентрации для воздействия Cd , что дает малую величину критической концентрации этого металла для почв (около 0.1 мг/кг, сравните с показаниями в табл. 4 ). Если ставить цель защитить наиболее чувствительные виды, то данная величина выглядит наиболее приемлемой.

3.1.3. Выбор модели расчета

Выбор модели расчета или компьютерной модели представляет собой третий шаг схемы по определению критических нагрузок тяжелых металлов ( схема 2 ). Различные модели, используемые для расчета критических нагрузок на наземные и водные экосистемы, основаны на свойствах рецептора и на определенных величинах критических концентраций. Выбор модели расчета обычно основан с учетом следующих факторов:

1. Выбор между равновесной и динамической моделью;

2. Выбор критических концентраций для защищаемого вида;

3.Требуемая сложность или упрощенность модели в отношении региональной применимости модели.

Далее предлагается рассмотреть аспекты выбора модели. Итак, при выборе модели расчета необходимо четко различать равновесные и динамические модели. Например, равновесные модели, позволяющие предсказать концентрации металлов в почвенном растворе или твердой фазе почв, наиболее полезны для расчета критических нагрузок на длительный период времени.

Динамические модели, позволяющие предсказать химизм тяжелых металлов, как в почве, так и почвенном растворе, полезны для определения временного периода, когда предполагается, что критические нагрузки будут превышены. Динамические модели могут также быть применимы и для расчетов целевых нагрузок, которые, в отличие от критических, основаны на рассмотрении определенного периода времени (например, 50 или 100 лет), в течение которого они могут быть использованы для ограничения поступления поллютантов в экосистемы.

Как уже отмечалось ранее, величины критических концентраций зависят от вида, который необходимо защитить. В наземных экосистемах это может быть почвенная фауна, растительность или человек, использующий грунтовые воды в качестве питьевых или потребляющий в пищу культуры, выращенные на данной почве. В водных экосистемах величины критических концентраций связаны с содержанием растворенных в воде поллютантов.

Выбор модели расчета критических нагрузок зависит не только от вопросов «в течение какого времени?» (равновесные или динамические модели) или «кого защищать?» (какие критические концентрации), но и от требуемой детальности расчета. В зависимости от поставленной цели можно выбрать модель с необходимым уровнем детальности в описании биогеохимических процессов, протекающих в наземных и водных экосистемах. При применении детальных механистических моделей в региональном масштабе обычно предоставляется недостаточно данных для рассмотрения всех возможных процессов.

Именно поэтому входные параметры могут быть охарактеризованы лишь приблизительно.

Даже при наличии корректной модели (по крайней мере, на современном уровне знаний) неопределенность выходных данных будет слишком велика, поскольку она определяется большой неопределенностью входных данных. Простые эмпирические модели требуют значительно менее детальных входных данных, но зачастую степень их упрощения слишком велика даже для приблизительного описания биогеохимических процессов. В итоге получаемые результаты могут быть недостоверными. Следовательно, необходимо сделать четкий выбор между желаемой детальностью описания и наличием необходимого количества региональной информации.

Если поставленная для модели цель связана с расчетом критических нагрузок в экосистеме с различными рецепторами, то более правильно использовать относительно простые модели с обобщенным описанием процессов для всей почвы или других компонентов экосистемы. При выборе модели необходимо понимать последствия вводимых упрощений, связанных с игнорированием определенных процессов (комплексация, круговорот металла и др.) или данных (нединамичность, равновесность, гомогенное перемешивание).

Иногда полезно применить модели с различными критическими концентрациями и рецепторами и сравнить полученные результаты. При этом необходимо помнить о сравнимости вводимых параметров и рассматриваемых рецепторов.

В качестве примера рассмотрим применение нединамических уравнений масс-баланса при расчете критических нагрузок тяжелых металлов городских наземных и водных экосистем.

3.1.3.1. Наземные экосистемы

В качестве оцениваемого параметра в наземных экосистемах предлагается выбрать почву (рис. 12).

Используя отмеченные ранее допущения, полное уравнение масс-баланса определенного металла (М) в почвенном слое будет следующим:

fM tl =fM fu -fM l f +fM ru -fM we +fM le ,

где все слагаемые соответствуют биогеохимическим потокам металла М (г/га/год или мг/м 2 /год): fM tl - общее поступление с выпадениями и за счет других, источников (например, удобрения или отходы); fM fu - поглощение или удержание листьями; fM lf - опад; fM ru - поглощение корнями; fM we - выветривание; fM le - вымывание.

В предложенном уравнении не учитываются различные состояния окисленности металла, и оценивается только общее содержание металла в почве. Это предположение логично в отношении таких металлов, как Pb , Cd , Cu , Zn и Ni (поскольку они в основном присутствуют в виде двухвалентных катионов), однако, оно не дает корректных результатов при расчетах критических нагрузок для Cr и Hg .

Рис. 12. Схематическое представление масс-баланса тяжелых металлов в городских наземных экосистемах

В отношении Cr необходимо различать его трехвалентную форму - Cr ( III ), наиболее распространенную в почвенных условиях и относительно малоподвижную, и токсичную шестивалентную - Cr ( VI ), которая мобильна в почве. В отношении Hg ситуация еще более сложная в связи с присутствием двухвалентной ртути ( Hg 2+ ), одновалентной ртути ( Hg 2 + ), элементной ртути ( Hg 0 ) и органических соединений ртути, таких как метилртуть (СН 3 )2Н g . Более того, распространены процессы испарения, как элементной ртути, так и ее органических соединений. Описание этих процессов в сочетании с другими, вовлекающими ртуть (восстановление, адсорбция и комплексообразование), делают расчет критических нагрузок для этого металла чрезвычайно сложным. Поэтому рассчитываемые величины критических нагрузок для ртути обычно бывают весьма приблизительными. Это также верно, хотя и в меньшей степени, для хрома.

В почвах наземных экосистем необходимо рассматривать поглощение металла листьями и внутрисистемный круговорот металла, поскольку гумусовый горизонт почв играет важную роль биогеохимического барьера, что серьезно ограничивает миграционную способность металлов в городских экосистемах. Следовательно, расчет критических нагрузок для большинства

металлов можно производить лишь для гумусового горизонта. Логично также предположить, что система находится в равновесии, и минерализация (Mmi) уравновешивается опадом ( M lf ).

В почвах городских агроэкосистем (если таковые имеются) поглощение листьями и корнями, а также минерализация могут быть суммированы в виде убираемого урожая (обозначаемого как поглощение урожаем - M gu ), критическая нагрузка рассчитывается на глубину пахотного слоя, т.е. верхних 25 см.

В этом случае корневое поглощение может быть рассчитано как функция поглощения урожаем, а опад и поглощение листьями проигнорированы.

Следовательно, масс-баланс тяжелых металлов для почвы агроэкосистемы может быть рассчитан на основании следующего уравнения:

FM tl = fM gu -fM we +fM le ,

где fM gu - поглощение тяжелого металла (М) урожаем.

Критическое вымывание металла зависит от критической концентрации его растворенной формы, которая может быть определена, например, как критическая концентрация металла в почвенном растворе (см. выше).

3.1.3.2. Водные экосистемы

Использование метода нединамического масс-баланса для расчета критических нагрузок тяжелых металлов для водных экосистем схематически показано на рисунке 15. Предложенная схема упрощенного масс-баланса тяжелых металлов на водосборе, включает как почвенный блок на водосборной территории, так и водную экосистему с блоками воды и донных отложений.

Рис. 13. Схематическое представление масс-баланса тяжелых металлов на водосборных территориях

Полное уравнение нединамического масс-баланса тяжелого металла на водосборе может быть записано следующим образом:

где все слагаемые отражают биогеохимические потоки тяжелого металла М (г/га/год или мг/м /год) и площадь (га или м 2 ): fM tl - общее поступление с выпадениями и другие источники (например, удобрения или отходы); fM up - чистое поглощение металла биомассой на водосборе и в озере; fM we - выветривание металла на водосборе; fM lo - вынос металла с латеральным стоком воды; fM sed - удаление металла из воды за счет седиментации; fM res - переход металла из донных отложений в воду за счет ресуспен-зирования; f М ex - переход металла из донных отложений в воду и обратно за счет обменных процессов на границе вода - донные отложения; А c - площадь поверхности водосбора; A t , - площадь поверхности озера (или другого водоема) в низшей точке водосборной территории.

Аналогично наземным экосистемам в данном уравнении не делается различий между степенями окисленности металла. Это упрощение существенно ограничивает применимость этого уравнения для расчета критических нагрузок ртути.

Чистое поглощение тяжелого металла происходит вследствие удаления металла с биомассой культур или вывоза древесины на водосборной территории и/или при удалении водной растительности и вылове рыбы в озере. Выветривание приводит к высвобождению металлов в почвах водосбора.

Седиментация происходит в результате осаждения суспензированных частиц в озере, что сопровождается переходом металла из водной толщи в донные отложения. Ресуспензирование донных частиц происходит в результате турбулентности на границе вода - донные отложения, что приводит к обратному переходу металла в воду. Обменные процессы на поверхности раздела воды и донных отложений включают в себя адвекцию или инфильтрацию, молекулярную диффузию и биотурбацию. Биотурбация в данном случае обозначает миграцию тяжелых металлов в донных отложениях по ходам, проделанным донными организмами. Для перенесения этих процессов на водосбор, сумма скоростей процессов седиментации и ресуспензирования перемножается на отношение площади озера к площади водосбора.

3.1.4. Сбор данных

Сбор данных представляет собой четвертый шаг расчета критических нагрузок тяжелых металлов. На этом этапе проводятся сбор и оценка гидрологических, растительных и почвенных данных, обуславливающих биогеохимические потоки тяжелых металлов в рассматриваемых экосистемах. Для перевода этих данных в растровый (площадной) формат широко применяются ГИС-технологии.

Исходные данные для наиболее детальной почвенной модели включают параметры, описывающие такие процессы, как атмосферные выпадения, осадки, эвапотранспирация, опад, поглощение листьями растений, выветривание, адсорбция и комплексообразование для Pb , Cd , Cu , Zn , Ni , Cr и Hg . Они зависят от пространственного расположения рецептора, его площади и типа использования земель, как показано в таблице 8.

Таблица 8

Влияние различных факторов на сбор входных параметров (+ «влияют»; - «не влияют»)

Входные данные

Локализация

Использование земель

Тип почвы

Осадки

+

 

-

Выпадения

+

+

-

Эвапотранспирация

+

+

+

Опад

+

+

+

Поглощение листьями

+

+

 

Поглощение корнями

+

+

+

Выветривание

-

-

+

Адсорбция

-

-

+

Комплексообразование

-

-

+

Рассматриваемыми рецепторами являются почвы различных городских экосистем. Для условно-природных лесных и парковых экосистем необходимо делать различие между хвойными и лиственными насаждениями. При наличии детальной информации о пространственном распределении лесных насаждений возможна оценка удержания выпадающих тяжелых металлов в кронах различных деревьев. На уровне региона почвенные типы могут быть оценены с помощью почвенных карт (см. выше), данные по климату и типам экосистем могут быть получены из городских и федеральных баз данных (например, Москомгидромета).

Для того чтобы получить необходимые данные для всех рассматриваемых экосистем, можно использовать описанный выше подход, который включает получение максимально возможных данных для клк5чевых участков и их экстраполяцию на сходные экосистемы с использование экспертно-моделирующих геоинформационных систем (ЭМ ГИС). Методы сбора данных показаны в таблице 9.

Таблица 9

Методы сбора данных для расчета критических нагрузок тяжелых металлов

Входные данные

Метод сбора

Выпадения

Оценка для единицы площади на основании матриц по эмиссиям/выпадениям, с возможным учетом поглощения кронами растений

Осадки

Оценка на единицу площади на основании метеоданных

Поглощение кроной растений

Оценка на основании взаимосвязи между количеством осадков и типом использования земель

Транспирация

Расчет на основании климатических данных, типов использования земель и почв

Опад/листовое поглощение

Оценка на основании взаимосвязи между величиной выпадений и типом использования земель

Корневое поглощение

Оценка на основании взаимосвязи между величиной выпадений и типом использования земель

Адсорбция

Оценка на основании взаимосвязи между почвенными характеристиками (рН, содержание органической массы, глины и ёмкость катионного обмена)

Комплексообразование

Данные из научной литературы, взаимосвязь с величиной рН

3.2. Примеры расчета критических нагрузок тяжелых металлов для городских экосистем

В данном разделе на примерах показано применение описанных выше методов для городских экосистем Германии и России.

Как уже говорилось, при превышении критических нагрузок избыточное накопление тяжелых металлов может вызвать отравления у живых организмов. На современном уровне поступления тяжелых металлов (атмотехногенные выпадения, удобрения, отходы) возможно долговременное накопление тяжелых металлов в почвах, особенно в гумусовых горизонтах, и в донных отложениях рек и озер. Расчеты, выполненные с использованием современных моделей, показывают наличие трансграничного переноса многих тяжелых металлов на региональном и континентальном уровнях. В дополнение к атмотехногенному поступлению в городские экосистемы попадают тяжелые металлы при внесении фосфорных и органических удобрений. В условиях подкисления наземных и водных экосистем наблюдаются ускорение миграции многих тяжелых металлов и их включение в биогеохимические пищевые цепи   (Башкин и др., 2002). В ряде стран Европы, включая Германию и Россию, накопление тяжелых металлов во многих экосистемах практически неизбежно. Следовательно, необходимо рассматривать меры предотвращения избыточного накопления, основываясь на методах расчета критических нагрузок тяжелых металлов. Использованный подход сходен с вышеописанным методом расчета критических нагрузок для почв.

3.2.1. Расчет критических нагрузок тяжелых металлов на примере Германии

3.2.1.1. Критические концентрации

В соответствии с рассмотренными ранее подходами микроорганизмы, сельскохозяйственная растительная продукция и грунтовые воды, используемые в качестве питьевых, являются наиболее подходящими рецепторами. Вследствие миграции по пищевым цепям тяжелые металлы, особенно Cd и Hg , воздействуют также на человека. Было оценено, что наиболее чувствительным звеном биогеохимической пищевой цепи является почвенный раствор, для которого и была выбрана критическая концентрация.

Соблюдение экологических стандартов, основанных на общем содержании тяжелого металла в почвенном растворе, может предохранить и другие звенья трофической цепи. В предложенном примере не были учтены дополнительные воздействия, связанные со спецификацией и комплексообразованием.

Для оценки неопределенности при установлении критических концентраций тяжелых металлов в почвенном растворе был использован метод Монте-Карло ( Bashkin and Gregor , 1999).

3.2.1.2 Модели

В этом примере расчетов критических нагрузок тяжелых металлов была использована нединамическая модель масс-баланса:

SM v + SM Dep + SM D + SM Abf = SM E + SM Aw + SM Er + SM G + D SM Vorr ,

где SM y - высвобождение при выветривании; SM Dep - поступление с атмотехногенными выпадениями; SM D - поступления с минеральными удобрениями; SM Abf - поступление при использовании осадков сточных вод; SM E - удаление- с биомассой; SM Aw - вымывание; SM Er - удаление с эрозией; SM G - улетучивание; D SM Vorr - изменения запаса тяжелых металлов в почве.

Представленное уравнение масс-баланса рассматривает возможные потоки металлов по звеньям биогеохимической пищевой цепи. Некоторые потоки, конечно, могут игнорироваться (например, улетучивание Pb , Cd , Си и Zn ). Однако этот процесс весьма важен для ртути. Удаление тяжелых металлов при почвенной эрозии также может быть незначительным. После удаления указанных процессов упрощенное уравнение является работоспособным.

Итак, критические нагрузки для тяжелого металла могут быть рассчитаны с использованием следующего уравнения:

CL SM = SM E +SM Aw - SM V + D SM Vorr .

Предложенное уравнение включает в себя процесс выветривания, удаление с биомассой выращиваемых культур или вывоз древесины из леса, вымывание, поглощение листвой и опад. С использованием упрощенных динамических подходов было учтено и распределение между адсорбированными и растворенными формами металлов в почвах.

Неопределенность входных параметров модели была учтена с использованием статистических функций распределения и применением метода Монте-Карло.

Информация для расчета критических нагрузок для экосистем Германии приведена на рисунке 14, который также показывает и схематический алгоритм расчета величин критических нагрузок.

Использование этой базы данных позволило рассчитать величины критических нагрузок свинца и кадмия для различных экосистем страны.

3.2.2.1. Метод расчета величин критических нагрузок тяжелых металлов на лесные экосистемы

Расчеты критических нагрузок РЬ и Cd были выполнены для наземных экосистем Европейской части России, включая городские экосистемы. В соответствии с доступной информацией было использовано упрощенное уравнение масс-баланса:

M tl = М ир + M leach

где M tl — общее поступление металла; М ир — накопление металла в ежегодном приросте древесной растительности; M leach — вымывание металла с поверхностным стоком.

Накопление тяжелых металлов в древесной биомассе (чистое поглощение) было рассчитано как:

М ир = G an ´ C backM ,

где G an — годовая продукция древесной биомассы; C back M — максимально допустимая (критическая) концентрация металла в древесине.

Рис.14. Сбор данных исходной информации расчета величин критических нагрузок тяжелых металлов (на примере Германии)

Данные по годовому приросту древесной биомассы для основных типов лесных экосистем были взяты из литературы (Базилевич, 1993). Критические величины содержания свинца в древесине были приняты равными 5 мг/кг в соответствии с российскими стандартами. Для установления величины критической концентрации кадмия в биомассе были использованы фоновые величины содержания этого элемента, равные 0.25 мг/кг - для хвойных, 0.5 мг/кг - для мелколиственных и 0.6 мг/кг - для широколиственных пород. На территориях с отсутствием лесов, например, в тундре и степи, аккумуляция тяжелых металлов в древесине при расчетах критических нагрузок не учитывалась. Это основывалось на предположении, что закрепление в биомассе нелесных видов данных экосистем является только временным с последующей минерализацией отмершей биомассы и включением в биогеохимический цикл.

Оценивая вымывание металлов из экосистем, критические концентрации были введены для охраны грунтовых и поверхностных вод, используемых в качестве питьевых. Величины критических концентраций в этом случае равны установленным в России стандартам для максимально допустимого содержания этих поллютантов в питьевых водах. Следовательно, вымывание металлов из экосистем рассчитывается следующим образом:

М leach = Q runoff ´ C walerMPL ,

где Q runoff - годовой сток; C waler MPL - максимально допустимая концентрация металла в воде.

Данные о годовом стоке берутся из имеющихся гидрогеологических баз данных. Величины ПДК в питьевых водах равны 0.03 мг/л для свинца и 0.005 мг/л для кадмия (Перечень рыбохозяйственных нормативов..., 1999).

3.2.2.2. Расчет и картографирование критических нагрузок РЬ и Cd

В соответствии с предложенным алгоритмом были рассмотрены только два биогеохимических потока металлов (аккумуляция в древесине и вымывание) из тех, что имеют место в экосистемах. Оба потока удаляют тяжелые металлы из почвенного раствора.

Критические нагрузки свинца и кадмия на экосистемы Европейской части России показаны на рисунках 15 и 16. Величины критических нагрузок свинца изменялись в пределах от < 50 г/га/год до > 250 г/га/год, а кадмия - от < 5 до > 25 г/га/год.

Рис. 15. Критические нагрузки свинца на экосистемы Европейской части России

Рис. 16. Критические нагрузки кадмия на экосистемы Европейской части России

Для большинства клеток сети ЕМЕР (для которых были интегрированы данные по отдельным экосистемам) величины вымывания металлов, рассчитанные в соответствии в предложенным выше уравнением, являются более высокими, чем соответствующие величины аккумуляции металлов в древесной биомассе ( Bashkin and Gregor , 1999). Эта ситуация особенно наглядно проявляется в северных и центральных регионах Европейской части России, где осадки преобладают над испарением, обуславливая высокие величины общего стока. Кроме того, почвенно-геохимические условия способствуют усилению миграции тяжелых металлов (Башкин и др., 1992; Перельман, Касимов, 1999). Основываясь на теоретических подходах, можно ожидать самоочищения почв от тяжелых металлов вследствие их вымывания из почвенного профиля. Однако необходимо учитывать и адсорбцию металлов в гумусовом слое и в минеральных горизонтах (Глазовская, 1997). Сходные геохимические условия наблюдаются в большинстве ландшафтов Белоруссии и Украины.

Миграция металлов в почвенном профиле существенно ниже в экосистемах южных регионов России с распространением серых лесных почв, черноземов и каштаноземов, что связано как с меньшим общим стоком, так и большей адсорбцией свинца и кадмия в почвенном поглощающем комплексе. В то же время, годовой прирост биомассы в этих экосистемах выше (Базилевич, 1993). Соответственно, это сопровождается выравниванием величин рассматриваемых биогеохимических потоков свинца и кадмия. Однако удаление металлов с эрозионным стоком из элювиальных ландшафтов сопровождается их накоплением в аккумулятивных ландшафтах, что также должно учитываться при расчетах величин критических нагрузок для различных экосистем.

ЗАКЛЮЧЕНИЕ

Рассмотренные методологические подходы позволяют использовать современные научные знания для установления комплексных экологически обоснованных критериев состояния городских экосистем. Эти международные подходы могут быть использованы для разработки методических рекомендаций по установлению методов расчета критических нагрузок поллютантов на наземные и водные городские экосистемы по показателям их биогеохимической структуры. Такие подходы связаны с применением биогеохимических стандартов, основанных на методологии критических нагрузок, и направлены на эффект-ориентированное сокращение поступления поллютантов в урбоэкосистемы.

СЛОВАРЬ ТЕРМИНОВ

Агломерация - процесс фактического слияния многих городов и населенных пунктов в единое городское население.

Агрохимикаты - удобрения, пестициды, химические мелиоранты, кормовые добавки, предназначенные для выращивания растений и охраны их от вредителей.

Адаптация - совокупность морфофизиологических, популяционных и др. свойств живых организмов, обеспечивающих возможность устойчивого выживания в конкретных условиях среды.

Алюминий - металл, широко распространенный в земной коре (кларк - 8,05%). ПДК свободного иона А1 3+ в воде - 0,04 мг/л, в почвенном растворе - 1,8 мг/л (0,2 экв/м 3 ).

Аммиак ( NH 3 ) - простейшее химическое соединение с резким запахом, образуется в результате процесса аммонификации.

Аммонификация - процесс разложения микроорганизмами азотсодержащих органических веществ (белков, нуклеиновых кислот и др.) с выделением аммиака.

Атмосферные выпадения (жидкие) - вода и растворенные в ней химические соединения в капельно-жидком (дождь, морось) и твердом (снег, крупа, град) состоянии, выпадающие на поверхность Земли.

Атмосферные выпадения (твердые) - осаждение взвешенных твердых частиц (пыль, пыльца растений, аэрозоли и др.) на поверхность Земли.

Балансовые методы - совокупность методов, позволяющих исследовать и прогнозировать развитие природных процессов путем сопоставления прихода и расхода вещества, энергии и др. потоков в пределах определенной системы.

Бассейн водосборный или водосбор - территория, с которой в реку или озеро стекают поверхностные и подземные воды.

Биогеохимические аномалии - массовые нарушения развития, роста и функционирования живых организмов, включая человека, наблюдаемые на определенной территории вследствие природных причин или техногенного загрязнения.

Биогеохимический круговорот - циклический процесс перемещения и трансформации химических элементов в пределах биосферы в биогеохимических пищевых цепях живых организмов.

Биологическая продуктивность (биопродуктивность) - способность экосистемы на основе использования вещества и энергии к воспроизводству органического вещества.

Биомагнификация - концентрирование вещества в экосистеме или пищевой цепи, возрастающее на высших (по сравнению с низшими) трофических уровнях.

Биофилы - химические элементы, жизненно необходимые организмам, которые накапливаются в них в гораздо больших количествах, чем в окружающей среде.

Буферностъ экосистемы и слагающих её компонентов (почвы, воды, воздух) - способность сохранять свои основные характеристики при внешних воздействиях.

Выветривание химическое - процесс химического изменения горных пород и почвенных минералов под воздействием атмосферных агентов, фунтовых и поверхностных вод, жизнедеятельности организмов и продуктов их разложения.

Геоинформационная система (ГИС) - сложная информационная система для послойного представления различной пространственно-ориентированной информации.

Гиббсит - минерал подкласса гидроксидов АЦОН)з.

Деградация экосистемы - устойчивое ухудшение свойств экосистемы в результате воздействия природных и антропогенных факторов.

Денитрификация - процесс восстановления микроорганизмами нитритов и нитратов до газообразных соединений азота.

Емкость катионного (анионного) обмена почвы - максимальное количество катионов (анионов), которое может быть удержано почвой в обменном состоянии (ГОСТ 27593-88).

Жесткость воды - свойство воды, обусловленное присутствием в ней солей кальция и магния.

Загрязнение окружающей среды - процесс обратимого и/или необратимого изменения биогеохимических циклов различных элементов в слагающих окружающую среду экосистемах.

Загрязняющее вещество (поллютант) - вещество, способное причинить вред здоровью людей или окружающей среде.

Кислотность (природных вод, почвы) - способность водных растворов, почв проявлять свойства кислот, определяющиеся концентрацией (активностью) ионов водорода в водном растворе или водной фазе почв; характеризуется величиной водородного показателя, или рН (отрицательный логарифм активности ионов водорода).

Кислые (кислотные) осадки - атмосферные осадки в виде дождя или снега, подкисленные (величина рН < 5,6) из-за растворения в них кислотообразующих промышленных или транспортных выбросов ( SO 2 , NO X , HC 1 и др.); вызывают подкисление почв и вод и приводят к повреждению и гибели лесов, водных организмов, снижению биопродуктивности, заболеваниям людей и животных.

Кларк химического элемента - числовая оценка среднего содержания химического элемента в литосфере, различных породах, почве, гидросфере, атмосфере на Земле в целом или отдельных территориях.

Коэффициент биологического поглощения - отношение содержания элемента в живых организмах к его содержанию в окружающей среде (кларку).

Коэффициент биогеохимического круговорота - отношение содержания элемента в растительном опаде к его содержанию в верхнем (2-5 см) слое почвы.

Критическая нагрузка - максимальное поступление поллютантов (сера, азот, тяжелые металлы, стойкие органические соединения и др.), которое не сопровождается необратимыми изменениями в биогеохимической структуре, биоразнообразии и продуктивности экосистем в течение длительного времени, т. е. 50-100 лет.

Ксенобиотики - любые чуждые для организма вещества (пестициды, токсины, др. поллютанты), способные вызвать нарушение биологических процессов.

Ландшафт - генетически однородный природный территориальный комплекс, состоящий из взаимодействующих природных и/или антропогенных компонентов.

Нитрификация - микробное превращение азотсодержащих органических веществ в окисленные соединения азота, нитриты и нитраты.

Оксиды азота ( NOx ) - смесь оксидов азота, весьма опасных для здоровья людей, животных и растений даже при очень низких концентрациях (ПДК - 0,000009% объемных).

Опад - органические остатки в экосистеме, отмершие от надземных или подземных частей растений.

Параметр - математическая величина, входящая в формулы и выражения, значения которых остаются постоянными в пределах рассматриваемой задачи (математической модели экосистемы).

Параметры экосистемы - величины, отражающие функциональные и консервативные свойства экосистемы: биологический круговорот, биопродуктивность, биогеохимические циклы и др.

Пестициды - химические вещества, используемые для борьбы с вредителями и болезнями растений, сорняками, вредителями зернопродуктов, древесины и т. д., а также с экзопаразитами домашних животных, переносчиками опасных заболеваний животных и человека.

Риск экологический - вероятность деградации окружающей среды или перехода её в неустойчивое состояние вследствие загрязнения.

Сернистый ангидрид (двуоксид серы, двуокись серы, SO 2 ) - газ с резким запахом, окисляемый кислородом до серного ангидрида, SO 3 , вредное вещество; среднесуточное ПДК в воздухе - 0,05 мг/м.

Смог - загрязнение городской атмосферы в виде аэрозольной пелены, дымки, тумана, образующихся в результате интенсивного поступления в атмосферу загрязняющих веществ.

Техногеосистема - совокупность элементов земной коры и антропогенных элементов (постройки, транспортные системы, рекультивируемые участки и др.), находящихся в отношениях и связях между собой и образующих определенную целостность, единство.

Трансграничное загрязнение - загрязнение окружающей среды, охватывающее территорию нескольких государств или целые континенты и формирующееся за счет трансграничного переноса загрязняющих веществ.

Трофическая (пищевая, биогеохимическая) цепь - взаимоотношения между организмами, через которые в экосистеме происходит трансформация вещества и энергии; в состав пищевых цепей входят группы особей, связанных друг с другом отношениями «пища - потребитель», следовательно, пищевые цепи представляют собой сочленение звеньев, в которой каждое предыдущее служит пищей для последующего звена, обычно от 2 до 5 звеньев.

Тяжелые металлы - химические элементы с атомной массой свыше 50 а.е.м.; почти все они токсичны.

Удобрение (минеральное, органическое, бактериальное) - вещество, увеличивающее при внесении в почву или водоем биопродуктивность экосистемы.

Эвтрофикация - повышение уровня первичной продукции наземных и водных экосистем благодаря увеличению в них концентрации биофильных элементов.

Эквивалент - количество химического вещества, реагирующего с одним атомом водорода; используется при расчетах критических нагрузок для сравнения воздействия различных элементов (сера, азот, кальций, магний, калий, натрий, водород, алюминий и др.).

Экосистема - природный комплекс с полноправными компонентами, находящимися в непрерывной взаимосвязи.

Экосистема городская (урбоэкосистема) - устойчивая или неустойчивая система с полноправными компонентами, находящимися в непрерывной взаимосвязи.

ЛИТЕРАТУРА

1. Базилевич Н.И. Биологическая продуктивность экосистем Северной Евразии. - М: Наука, 1993. - 293 с.

2. Башкин В.Н. Агрогеохимия азота. - Пущино: ОНТИ НЦБИ, 1987. -268 с.

3. Башкин В.Н, Учватов В.П., Кудеярова А.Ю. и др. Экологоагрогеохимическое районирование Московской области. - Пущино: ОНТИНЦБИ, 1992.- 170 с.

4. Башкин В.Н., Евстафьева Е.В., Снакин В.В. и др. Биогеохимическиеосновы экологического нормирования. - М.: Наука, 1993. - 312 с.

5. Башкин В.Н., Бейли Р. Глобальная карта экорегионов: биогеохимические и почвенные подходы // Почвоведение, № 3, 1995. - С. 365-374.

6. Башкин В.Н., Козлов М.Я., Припутина И.В., Абрамычев А.Ю. Региональная оценка устойчивости экосистем к атмотехногенным выпадениям серы и азота на Европейской территории России. Часть I . Количественная оценка и картографирование критических нагрузок серы и азота на наземные и пресноводные экосистемы // Проблемы региональной экологии. 1997. № 1.- С. 57-78.

7. Башкин В.Н. Оценка риска при расчетах критических нагрузок на экосистемы // Тяжелые металлы в окружающей среде. - Пущино: ОНТИ НББИ,1997. - С.172-181.

8. Башкин В.Н., Козлов М.Я., Припутина И.В., Абрамычев А.Ю. Количественная оценка и картирование критических нагрузок серы и азота для наземных и пресноводных экосистем Европейской части России. Часть II . Оценка неопределенности при расчетах критических нагрузок серы азота //Проблемы региональной экологии. 1998. №1. - С. 26-42.

9. Башкин В.Н. Оценка экологического риска при расчетах критических нагрузок поллютантов на экосистемы // География и природные ресурсы. 1999.№1. -С. 35-39.

10. Башкин В.Н., Снакин В.В., Припутина И.В., Хрисанов В.Р., Казак А.С. Разработка экологических нормативов для оценки воздействия магистрального газопровода Ямал-Центр // Охрана окружающей среды в нефтегазовом комплексе. 2001. № 5.

11. Башкин В.Н., Танканаг А.В. Оценка устойчивости восточноевропейских экосистем к атмотехногенному поступлению серы и азота//Проблемы региональной экологии. 2001. № 4. - С. 15-29.

12. Башкин В.Н., Казак А.С, Снакин В.В., Припутина И.В., Хрисанов Р.В., Кочуров Б.И. Устойчивость экосистем к эмиссиям магистральных газопроводов. - Москва-Смоленск: Универсум, 2002. - 231 с.

13. Глазовская М.А. Методологические основы оценки эколого-геохимической устойчивости почв к техногенным воздействиям. - Москва: Изд-во МГУ, 1997. - 102 с.

14. Перельман А.И. и Касимов Н.С. Геохимия ландшафта. - М.: Интеграция, 1999. - 763 с.

15. Перечень рыбохозяйственных нормативов: ПДК и ОБУВ вредных веществ для воды рыбных объектов, имеющих рыбохозяйственное значение. - Изд-во ВНИРО, 1999. - 303 с.

16. Перечень и коды веществ, загрязняющих атмосферный воздух. - Санкт-Петербург, МПР, 2000. - 320 с.

17. Bashkin V.N. Modern Biogeochemistry. Kluwer Academic Publishers, 2002.-572 pp.

18. Bashkin V.N. and G r e g о г H.D. (Eds). Calculation of critical loads of air pollutants at ecosystems of East Europe . Pushchino: ONTI Publishing House - Berlin : UB A. 1999. -132 pp.

19. De Vries W. and Bakker D.J. Manual for calculating critical loads of heavymetals for terrestrial ecosystems. DLO Winand Staring Centre, Report 166, The Netherlands, 1998. - 144 pp.

20. De Vries W., Bakker D.J. and Scerdrup H. Manual for calculating critical loads of heavy metals for aquatic ecosystems. DLO Winand Staring Centre, Report 165, The Netherlands , 1998. - 91 pp.

21. Posch M., deSmet P.A.M., Hettelingh J-P., and Downing R.J. (Eds.). Calculation and Mapping of Critical Thresholds in Europe . Status Report 1999. Coordination Center for Effects, RIVM Report No.259101009, Bilthoven, the Netherlands , 1999. - 165 pp.

22. Radojevic M. and Bashkin V.N. Practical environmental analysis. Cambridge , UK : RSC, 1999. - 466 pp.




Яндекс цитирования