//
ТехЛит.ру
- крупнейшая бесплатная электронная интернет библиотека для "технически умных" людей.
WWW.TEHLIT.RU - ТЕХНИЧЕСКАЯ ЛИТЕРАТУРА

:: Алготрейдинг::


АЛГОТРЕЙДИНГ
шаг за шагом
с нуля по урокам!

Торговые роботы на PYTHON, BackTrader,
Pandas, Pine Script для TradingView. Связка с брокерами, телеграм и легкими приложениями.


УТВЕРЖДЕНО:

Министерством нефтяной
 промышленности

Заместитель Министра

________________________

15 декабря 1980 г.

НЕФТЬ. ТИПОВОЕ ИССЛЕДОВАНИЕ СВОЙСТВ ПЛАСТОВОЙ НЕФТИ. ОБЪЕМ ИССЛЕДОВАНИЯ. ФОРМА ПРЕДСТАВЛЕНИЯ РЕЗУЛЬТАТОВ.

ОСТ 39-112-80

 

Всесоюзный нефтегазовый научно-исследовательский институт (ВНИИ)

Директор

Г.Г. Вахитов

Руководитель сектора стандартизации

В.С. Уголев

Руководители разработки:

 

руководитель сектора разработки аппаратуры и методов исследования пластовых нефтей

 

В.Н. Мамуна

руководитель сектора стандартизации

В.С. Уголев

Исполнители:

 

ст. научный сотрудник

Б.В. Ульянинский

В.Г. Кутенкова

ст. инженер

В.Л. Чичеров

П.В. Дергунов

А.И. Торопов

СОГЛАСОВАНО:

 

Всесоюзным научно-исследовательским институтом организации, управления и экономики нефтегазовой промышленности (ВНИИОЭНГ)

Директор

Р.Ш. Мингареев

Управлением разработки нефтяных и газовых месторождений Миннефтепрома

Начальник управления

В.М. Юдин

Техническим управлением Миннефтепрома

Начальник управления

Г.И. Григоращенко

Геологическим управлением Миннефтепрома

Начальник управления

Г.П. Ованесов

УТВЕРЖДЕН И ВВЕДЕН В ДЕЙСТВИЕ ПРИКАЗОМ Министерства нефтяной промышленности 23 января 1981 г. № 60

ИСПОЛНИТЕЛИ Руководители разработки: В.Н. Мамуна, к.т.н.; В.С. Уголев, к.т.н.

ИСПОЛНИТЕЛИ: Б.В. Ульянинский; В.Г. Кутенкова; В.Л. Чичеров; П.В. Дергунов, к.э.н.; А.И. Торопов.

ОТРАСЛЕВОЙ СТАНДАРТ

НЕФТЬ. ТИПОВОЕ ИССЛЕДОВАНИЕ ПЛАСТОВОЙ НЕФТИ

ОСТ 39-112-80

объем исследования. форма представления результатов.

Вводится впервые

Приказом Министерства нефтяной промышленности от 23 января 1981 г. № 60

Срок введения установлен
с 1 июля 1981г.

Содержание

I. ОБЩИЕ ТРЕБОВАНИЯ

2. ОБЪЕМ ИССЛЕДОВАНИЯ

3. ФОРМА ПРЕДСТАВЛЕНИЯ РЕЗУЛЬТАТОВ

4. ОБОБЩЕНИЕ РЕЗУЛЬТАТОВ ИССЛЕДОВАНИЯ

ПРИЛОЖЕНИЕ 1 Обязательное ФОРМЫ ПРЕДСТАВЛЕНИЯ РЕЗУЛЬТАТОВ ИССЛЕДОВАНИЯ ПЛАСТОВОЙ НЕФТИ

ПРИЛОЖЕНИЕ 2 Обязательное ТИПИЧНЫЕ ГРАФИКИ РЕЗУЛЬТАТОВ ИССЛЕДОВАНИЯ ПЛАСТОВОЙ НЕФТИ

ПРИЛОЖЕНИЕ 3 Справочное СЕГРЕГАЦИОННЫЙ СПОСОБ ОТБОРА ГЛУБИННЫХ ПРОБ

ПРИЛОЖЕНИЕ 4 Обязательное ОЦЕНКА ВРЕМЕНИ ПОДХОДА К СКВАЖИНЕ ПРЕДСТАВИТЕЛЬНОЙ НЕФТИ

ПРИЛОЖЕНИЕ 5 Рекомендуемое ОЦЕНКА СВОЙСТВ ПЛАСТОВОЙ НЕФТИ В ОТДЕЛЬНЫХ ПЛАСТАХ ПРИ ИХ СОВМЕСТНОЙ ЭКСПЛУАТАЦИИ

ПРИЛОЖЕНИЕ 6 Обязательное Протокол проверки качества проб

ПРИЛОЖЕНИЕ 7 Рекомендуемое График для нахождения промежуточной температуры

ПРИЛОЖЕНИЕ 8 Обязательное График для определения давления ступеней в двухфазной области

ПРИЛОЖЕНИЕ 9 Обязательное ДОПУСТИМЫЕ РАСХОЖДЕНИЯ МЕЖДУ ЗНАЧЕНИЯМИ ИЗМЕРЕННЫХ ПАРАМЕТРОВ

ПРИЛОЖЕНИЕ 10 Рекомендуемое РАСЧЕТ ВЯЗКОСТИ ГАЗА

ПРИЛОЖЕНИЕ 11 Справочное МЕТОДИЧЕСКИЕ УКАЗАНИЯ К ОБОБЩЕНИЮ РЕЗУЛЬТАТОВ ИССЛЕДОВАНИЯ ПЛАСТОВОЙ НЕФТИ ПО ОБЪЕКТУ В ЦЕЛОМ

ПРИЛОЖЕНИЕ 12 Справочное ОПРЕДЕЛЕНИЕ НЕКОТОРЫХ ТЕРМИНОВ, ПРИНЯТЫХ В СТАНДАРТЕ

ПРИЛОЖЕНИЕ 13 Справочное ОБОЗНАЧЕНИЕ ОСНОВНЫХ ПАРАМЕТРОВ ПЛАСТОВОЙ НЕФТИ

Настоящий стандарт распространяется на типовое исследование физических свойств пластовой нефти, устанавливает объем исследования и форму представления результатов исследования (приложения 1 и 2, обязательные).

Стандарт не распространяется на специальные исследования нефтей и исследования газоконденсатных систем.

Стандарт обязателен для всех организаций Министерства нефтяной промышленности, осуществляющих исследования пластовой нефти.

I. ОБЩИЕ ТРЕБОВАНИЯ

1.1. Типовое исследование пластовой нефти должно обеспечивать получение необходимой информации о ее физико-химических свойствах для целей проектирования разработки, подсчета запасов и обустройства нефтяных месторождений.

1.2. Объектом исследования является образец пластовой нефти - глубинная проба. Если глубинные пробы отобрать невозможно, допускается исследование рекомбинированных проб, составляемых из поверхностных образцов нефти и газа.

1.3. Исследования необходимо производить с помощью лабораторной аппаратуры, специально предназначенной для изучения физических свойств пластовой нефти.

1.4. При исследовании по комплексу А (п. 2.1.1 и п. 2.1.4.1) измерения могут быть выполнены экспресс-методом с помощью специальных глубинных приборов (глубинный пентометр, глубинный сатуриметр, глубинный экспансиметр и глубинный вискозиметр).

1.5. При лабораторных исследованиях должны моделироваться пластовые условия термодинамического состояния нефти и термобарические условия, рекомендованные в п. 2.2.

1.6. Исследования пластовой нефти глубинными приборами осуществляют без моделирования пластовых условий и без отбора глубинной пробы в традиционном ее понимании.

1.7. Глубинные пробы должны быть отобраны пробоотборниками, отвечающими требованиям ОСТ 39-060-78.

1.8. Из обводненных скважин пробы должны быть отобраны сегрегационным пробоотборником (приложение 3, справочное).

1.9. Пробы должны быть отобраны в области однофазного состояния нефти в скважинах, работающих на установившемся режиме превышения забойного давления над давлением насыщения. Если забойное давление ниже давления насыщения, то скважина должна быть переведена на режим с превышением забойного давления над давлением насыщения. При этом время начала притока из пласта однофазной нефти следует определять но формуле, приведенной в приложении 4, обязательном.

Примечание. Пробы нефти могут быть отобраны без изменения существующего режима, если это необходимо для контроля за процессом разработки.

1.10. При многопластовых объектах, эксплуатируемых одной скважиной, данные по свойствам нефти должны быть получены отдельно для каждого из пластов. Если указанные данные не были получены при индивидуальном опробовании пластов в процессе их пробной эксплуатации, то допускается основные параметры нефти в каждом из совместно эксплуатируемых пластов оценивать по рекомендациям приложения 5, рекомендуемого.

1.11. Точка отбора проб не должна находиться выше 5-10 м от низа фонтанного лифта.

Примечание. Если по техническому состоянию скважины требование данного пункта невыполнимо, то при наличии в скважине высокого столба однофазной нефти допускается отбор проб на более высоких отметках, но не выше отметки начала разгазирования нефти.

1.12. Из скважины должно быть отобрано не менее 3 проб при заданном режиме ее работы.

1.12.1. По скважинам, из которых отобраны глубинные пробы, должны быть получены необходимые данные об условиях отбора и о нефтяном пласте и представлены по формам 4 и 5 приложения 1.

1.13. Идентичность проб устанавливают непосредственно в пробоотборнике по совпадению контрольных параметров - давлению насыщения при температуре окружающей среды или давлению в приемной камере пробоотборника. Пробы считаются идентичными, если расхождение значений контрольных параметров не превышает 3%. Результаты проверки идентичности проб фиксируются в протоколе (приложение 6, обязательное).

Примечание. Газосодержание не должно являться контрольным показателем качества отобранной пробы, так как при определении может произойти изменение исходного состава пробы.

1.13.1. Пробоотборник или контейнер с отобранной пробой должен быть снабжен этикеткой (приложение 6).

Примечание. В случае перевода в контейнер одной или нескольких проб, соответствующая запись должна быть произведена в протоколе перевода проб (приложение 6).

1.13.2. Для парафиновых и высокопарафиновых нефтей (ГОСТ 912-66) перевод проб из пробоотборника в контейнеры или в исследовательскую аппаратуру должен сопровождаться термостатированием пробоотборника при 80°С.

Примечание. Перевод охлажденной пробы допускается, если вся нефть, включая твердую фазу, может быть полностью переведена из пробоотборника.

1.13.3. Перевод пробы должен осуществляться средствами, исключающими контакт нефти с неинертной к ней рабочей жидкостью.

1.14. Объем исследования и форма представления результатов исследования как глубинных, так и рекомбинированных проб должны отвечать требованиям настоящего стандарта.

2. ОБЪЕМ ИССЛЕДОВАНИЯ

2.1. Типовые комплексы.

2.1.1. Установлены три комплекса типового исследования пластовой нефти - А, Б и В, отличающиеся различным объемом выполняемых исследований и получаемой информации.

2.1.2. Число скважин, исследуемых по комплексам, должно обеспечить для объекта в целом, получение параметров с погрешностью не выше заданной.

2.1.3. Исследования пластовой нефти по комплексу А должны проводиться для нефтяных добывающих скважин. Исследования по комплексам Б и В должны проводиться преимущественно для разведочных скважин.

Примечание. Если количество исследований по комплексам Б и В, выполненных для разведочных скважин, недостаточно, для обеспечения требования п. 2.1.2, то недостающие исследования выполняют по пробам, отобранным из добывающих скважин.

2.1.4. Виды исследования и получаемая при этом информация с указанием принадлежности определяемых параметров к тому или иному комплексу приведены в таблице 1. (Скобки при литерах, обозначающих комплексы, показывают, что данный параметр для комплекса не является обязательным; отсутствие скобок указывает на обязательность определения данного параметра.)

Таблица 1

Виды исследования

Получаемая информация

Комплексы

Исследование PVT - соотношений пластовой нефти

Давление насыщения:

 

а) при пластовой температуре

А Б В

б) при 20 °С

(А)Б В

в) при промежуточной температуре (пп. 2.2.4-2.2.7)

(А)Б В

Коэффициент сжимаемости при разных давлениях, от пластового до давления насыщения:

 

а) при пластовой температуре

А Б В

б) при 20 °С

(А)Б В

в) при промежуточной температуре (пп. 2.2.4-2.2.7)

Б В

Температурный коэффициент давления насыщения

(А)Б В

Температурный коэффициент объемного расширения пластовой нефти в интервале температур:

 

а) 20 °С - пластовая

(А)Б В

б) 20 °С - промежуточная

Б В

в) промежуточная - пластовая

Б В

Плотность газожидкостной смеси при разных давлениях в однофазной и двухфазной областях состояния нефти:

 

а) при пластовой температуре

(А)Б В

б) при 20°С

(А)Б В

в) при промежуточной температуре (пп. 2.2.4-2.2.7)

Б В

Удельный объем газожидкостной смеси при разных давлениях в однофазной и двухфазной областях состояния нефти:

 

а) при пластовой температуре

(А)Б В

б) при 20 °С

(А)Б В

в) при промежуточной температуре (пп. 2.2.4-2.2.7)

Б В

Относительный объем газожидкостной смеси при разных давлениях в однофазной и двухфазной областях состояния нефти при температурах: пластовой, 20 °С и промежуточной (пп. 2.2.4-2.2.7)

 

а) за единицу объема принят объем нефти при пластовой температуре и пластовом давлении

(А)Б В

б) за единицу объема принят объем нефти при пластовой температуре и давлении насыщения

(А)Б В

Стандартная сепарация пластовой нефти

Газосодержание

А Б В

Объемный коэффициент пластовой нефти при пластовой температуре:

 

а) при пластовом давлении

А Б В

б) при давлении насыщения

(А)Б В

Плотность пластовой нефти

А Б В

Плотность сепарированной нефти

А Б В

Плотность газа при 20 °С и 1013,25 гПа

А Б В

Компонентный состав газа по п. 2.1.4.2

А Б В

Компонентный состав сепарированной нефти (п. 2.1.4.2)

(А)Б В

Компонентный состав пластовой нефти (п. 2.1.4.2)

(А)Б В

Потенциальное газосодержание:

 

а) общее

(А)Б В

б) только по углеводородам

(А)Б В

Молярная масса:

 

а) газа

(А)Б В

б) сепарированной нефти

(А)Б В

в) пластовой нефти

(А)Б В

г) остатка

(А)Б В

Дифференциальное разгазирование при пластовой температуре

Газосодержание нефти при разных давлениях в интервале от давления насыщения до атмосферного*)

Б В

Объемный коэффициент нефти при разных давлениях, от пластового до атмосферного:

 

а) по отношению к объему сепарированной нефти при атмосферном давлении и 20 °С

Б В

б) по отношению к объему сепарированной нефти при атмосферном давлении и пластовой температуре

Б В

Плотность частично, разгазированной нефти в однофазном состоянии при разных давлениях - от пластового до атмосферного(сепарированная нефть при 20 °С и пластовой температуре)

Б В

Плотность выделившегося газа при разных давлениях - от давления насыщения до атмосферного (плотность газа дается при 1013,25 гПа и 20°С

Б В

Сжимаемость газа, выделившегося при разных давлениях - от давления насыщения до атмосферного**)

Б В

Объемный коэффициент газа, выделившегося при разных давлениях -от давления насыщения до атмосферного**)

Б В

Вязкость газа, выделившегося при разных давлениях - от давления насыщения до атмосферного**)

(Б)В

Компонентный состав газа, выделившегося при разных давлениях - от давления насыщения до атмосферного, и расчетная плотность газа для каждого давления

Б В

То же при 20 °С

В

То же при промежуточной температуре

В

Контактное разгазирование

Вся информация тождественна получаемой в результате дифференциального разгазирования

В

Ступенчатая сепарация при заданном числе ступеней сепарации и заданных давлениях и температурах ступеней

Количество газа, выделившегося на разных ступенях давления, отнесенное к единице объема сепарированной нефти

(Б)В

Состав газа, выделившегося на разных ступенях давления

(Б)В

Расчетная молярная масса газа, выделившегося на разных ступенях давления

(Б)В

Плотность газа, выделившегося на разных ступенях давления

(Б)В

Объемный коэффициент нефти при давлениях и температурах ступеней сепарации

(Б)В

Плотность нефти при 20 °С после ступенчатой сепарации

(Б)В

Определение вязкости пластовой нефти

Вязкость при пластовой температуре:

 

- при пластовом давлении

А

- при разных давлениях в интервале от пластового давления до давления насыщения

(А)Б В

- при разных давлениях в интервале от давления насыщения до атмосферного давления

Б В

То же при 20 °С

В

То же при промежуточной температуре

В

Определение температуры насыщения нефти парафином ОСТ 39.034-76

Температура насыщения нефти парафином при пластовом давлении***)

Б В

Исследование реологических свойств пластовой нефти

По РД 39-11-02-77

(В)

Физико-химический анализ сепарированной нефти

Перечень параметров помещен в таблице 3, (п. 2.1.4.3)

(А)Б В

*) При необходимости нижний предел давления может быть выше атмосферного

**) При отсутствии экспериментальных данных определяется расчетом

***) При необходимости дополнительно может быть приведена при иных давлениях

2.1.4.1. Для скважин, по которым исследование проб производится не впервые (при контроле за процессом разработки, после повторной перфорации и др.), и для скважин, вводимых в эксплуатацию после обеспечения требований п. 2.1.2, установлен комплекс Ас (сокращенный), содержащий обязательные параметры комплекса А. Виды исследования и получаемая при этом информация приведены в таблице 2.

Таблица 2

Виды исследования

Получаемая информация

Исследование PV- соотношений при пластовой температуре

Давление насыщения

Коэффициент сжимаемости, средний в интервале от пластового давления до давления насыщения

Стандартная сепарация пластовой нефти

Газосодержание

Объемный коэффициент нефти при пластовой температуре и пластовом давлении

Плотность пластовой нефти

Плотность сепарированной нефти

Плотность газа (измеренная)

Компонентный состав газа по п. 2.1.4.2

Определение вязкости пластовой нефти

Вязкость при пластовой температуре и пластовом давлении

2.1.4.2. Компонентный состав пластовой нефти, газа и сепарированной нефти должен быть определен по следующим компонентам: сероводород, двуокись углерода, азот, редкие газы (допускается в сумме с азотом, гелий допускается отдельно) метан, этан, пропан, изо-бутан, н-бутан, неопентан, изо-пентан, н-пентан, сумма , сумма , остаток . В обоснованных случаях допускается ограничивать компонентный состав пентанами, остаток - .

2.1.4.3. Для физико-химического анализа сепарированной нефти должна быть взята нефть после стандартной сепарации. Перечень определяемых параметров сепарированной нефти с указанием метода их определения приведен в таблице 3.

Таблица 3

Параметры

Метод определения

Плотность

ГОСТ 3900-47

Молярная масса

Криоскопический метод

Вязкость при 20°С

ГОСТ 33-66

Температура застывания

ГОСТ 20287-74

Содержание:

 

- парафина

ГОСТ 11851-66

- серы

ГОСТ 1437-75

- смол силикагелевых

ГОСТ 11858-66

- асфальтенов

ГОСТ 11858-66

- воды

ГОСТ 2477-65

- солей

ГОСТ 21534-76

Зольность*)

ГОСТ 1461-75

Кислотное число*)

ГОСТ 5985-79

Фракционный состав

ГОСТ 2177-66

Фракционный состав в аппарате АРН-2*)

ГОСТ 11011-64

Температзфа вспышки в закрытом тигле*)

ГОСТ 6356-75

Температура вспышки в открытом тигле *)

ГОСТ 4333-48

Коксуемость*)

ГОСТ 8852-74 или ГОСТ 19932-74

*) Определяется при необходимости

Примечание. Допускается физико-химическую характеристику сепарированной нефти или отдельные параметры получать на основании исследования поверхностных образцов нефти или заимствовать из специальных исследований нефти данной скважины. В этом случае в пояснительной записке и в форме 7 технического отчета должна быть дана ссылка на использованный источник (п. 3.2.2.7)

2.1.4.4. Допускается при необходимости расширять комплексы Aс, А и Б дополнительными видами исследования, взятыми из комплекса В. Исключение из комплексов обязательных видов исследования или отдельных параметров должно быть оговорено в пояснительной записке (п. 3.2.2.3) технического отчета с указанием обоснованных причин исключения.

2.2. Термобарические условия исследования.

2.2.1. Термобарические условия исследования должны быть заданы, исходя из конкретных условий эксплуатации данного объекта. В иных случаях следует пользоваться рекомендациями, изложенными в пп. 2.2.2-2.2.20.

2.2.2. Параметры пластовой нефти должны быть измерены при пластовом давлении и пластовой температуре.

2.2.3. Исследования РVT - соотношений, дифференциальное и контактное разгазирование и определение вязкости, выполняемые по комплексам Б и В, помимо пластовой температуры, должны проводиться еще при 20 °С и промежуточной температуре.

2.2.4. Допускается контактное разгазирование проводить на ступенях, давления и температуры которых соответствуют условиям, имеющим место в стволе работающей скважины.

2.2.5. Установлен следующий ряд промежуточных температур: 30, 40, 50... и далее через 10 °С.

2.2.6. Промежуточная температура должна быть найдена, как средняя арифметическая двух температур - пластовой и 20 °С, округляемая до ближайшей в ряду (п. 2.2.5), или - по графику (приложение 7, рекомендуемое).

Примечание. Допускается при необходимости проводить исследование при нескольких температурах, которые, в этом случае, не являются средними арифметическими величинами, а выбираются из ряда по п. 2.2.5.

2.2.7. При пластовых температурах ниже 55 °С, но не ниже 30 °С, измерения по п. 2.2.4 производят только при двух температурах: 20 °С и пластовой.

2.2.8. При пластовой температуре ниже 30 °С измерения по п. 2.2.4 проводят только при пластовой температуре. Если при подъеме по скважине нефть нагревается, то измерения проводят при двух температурах - пластовой и температуре на устье скважины, скорректированной с температурным рядом по 2.2.5.

2.2.9. При стандартной сепарации нефть, поступающая в сепаратор, и в самом сепараторе должна находиться при температуре 20 °С и давлении 1013,25 гПа (допускается при текущем атмосферном давлении).

Примечание. Температура нефти в сосуде pvt монет быть как 20 °С, так и пластовая при условии, что давление нефти в подводящих к сепаратору коммуникациях не будет снижаться ниже давления насыщения, и при соблюдении требования настоящего пункта.

2.2.10. Исследования в области однофазного и двухфазного состояния нефти при измерении pvt-соотношений, дифференциальном и контактном разгазировании, а также при определении вязкости должны выполняться при значениях давления, обусловленных величиной пластового давления и давления насыщения данной нефти.

2.2.11. Исследования должны проводиться на установленных ступенях давления: для однофазной области число ступеней должно быть от 4 до 6, для двухфазной - от 5 до 10.

Примечание. Число ступеней в двухфазной области может быть ограничено минимальными ожидаемыми давлениями в скважине в процессе эксплуатации при данных температурах.

2.2.12. При исследовании pvt-соотношений величина интервала снижения давления (шаг по давлению) в области однофазного состояния нефти (выше давления насыщения) должна быть в пределах от 1 до 3 МПа.

Примечание. Если разрыв между пластовым давлением и давлением насыщения не обеспечивает совместных требований по п. 2.2.11 и п. 2.2.12, то начальное давление исследования должно быть поднято выше пластового давления на величину, обеспечивающую требования по пп. 2.2.11 и 2.2.12. При этом одна из ступеней должна иметь давление, равное пластовому.

2.2.13. В двухфазной области (ниже давления насыщения) при измерении pvt-соотношений и дифференциальном разгазировании число ступеней и их давления должны быть одинаковыми.

2.2.14. Давление ступеней и их число для двухфазной области находят по графику (приложение 8, обязательное).

2.2.15. При исследовании pvt-соотношений первая ступень после давления насыщения должна быть разбита на 5 подступеней. Первая подступень должна отстоять от давления насыщения примерно на половину шага по объему.

Примечания:

1. При необходимости вторая ступень может быть также разделена на ряд подступеней, от 4 до 5.

2. При определении давления насыщения не объемным методом выполнение п. 2.2.15. необязательно.

3. В комплексе А допускается исследование pvt-соотношений в двухфазной области ограничивать одной-двумя ступенями с обязательным делением первой ступени на подступени.

2.2.16. Измерение вязкости нефти в однофазной области необходимо проводить на тех же ступенях, что и при исследовании РVT-соотношений (пп. 2.2.11 и 2.2.12).

2.2.17. При измерении вязкости в двухфазной области ступени должны соответствовать обязательным ступеням, а при необходимости - и допускаемым (приложение 8).

Примечание. Если в двухфазной области возможно производить прямое измерение вязкости нефти без предварительного вывода газовой фазы, то обязательной ступенью становится также давление насыщения.

2.2.18. Число ступеней и соответствующие им давление и температура при ступенчатой сепарации должны соответствовать реальной схеме сепарации нефти на данном промысле или схеме, предполагаемой к осуществлению в будущем.

2.2.19. Для выполнения исследования по комплексам Б или В одной глубинной пробы обычно недостаточно, поэтому часть видов исследования проводят по дублирующим пробам. В этом случае по дублирующей пробе должно быть выполнено повторное определение контрольного показателя качества пробы по п. 1.13.

2.2.20. Для выполнения исследования по комплексу А обычно достаточно объема одной пробы, однако, рекомендуется выполнять контрольные определения по дублирующей пробе. В этом случае форму 6 технического отчета заполняют средними значениями результатов. Расхождение между измерениями, выполненными по двум пробам, не должны превышать указанных в приложении 9, обязательно

3. ФОРМА ПРЕДСТАВЛЕНИЯ РЕЗУЛЬТАТОВ

3.1. Технический отчет.

3.1.1. Основным документом, содержащим результаты исследования пластовой нефти, является технический отчет (в дальнейшем - отчет).

3.1.2. Отчет должен быть составлен в течение одного месяца после окончания исследования и включать материалы по одной скважине.

Примечания:

1. Допускается комплектование отчетов в соответствующие подборки (например, за год, за шесть месяцев, или по исследованному объекту), что не исключает необходимости выполнения п. 3.1.2. Подборка должна быть снабжена оглавлением и общим пояснительным текстом.

2. Для организаций, составляющих отчеты по НИР, соблюдение требования п. 3.1.2 не является обязательным, что в каждом конкретном случае решается в самой организации. Соблюдение пп. 3.2, 3.3 и 3.4 является обязательным.

3.1.3. Отчет должен состоять из краткой пояснительной записи, таблиц и графиков, выполненных по стандартным формам.

3.1.4. Для отчета о результатах исследования по комплексам Б и В установлено 18 форм. На каждой форме указано ее название (назначение). В правом верхнем углу оставлено место для названия месторождения, номера скважины и пробы. Перед номером пробы указывают: "Гл." - глубинная проба или "Рек." - рекомбинированная проба. Для комплекса А может быть использована индивидуальная карточка (форма 19) после выполнения требования п. 2.1.2.

3.2. Табличные и текстовые формы.

3.2.1. Текстовую и табличную части отчета представляют по формам 1-17 (приложение 1), перечень которых с указанием соответствующих им графиков (из табл. 5) и поясняющих пунктов помещены в таблице 4.

Таблица 4

Формы

Названия форм

Соответствующий график по таблице 5

Поясняющий пункт стандарта

Форма 1

Титульный лист

нет

3.2.2.1

Форма 2

Содержание отчета

нет

3.2.2.2

Форма 3

Пояснительная записка

нет

3.2.2.3

Форма 4

Сведения о пласте и скважине

нет

3.2.2.4

Форма 5

Условия отбора глубинных (поверхностных) проб

нет

3.2.2.5

Форма 6

Основные результаты исследования

нет

3.2.2.6

Форма 7

Физико-химическая характеристика сепарированной нефти

нет

3.2.2.7

Форма 8

PV-соотношения пластовой нефти

1, 2, 3

3.2.2.8

Форма 9

Температурный коэффициент давления насыщения

4 (на форме 9)

3.2.2.9

Форма 10

Температурный коэффициент объемного расширения пластовой нефти

5 (на форме 10)

3.2.2.10

Форма 11

Стандартная сепарация пластовой нефти

нет

3.2.2.11

Форма 12

Компонентный состав газа, пластовой и сепарированной нефти

нет

3.2.2.12

Форма 13

Дифференциальное разгазирование. Контактное разгазирование

6-12

3.2.2.13

Форма 14

Дифференциальное разгазирование. Контактное разгазироваяие. Состав газа

13

3.2.2.14

Форма 15

Ступенчатая сепарация пластовой нефти

14 и 7

3.2.2.15

Форма 16

Вязкость пластовой нефти при различных давлениях

15

3.2.2.16

Форма 17

Температура насыщения нефти парафином

16 (на форме 17)

3.2.2.17

3.2.2. Заполнение форм следует производить с учетом рекомендаций пп. 3.2.2.1 - 3.2.2.17.

3.2.2.1. Форма 1. "Титульный лист". Содержит четыре поля:

- поле 1 предназначено для официального названия организации-исполнителя;

- в поле 2 указывают порядковый номер технического отчета и через тире - год его составления; ниже - название месторождения, индекс пласта и номер скважины, например:

- в поле 3 указывают должность и фамилию руководителя подразделения, в котором проводились исследования;

- в поле 4 указывают административный пункт расположения организации-исполнителя и год выпуска отчета, например:

"Энск - 1977".

3.2.2.2. Форма 2."Содержание отчета" (оглавление).

3.2.2.3. Форма 3."Пояснительная записка". В пояснительной записке должны содержаться краткие сведения о выполненном исследовании:

- основание (тематический план, внеплановое задание, контрольное исследование);

- производилось ли ранее исследование пластовой нефти из этой скважины (дать ссылку на соответствующий отчет) или исследование производится впервые;

- какие пробы исследовались: глубинные или рекомбинированные;

- мероприятия, предшествовавшие отбору проб (очистка скважины от парафина, гидродинамические исследования, дебитометрирование, кислотная обработка, гидроразрыв, дополнительная перфорация и др.);

- результаты проверки идентичности проб по п. 1.13 оформляют в виде таблицы; в графу "контрольный параметр" записывают либо "Давление в приемной камере", либо "Давление насыщения", в графе "Идентичность проб" пишут "Да" или "Нет", под таблицей указывают номера проб, выбранных для исследования, например:

Номер пробы

Контрольный параметр-давление в приемной камере, МПа

Температура, °С

Дата опробования

Идентичность пробы

16/1

13,6

27

12.06.77

Да

16/2

13,6

27

12.06.77

Да

16/3

13,7

27

12.06.77

Да

Для исследования выбраны пробы 16/1 и 16/2

- основание для выбора комплекса исследования - А, Б или В, необходимость расширения или сокращения его (п. 2.1.4.4);

- виды исследования, выполненные по выбранным пробам;

- методика, применяемая аппаратура;

- дополнительные сведения, краткие выводы;

- дата исследования, исполнители.

3.2.2.4. Форма 4. "Сведения о пласте и скважине".

3.2.2.5. Форма 5. "Условия отбора ... проб". В зависимости от исследуемых образцов (глубинные или рекомбинированные пробы), пропуск в названии формы заполняют словами: "глубинных" или"поверхностных".

3.2.2.6. Форма 6. "Основные результаты исследования". Заполняют средними значениями параметров пластовой нефти. В приложении 1 форма выполнена для комплекса Б. Для других комплексов форма должна быть соответственно сокращена или расширена, согласно объемам исследования, указанным в таблице 1.

3.2.2.7. Форма 7. "Физико-химическая характеристика сепарированной нефти". Заполняют данными физико-химического анализа нефти, полученной в результате стандартной сепарации, или данными, заимствованными из других источников. В последнем случае вместо подзаголовка "Стандартная сепарация", указывают какие данные использованы, условия сепарации и источник информации. Например: "По данным анализа нефти из трапа. Условия сепарации: 24 °С и 0,04 МПа. Отчет №...". Фракционный состав и плотности фракций, полученные при разгонке в аппарате АРН-2, могут быть представлены самостоятельной таблицей.

3.2.2.8. Форма 8. "PV- соотношения пластовой нефти". Для каждой температуры (пластовой, 20 °С и промежуточной) используют отдельный бланк формы, на котором указывают соответствующую температуру. Против значений пластового давления и давления насыщения проставляют соответствующие символы - (Рпл) и (ps). Относительный объем нефти (при всех давлениях и температурах) приводят в двух видах: по отношению к объему нефти при пластовом давлении и пластовой температуре и по отношению к объему нефти, соответствующему давлению насыщения при пластовой температуре. Значения коэффициентов сжимаемости (средние в интервале между соседними давлениями) записывают против нижнего (меньшего) давления интервала.

Под таблицей указывают:

- номер рисунка РV-изотермы и значение давления насыщения;

- номер рисунка зависимости коэффициента сжимаемости от давления и среднее значение его в интервале от пластового давления до давления насыщения.

Примечание. Если давление насыщения измерено не объемным методом, то вместо Рv-изотермы следует привести соответствующий график или копию бланка машинного расчета. Содержание самой таблицы при этом сохраняется неизменным.

3.2.2.9. Форма 9. "Температурный коэффициент давления насыщения". В таблицу заносят значения температур, соответствующие им значения давления насыщения, интервал температур и вычисленные значения температурного коэффициента давления насыщения. Под таблицей повторяют значение коэффициента, среднее для интервала от 20 °С до пластовой температуры. На этой же форме отведено место для графика зависимости давления насыщения от температуры. График не является обязательным.

3.2.2.10. Форма 10. "Температурный коэффициент объемного расширения пластовой нефти". В таблицу заносят значения давлений, интервалы температур и соответствующие значения коэффициентов объемного расширения нефти. Под таблицей повторяют среднее значение коэффициента при пластовом давлении для интервала температуры от 20 °С до пластовой температуры. На этой же форме отведено место для графика зависимости температурного коэффициента от давления в различных температурных интервалах. Исследования при давлениях, отличных от пластовых, не являются обязательными.

3.2.2.11. Форма 11."Стандартная сепарация пластовой нефти". Помещают значения указанных в форме параметров нефти, полученные в результате стандартной сепарации при 20 °С и 1013,25 гПа или текущем атмосферном давлении. Фактическое давление сепарации указывают в соответствующем месте.

3.2.2.12. Форма 12. "Компонентный состав газа, сепарированной и пластовой нефти". Таблицу заполняют данными, полученными в результате анализа газовой и жидкой фаз стандартной сепарации и рассчитанными на их основании данными о компонентном составе пластовой нефти. В правой части таблицы помещают значения потенциального газосодержания - общее, а также только по сумме углеводородов; под таблицей указывают молярные массы газа, сепарированной и пластовой нефти, остатка. Если компонентный состав сепарированной нефти не определяют, то для представления состава газа, обязательного по комплексу А, предназначена форма 12а.

3.2.2.13. Форма 13. "Дифференциальное разгазирование. Контактное разгазирование". В графе 1 записывают давления ступеней (в первой строке - пластовое давление, во второй строке - давление насыщения). Предпоследняя строка предназначена для атмосферного давления при пластовой температуре, последняя - то же при 20 °С. Значения объемного коэффициента нефти приводят в двух вариантах: по отношению к объему нефти при атмосферном давлении и пластовой температуре и по отношению к объему нефти при атмосферном давлении и температуре 20 °С. В графе 6 проставляют значения плотности частично разгазированной нефти при давлениях и температурах ступеней. Если сжимаемость и вязкость газа получены не экспериментально, а по корреляциям (приложение 10, рекомендуемое), то в графах 9 и 10 следует указать в скобках "(расчет)". Вязкость газа - параметр необязательный. Если исследование выполняют при разных температурах ступеней (п. 2.2.4), то температуру проставляют в графе 1 рядом с давлением. 

3.2.2.14. Форма 14. "Дифференциальное разгазирование. Контактное разгазирование. Состав газа". Таблицу заполняют результатами анализа компонентного состава газа, выделившегося на различных ступенях дифференциального или контактного разгазирования. Внизу таблицы, в соответствующих графах, помещают расчетные значения плотности газа при 20 °С.

Примечание. В заглавиях форм 13 и 14 оставляют нужное: "Дифференциальное" или "Контактное" разгазирование.

3.2.2.15. Форма 15. "Ступенчатая сепарация пластовой нефти". Форму заполняют результатами ступенчатой сепарации пластовой нефти, выполненной по схеме сепарации, действующей на данном промысле или по заданной схеме (п. 2.2.18). Объемный коэффициент нефти приводят при давлениях и температурах ступеней, а также при: давлении насыщения и пластовом давлении. Внизу указывают номер рисунка, на котором приведены зависимости объемного коэффициента нефти, газосодержания, плотности газа и его компонентного состава от давления ступени. Кроме того указывают номер рисунка, соответствующего графику 7 (таблица 5), на котором для сравнения приводят объемный коэффициент нефти ступенчатой сепарации.

3.2.2.16. Форма 16. "Вязкость пластовой нефти". В таблицу помещают значения давлений и соответствующие значения вязкости при температурах - пластовой, промежуточной и 20 °С. Ниже указывают номер рисунка, на котором представлена зависимость вязкости от давления при указанных температурах и помещают значения вязкости при пластовом давлении и при давлении насыщения.

Примечание. Если значение вязкости нефти в двухфазной области получены экстраполяцией, то против соответствующих значений указывают - "Экстраполяция".

3.2.2.17. Форма 17. "Температура насыщения нефти парафином", ОСТ 39.034-76. В заголовке указывают давление эксперимента. В графу 1 записывают температуру ступеней, в графу 2 - соответствующие значения силы тока (фототок). Под таблицей помещают график зависимости силы фототока от температуры и указывают значение температуры насыщения нефти парафином.

3.2.2.18. Форма ИК. "Индивидуальная карточка". Предназначена для представления результатов исследования по сокращенному комплексу Ас или по комплексу А для добывающих скважин. Карточка содержит четыре таблицы, в которые заносят основные параметры пластовой нефти, компонентный состав газа, сепарированной и пластовой нефти, физико-химическую характеристику сепарированной нефти и сведения о скважине и условиях отбора проб. В строке "Давление насыщения" в скобках указывают метод определения, например, (Объемный метод). В строке "Предшествующие исследования" помещают ссылки на соответствующие отчеты. Карточки складывают по линии перегиба и хранят в специальных ящиках.

3.3. Графические формы и графики.

3.3.1. Для представления графической части отчета предназначены формы: 18, 18а, 18б и 18в (п. 3.4.3).

3.3.2. Установлено 16 типовых графиков, перечень которых с. указаниями их построения приведен в таблице 5. Виды типичных графиков приведены в приложении 2.

Примечание. Порядковые номера графиков не являются порядковыми номерами рисунков в отчете. В зависимости от объема исследования одинаковые графики в том или ином отчете могут иметь разные номера рисунков.

Таблица 5

Название графика

Соответствующая форма по табл. 3

Название величин, откладываемых по осям координат

Примечание

по горизонтали

по вертикали

1

2

3

4

5

График 1

РV-изотермы пластовой нефти при разных температурах*

Форма 8

Относительный объем

Графа 2

Давление, Мпа

Графа 1

Здесь же помещают изотерму РV для контрольной пробы (п. 2.2.19)

(График 2)**

3ависимость плотности газожидкостной смеси от давления при разных температурах

Форма 8

Плотность, г/см3

Графа 4

Давление, Мпа

Графа 1

 

(График 3)

Зависимость коэффициента сжимаемости пластовой нефти от давления при разных температурах

Форма 8

Давление, МПа Графа 1

Коэффициент сжимаемости,

β·105 1/Мпа

Графа 6

 

(График 4)

Зависимость давления насыщения от температуры

Форма 9

Температура, °С

Графа 1

Давление насыщения, МПа

График помещают на форме 9 вместе с таблицей

(График 5)

Зависимость температурного коэффициента объемного расширения нефти от давления

Форма 10

Давление, Мпа

Графа 1

Температурный коэффициент объемного расширения, α-104 1/°С

Графы 2, 3, 4

График помещают на форме 10 вместе с таблицей. Три кривые для разных интервалов температур: 1-(20°С-T), 2-(20°С-Tпл), 3-(Т-Tпл)

График 6

Зависимость газосодержания пластовой нефти от давления, (Дифференциальное разгазирование, ... °С)***

Форма 18

Давление, МПа Графа 1

Газосодержание, м33

Графы 2, 3

Кривая 1 - растворенный газ, кривая 2 - выделившийся газ

График 7

Зависимость объемного коэффициента пластовой нефти от давления. (Дифференциальное разгазирование, ... °С) ***

Форма 13

Давление, Мпа

Графы 4 и 5

Объемный коэффициент нефти

Графы 4 и 5

Строки 21-23

Кривая 1 - за единицу принят объем при атмосферном давлении и 20°С, кривая 2 - то же, но при пластовой температуре, кривая 3 -ступенчатая сепарация (п. 3.2.2.15)

То же для ступенчатой сепарации

Форма 15

Строка 2

 

 

График 8

Зависимость плотности пластовой нефти от давления. (Дифференциальное разгазирование, ... °С) ***

Форма 13

Давление, Мпа

Графа 1

Плотность пластовой нефти, г/см3

Графа 6

 

График 9

Зависимость плотности газа от давления. (Дифференциальное разгазирование, ... °С) ***

Форма 13

Давление, Мпа

Графа 1

Плотность газа, кг/м3

Графа 7

 

График 10

Зависимость объемного коэффициента газа от давления. (Дифференциальное разгазирование, ... °С) ***

Форма 13

Давление, Мпа

Графа 1

Объемный коэффициент газа

Графа 8

 

(График 11)

Зависимость сжимаемости газа от давления. (Дифференциальное разгазирование, … °С) ***

Форма 13

Давление, Мпа

Графа 1

Коэффициент сжимаемости газа

Графа 9

 

(График 12)

Зависимость вязкости газа от давления. (Дифференциальное разгазирование, ... °С) ***

Форма 13

Давление, Мпа

Графа 1

Вязкость газа, мПа·с

Графа 10

 

(График 13)

Зависимость компонентного состава газа от давления. (Дифференциальное разгазирование, ... °С) ***

Форма 14

Давление, Мпа

Верхняя строка

Содержание компонентов

Допускается употребление разных масштабов по вертикальной оси (п. 3.4.6.3). Возле каждой кривой название компонента

(График 14)

Результаты ступенчатой сепарации пластовой нефти:

- температура ступеней сепарации

- объемный коэффициент нефти

- газосодержание

- плотность газа

- компонентный состав

Форма 15

Давление ступеней, МПа

Температура, °С (Строка 2)

Объемный коэффициент нефти

(Строка 3)

Газосодержание.

м33 (строка 5)

Плотность газа, кг/м3 (строка 22)

Компонентный состав газа, % (объемн.)

(строки 6-18)

Совмещение ряда независимых графиков при одной горизонтальной оси (п. 3.4.6.4)

График 15

Зависимость вязкости пластовой нефти от давления, … °С

Форма 16

Давление, Мпа

Графа 1

Вязкость нефти, мПа·с

Графа 2

 

График 16

Зависимость фототока от температуры

Форма 17

Температура, °С

Графа 1

Фототок, мкА

Графа 2

График помещают на форме 17 вместе с таблицей

*) При графическом изображении pvt-зависимостей нижние ветви pv-изотерм допускается вычерчивать не полностью, а обрывать после второй ступени

**) Графики, помещенные в скобки, являются необязательными

***) Название графиков 6-13 даны для дифференциального разгазирования. В случае контактного разгазирования, в названии графика слово "Дифференциальное" должно быть заменено на "Контактное"

3.4. Оформление технического отчета.

3.4.1. Технический отчет состоит из сброшюрованных форм текстового и табличного материала (формы 1-17, п. 3.2 и приложение 1), выполненных на листах бумаги форматом А4 ГОСТ 9327-60 и графического материала (формы 18-18в, п. 3.4.3). Если формат А4 недостаточен для помещения необходимого табличного материала (например: форма 13, сводная таблица в приложении 11 и др.) следует применять листы форматом А3.

3.4.2. Цифровые данные, приводимые в графах таблиц, должны быть выражены десятичными дробями. Запись окончательного результата производят только значащими цифрами, умноженными на десять в соответствующей степени, таблица 6.

Таблица 6

Название параметра

Множитель

Пример записи

В графах таблиц

В окончательном результате

Коэффициент сжимаемости нефти

10-4

0,000942

0,001171

9,42·10-4 Мпа-1

11,71·10-4 Мпа-1

Температурный коэффициент расширения пластовой нефти

10-4

0,00098

9,8·10-4 1/°С

Коэффициент растворимости газа в нефти

10-5

-

0,605·10-5 м3/(м3Па)

Объемный коэффициент газа

10-2

0,00663

0,663·10-2

3.4.3. Для построения графиков установлено четыре разновидности формы 18;

- форма 18, вертикальный лист, формат А4;

- форма 18а, горизонтальный лист, формат А4;.

- форма 18б, вертикальный лист, формат А3;

- форма 18в; горизонтальный лист, формат А3.

Основными формами являются формы 18 и 18а. Формы 18б и 18в используются в тех случаях, когда размеры графиков не позволяют поместить их на основных формах. форма 18 дана в приложении 1.

3.4.4. Индивидуальная карточка для комплексов А и Ас (п. 3.1.3) должна быть выполнена на обеих сторонах листа плотной бумаги форматом А4 по ГОСТ 9327-60 (форма ИК, приложение 1),

3.4.5. Нумерация страниц отчета должна быть выполнена по ГОСТ 19600-74.

3.4.6. Свободные (не занятые кривыми) площади графиков должны быть сведены к минимуму.

3.4.6.1. Если интервал, в котором заключены значения откладываемых на графике величин, лежит далеко от начала координат, то следует координатные оси начинать не с нуля, а со значений, уменьшающих свободные площади графика.

3.4.6.2. Если на графике помещены две или несколько кривых, образующих между собой свободные площади, то между ними следует делать разрыв, удалив лишнюю часть графика.

3.4.6.3. Допускается на одном графике смена масштабов для одной и той же величины; при этом на графике должен быть сделан разрыв, (например, график 13, приложение 2).

3.4.6.4. Допускается совмещение по вертикали ряда графиков, относящихся к одному исследованию и имеющих разные вертикальные шкалы при общей горизонтальной шкале, (например, график 14, приложение 2).

3.4.7. Название откладываемых величин на графиках, а также обозначение единиц пишут вдоль осей. Буквенное обозначение величин на осях писать не следует. Точки на кривых должны быть обведены кружками. Название графиков помещают на самом графике или под ним.

3.4.8. Размножение текстового и графического материала допускается выполнять любым из видов множительной техники.

4. ОБОБЩЕНИЕ РЕЗУЛЬТАТОВ ИССЛЕДОВАНИЯ

4.1. В результате обобщения устанавливают:

- связь между значениями параметров нефти и глубиной залегания продуктивного пласта,

- закономерность изменения свойств нефти по площади объекта,

- зависимость параметров нефти от давления,

- средние значения параметров по объекту в целом и погрешности осреднения.

4.2. Методические указания к обобщению содержатся в приложении 11, справочном.

ПРИЛОЖЕНИЕ 1

Обязательное

ФОРМЫ ПРЕДСТАВЛЕНИЯ РЕЗУЛЬТАТОВ ИССЛЕДОВАНИЯ ПЛАСТОВОЙ НЕФТИ

Форма 1

Форма 2

ИССЛЕДОВАНИЕ ПЛАСТОВОЙ НЕФТИ

Месторождение ……………………..

Скважина ……………………………

СОДЕРЖАНИЕ

Страница

 

Таблицы

Графики

 

 

1. Пояснительная записка ………………………………………………

2. Сведения о пласте и скважине ………………………………………

3. Условия отбора глубинных проб …………………………………….

4. Основные результаты исследования ………………………………...

5. Компонентный состав пластовой нефти ……………………………

6. PVT-соотношения ………………………………………………….…

7. Температурный коэффициент давления насыщения ………………

8. Температурный коэффициент объемного расширения нефти ……

9. Стандартная сепарация ……………………………………………….

10. Состав газа стандартной сепарации ………………………………..

11. Дифференциальное разгазирование ………………………………...

12. Состав газа дифференциального разгазирования ………………….

13. Ступенчатая сепарация ………………………………………………

14. Вязкость ……………………………………………………………….

Перечень графиков

Рис. 1 …………..

Рис. 2 …………..

Отчет содержит . . . страниц, включая . . . графиков.

Отчет отпечатан в . . . экз. и направлен:

1. . . .

2. . . .

 

Форма 3

Форма 4

ИССЛЕДОВАНИЕ ПЛАСТОВОЙ НЕФТИ

Месторождение ……………………..

Скважина ……………………………

СВЕДЕНИЯ О ПЛАСТЕ И СКВАЖНЕ

Пласт (горизонт) ……………………………………

Геологический возраст …………………………….

Порода - коллектор …………………………………

Начальное пластовое давление, МПа ……………..

Начальная пластовая температура, °С ……………

Альтитуда скважины, м ……………………………

Глубина скважины, м ………………………………

Интервал перфорации, м …………………………..

Глубина спуска фонтанного лифта, м ……………

Диаметр фонтанных труб, мм ……………………..

Дата ввода в эксплуатацию ………………………..

 

Форма 5

ИССЛЕДОВАНИЕ ПЛАСТОВОЙ НЕФТИ

Месторождение ……………………..

Скважина ……………………………

ГЛУБИННЫХ

УСЛОВИЯ ОТБОРА                                            ПРОБ

ПОВЕРХНОСТНЫХ

Дата отбора проб ………………………………………

Глубина отбора, м ……………………………………..

Давление на глубине отбора, Мпа ……………………

Температура на глубине отбора, °С ………………….

Способ эксплуатации скважины ……………………...

Диаметр штуцера, мм ………………………………….

Забойное давление, МПа ………………………………

Забойная температура, °С ……………………………..

Буферное давление, Мпа ………………………………

Затрубное давление, MПa ……………………………...

Температура нефти на устье, °С ………………………

Условия сепарации:

Ступени

I

II

III

 

Отстойник

Давление, МПа

 

 

 

 

Атмосферное

Температура, °С

 

 

 

 

 

Дебит нефти, т/сут ……………………..

Газовый фактор, м3/т …………………..

Обводненность, % по массе ……………

Тип пробоотборника ……………………

Номера проб ……………………………..

Пробы отобраны ………………………...

Сведения о поверхностных пробах

 

Жидкость

Газ

Место отбора

 

 

 

 

 

 

Дебит, м3/сут

 

 

 

 

 

 

Давление при отборе, МПа

 

 

 

 

 

 

Температура при отборе, °С

 

 

 

 

 

 

Номера контейнеров

 

 

 

 

 

 

Давление в контейнере после отбора, Мпа при температуре, °С

 

 

 

 

 

 

Номера проб

1

2

3

4

5

6

 

 

Форма 6

ИССЛЕДОВАНИЕ ПЛАСТОВОЙ НЕФТИ

Пластовое давление, Мпа ………………

Пластовая температура, °С ……………..

Месторождение …………………..

Скважина …………………………..

ОСНОВНЫЕ РЕЗУЛЬТАТЫ ИССЛЕДОВАНИЯ

Давление насыщения,1) МПа ………………………………………………

Температурный коэффициент давления

насыщения,2) МПа/°С ………………………………………………………..

Коэффициент сжимаемости,3) МПа-1 ……………………………………….

Температурный коэффициент объемного

расширения нефти,4) 1/°С …………………………………………………….

 

Газосодержание

м33

м3

% по массе

- стандартная сепарация5) …………………………

 

 

 

- ступенчатая сепарация по схеме ………………..

 

 

 

- дифференциальное разгазирование …………….

 

 

 

Потенциальное газосодержание ………………….

 

 

 

Объемный коэффициент пластовой нефти1)

при пластовом давлении …………………………………………………

- стандартная сепарация …………………………………………………

- ступенчатая сепарация по схеме ………………………………………

- дифференциальное разгазирование ……………………………………

при давлении насыщения ………………………………………………..

- стандартная сепарация …………………………………………………

- ступенчатая сепарация по схеме ………………………………………

- дифференциальное разгазирование …………………………………..

Плотность пластовой нефти1), г/см3

- при пластовом давлении ………………………………………………

- при давлении насыщения ……………………………………………..

Вязкость1), мПа·с

- при пластовом давлении ……………………………………………….

- при давлении насыщения ………………………………………………

- сепарированной нефти при 20°С ………………………………………

Плотность сепарированной нефти при 20°С, г/см3

- стандартная сепарация …………………………………………………

- ступенчатая сепарация по схеме ………………………………………

- дифференциальное разгазирование ……………………………………

Плотность газа при 20°С, измеренная, кг/м3

- стандартная сепарация …………………………………………………….

Температура насыщения нефти парафином, °С ………………………….

 

ОСНОВНЫЕ РЕЗУЛЬТАТЫ ИССЛЕДОВАНИЯ

(продолжение)

Компонентный состав пластовой нефти

 

Проценты

 

 

По массе

Мольные

 

Сероводород ………………………………………………………

 

 

 

Двуокись углерода ……………………………………………….

Азот + редкие ……………………………………………………

Гелий ………………………………………………………………

Метан ………………………………………………………………

Этан ………………………………………………………………..

Пропан ……………………………………………………………..

изо-Бутан  ....……………………………………………………….

н-Бутан …………………………………………………………….

Неопентан …………………………………………………………

изо-Пентан ………………………………………………………...

н-Пентан …………………………………………………………..

Гексаны ……………………………………………………………

Гептаны ……………………………………………………………

Остаток ……………………………………………………………_______________________

100,0

Молярная масса пластовой нефти, г/моль

1) Значения при пластовой температуре

2) Средние значения в интервале от 20°С до пластовой температуры

3) Среднее значение в интервале от пластового давления до давления насыщения при пластовой температуре

4) Среднее значение в интервале от 20°С до пластовой температуры при пластовом давлении

5) Условия сепарации - 20°С и атмосферное давление.

 

Форма 7

ИССЛЕДОВАНИЕ ПЛАСТОВОЙ НЕФТИ

Месторождение ……………………..

Скважина ……………………………

Проба № …………………………….

ФИЗИКО-ХИМИЧЕСКАЯ ХАРАКТЕРИСТИКА НЕФТИ
СТАНДАРТНОЙ СЕПАРАЦИИ

Условия сепарации: 20°С, атмосферное давление

Плотность при 20°С, г/см3

ГОСТ 3900-47

Молярная масса, г/моль

Криоскопический метод

Вязкость при 20°С, мм2

ГОСТ 33-66

Температура застывания нефти,°С

ГОСТ 20287-74

Содержание, % масс.

 

- парафина

ГОСТ 11851-66

- серы

ГОСТ 1437-75

- смол силикагелевых

ГОСТ 11858-66

- асфальтенов

ГОСТ 11858-66

- воды

ГОСТ 2477-65

- солей, мг NaCl

ГОСТ 21534-76

Зольность, % масс.

ГОСТ 1461-75

Кислотное число, мг кон/г

ГОСТ 5985-79

Фракционный состав в аппарате АРН-2

ГОСТ 11011-64*)

Фракционный состав нефти. ГОСТ 2177-66

 

Температура

Отгон, % (объемн)

 

……………………..

……………………..

……………………..

……………………..

Общий выход фракций до 300 °С, % (объемн)

Остаток и потери, % (объемя)

__________________

*) Представляется в виде отдельной таблицы

 

Форма 8

ИССЛЕДОВАНИЕ ПЛАСТОВОЙ НЕФТИ

Месторождение ……………………..

Скважина ……………………………

Проба № …………………………….

PV - СООТНОШЕНИЯ ПЛАСТОВОЙ НЕФТИ ПРИ … °С

давление, МПа

Относительный объем нефти

Плотность нефти, г/см3

Удельный объем нефти, см3

Коэффициент сжимаемости MПa-1

*

**

пл)

 

 

 

 

 

 

 

s)

 

 

 

 

 

 

 

 

 

 

 

 

 

 

На рис. . . . приведена изотерма пластовой нефти при . . .°С и определено давление насыщения

Ps = . . . МПа

На рис. . . . приведена зависимость коэффициента сжимаемости от давления. Среднее значение коэффициента сжимаемости в интервале от Рпл до Ps.

β = . . . . 10-4 МПа-1

* За единицу принят объем нефти при пластовом давлении … МПа и температуре ... °С,

**- при давлении насыщения … МПа и температуре … °С.

 

Форма 9

 

Месторождение ……………………..

Скважина ……………………………

Проба № …………………………….

ТЕМПЕРАТУРНЫЙ КОЭФФИЦИЕНТ ДАВЛЕНИЯ НАСЫЩЕНИЯ

Температура, °С

Давление насыщения, МПа

Интервал температур, °С

Температурный коэффициент давления насыщения ψ, МПа/°С

 

 

 

 

 

 

 

 

 

 

 

 

Температурный коэффициент давления насыщения в интервале 20 - Тпл °С

Зависимость давления насыщения от температуры приведена на графике.

 

Форма 10

ИССЛЕДОВАНИЕ ПЛАСТОВОЙ НЕФТИ

Месторождение ……………………..

Скважина ……………………………

Проба № …………………………….

Давление, МПа

Температурный коэффициент объемного расширения, a, 1/°С

В интервале температур, °С

 

 

 

 

 

 

 

 

 

 

 

 

 

 

Температурный коэффициент объемного расширения пластовой нефти при пластовом давлении, в интервале 20 – Тпл °С

a = … 10-4 1/°С

Зависимость температурного коэффициента объемного расширения нефти от давления представлена на графике.

 

Форма 11

ИССЛЕДОВАНИЕ ПЛАСТОВОЙ НЕФТИ

Месторождение ……………………..

Скважина ……………………………

Проба № …………………………….

СТАНДАРТНАЯ СЕПАРАЦИЯ ПЛАСТОВОЙ НЕФТИ

Условия сепарации: 20 °С, ………………..гПа

Газосодержание, м33 *) ……………………………………………….

Газосодержание, м3/т *) …………………………………………………

Газосодержание, % от массы

пластовой нефти …………………………………………………………

Объемный коэффициент нефти при пластовом

давлении и при пластовой температуре ………………………………..

Объемный коэффициент при давлении

насыщения и при пластовой температуре ……………………………..

Плотность пластовой нефти, г/см3 ……………………………………...

Плотность сепарированной нефти, г/см3 ……………………………….

Плотность газа, измеренная, кг/м3 ……………………………………...

Коэффициент растворимости газа в нефти,

м3/(м3·Па) ………………………………………………………………….

________________

*) Объем газа при 20 °С и 1013,25 гПа   ГОСТ 2939-63

 


Форма 12

ИССЛЕДОВАНИЕ ПЛАСТОВОЙ НЕФТИ

КОМПОНЕНТНЫЙ СОСТАВ ГАЗА, СЕПАРИРОВАННОЙ И ПЛАСТОВОЙ НЕФТИ

Стандартная сепарация

Условия сепарации: 20 °С, …… гПа

Месторождение ………

Скважина ……………..

Проба № ………………

Компоненты

Содержание компонента, проценты

Потенциальное газосодержание

Масс.

Мольные

Масс.

Мольные

Масс.

Мольные

% масс, пл. н.

м3

м3

Газ

Сепарированная нефть

Пластовая нефть

т с.н.

м3 с.н.

Сероводород

Двуокись углерода

 

Азот+редкие

 

 

 

 

 

 

 

 

 

Гелий

 

 

 

 

 

 

 

 

 

Метан

 

 

 

 

 

 

 

 

 

Этан

 

 

 

 

 

 

 

 

 

Пропан

 

 

 

 

 

 

 

 

 

изо-Бутан

 

 

 

 

 

 

 

 

 

н-Бутан

 

 

 

 

 

 

 

 

 

Неопентан

 

 

 

 

 

 

 

 

 

изо-Пентан

 

 

 

 

 

 

 

 

 

н-Пентан

 

 

 

 

 

 

 

 

 

Гексаны

 

 

 

 

 

 

 

 

 

Гептаны

 

 

 

 

 

 

 

 

 

Остаток

Сумма

100,00

100,00

100,00

100,00

100,00

100,00

…*)

 

…**)

Молярная масса,г/моль

*) общее

Молярная масса, остаток,г/моль

-

-

**) только по углеводородам

Плотность при 20°С .... ....

… кг/м3

г/см3   -

 

 

Форма 12а

ИССЛЕДОВАНИЕ ПЛАСТОВОЙ НЕФТИ

Месторождение ……………………..

Скважина ……………………………

Проба № …………………………….

СОСТАВ ГАЗА СТАНДАРТНОЙ СЕПАРАЦИИ

Условия сепарации: 20°С, ……… гПа

Компоненты

Проценты

Объемн.

По массе

Сероводород

 

 

Двуокись углерода

 

 

Азот+редкие

 

 

Гелий

 

 

Метан

 

 

Этан

 

 

Пропан

 

 

изо-Бутан

 

 

н-Бутан

 

 

Неопентан

 

 

изо-Пентан

 

 

н-Пентан

 

 

Гексаны

 

 

Гептаны

 

 

 

100,0

100,0

плотность газа по составу . . . кг/м3

Плотность газа, измеренная . . . кг/м3

__________________

Плотность газа при 20 °С и 1013,25 гПа

 

Форма 13

ИССЛЕДОВАНИЕ ПЛАСТОВОЙ НЕФТИ

ДИФФЕРЕНЦИАЛЬНОЕ

РАЗГАЗИРОВАНИЕ

КОНТАКТНОЕ

Температура . . . °С

Месторождение ………

Скважина ……………..

Проба № ………………

Давление, МПа

Газосодержание, м33

Объемный коэффициент нефти

Плотность нефти, г/м3

Плотность газа, кг/м3

Объемный коэффициент газа, 102

Коэффициент сжимаемости газа

Вязкость газа, мПа·с (расчет)

Газ выделившийся

Газ в растворе

*

**

… (Рпл)

-

-

-

-

-

-

… (Рs)

-

-

-

-

 

 

 

 

 

 

 

 

 

 

 

 

 

 

 

 

 

 

 

 

 

 

 

 

 

 

 

 

 

 

 

 

 

 

 

 

 

 

 

 

Атм.

0

1,000

-

-

Атм. (20 °С

0

1,000

 

-

-

-

-

 

Рис. …

Рис. …

Рис. …

Рис. …

Рис. …

Рис. …

Рис. …

Объем газа при 20 °С и 1013,25 гПа  ГОСТ 2939-63

* За единицу принят объем при атм. давлении и 20 °С

Плотность газа при 20 °С и 1013,25 гПа

** За единицу принят объем при атм. давлении и … °С


Форма 14

ИССЛЕДОВАНИЕ ПЛАСТОВОЙ НЕФТИ

ДИФФЕРЕНЦИАЛЬНОЕ

РАЗГАЗИРОВАНИЕ

КОНТАКТНОЕ

Температура . . . °С

Состав газа на различных ступенях давления (объемные проценты), рис. …

Месторождение ………

Скважина ……………..

Проба № ………………

Компоненты

Давление ступени, МПа

 

 

 

 

Сероводород

Двуокись углерода

Азот+редкие

 

 

 

 

Гелий

 

 

 

 

Метан

 

 

 

 

Этан

 

 

 

 

Пропан

 

 

 

 

изо-Бутан

 

 

 

 

н-Бутан

 

 

 

 

Неопентан

 

 

 

 

изо-Пентан

 

 

 

 

н-Пентан

 

 

 

 

Гексаны

 

 

 

 

Гептаны

 

 

 

 

 

100,0

100,0

100,0

100,0

Плотность газа

при 20°С (расчет), кг/м3

Форма 15

ИССЛЕДОВАНИЕ ПЛАСТОВОЙ НЕФТИ

СТУПЕНЧАТАЯ СЕПАРАЦИЯ ПЛАСТОВОЙ
 Нефти

Месторождение ………

Скважина ……………..

Проба № ………………

Ступени сепарации

I

II

III

 

 

Давление ступени, МПа

 

 

 

 

 

Температура ступени, °С

 

 

 

 

 

Газосодержание, м33

 

 

 

 

 

- по ступеням

 

 

 

 

 

- общее

 

 

 

 

 

Состав газа (объемные %):

 

 

 

 

 

Сероводород

 

 

 

 

 

Двуокись углерода

 

 

 

 

 

Азот+редкие

 

 

 

 

 

Гелий

 

 

 

 

 

Метан

 

 

 

 

 

Этан

 

 

 

 

 

Пропан

 

 

 

 

 

изо-Бутан

 

 

 

 

 

н-Бутан

 

 

 

 

 

Неопентан

 

 

 

 

 

изо-Пентан

 

 

 

 

 

н-Пентан

 

 

 

 

 

Гексаны

 

 

 

 

 

Гептаны

 

100,00

100,00

100,00

100,00

100,00

Молярная масса газа (расчет), г/моль

Плотность газа, при 20 °С, кг/м3

Объемный коэффициент нефти

Объемный коэффициент нефти при пластовых условиях ....

Объемный коэффициент нефти при давлении насыщения ....

Плотность сепарированной нефти при 20 °С, г/см3 ....

______________

Результаты ступенчатой сепарации показаны на рис. ... и рис. …

 

Форма 16

ИССЛЕДОВАНИЕ ПЛАСТОВОЙ НЕФТИ

Месторождение ……………………..

Скважина ……………………………

Проба № …………………………….

ВЯЗКОСТЬ ПЛАСТОВОЙ НЕФТИ ПРИ РАЗЛИЧНЫХ ДАВЛЕНИЯХ И РАЗЛИЧНЫХ ТЕМПЕРАТУРАХ

Давление, МПа

Вязкость мПа·с

Тпл=…°С

Т=…°С

20 °С

 

 

 

 

 

 

 

 

 

 

 

 

На рис. ... представлена зависимость вязкости нефти от давления при различных температурах

Вязкость при пластовом давлении и пластовой температуре

μпл = …мПа·с

Вязкость при давлении насыщения и пластовой температуре определена по графику

μs = … мПа·с

Вязкость сепарированной нефти при 20 °С

μ20° = мПа·с

 

Форма 17

ИССЛЕДОВАНИЕ ПЛАСТОВОЙ НЕФТИ

Месторождение ……………………..

Скважина ……………………………

Проба № …………………………….

ТЕМПЕРАТУРА НАСЫЩЕНИЯ НЕФТИ ПАРАФИНОМ*)

Давление . . . МПа

Плотность нефти

Сепарированная нефть

Температура, °С

Фототок, мкА

Температура, °С

Фототок, мкА

 

 

 

 

 

 

 

 

 

 

 

 

Зависимость фототока от температуры приведена на графике

Температура насыщения пластовой нефти парафином

Тs = … °С

Температура насыщения сепарированной нефти парафином

Т's = … °С

___________

*) По ОСТ 39.034-76

 

Форма 18 Вариант I

ИССЛЕДОВАНИЕ ПЛАСТОВОЙ НЕФТИ

Месторождение ……………………..

Скважина ……………………………

Проба № …………………………….

Рис. . . .

 

Форма 18 Вариант II

ИССЛЕДОВАНИЕ ПЛАСТОВОЙ НЕФТИ

 

Форма ИК. Индивидуальная карточка

Лицевая сторона

Форма ИК. Индивидуальная карточка

Оборотная сторона

ПРИЛОЖЕНИЕ 2

Обязательное

ТИПИЧНЫЕ ГРАФИКИ РЕЗУЛЬТАТОВ ИССЛЕДОВАНИЯ ПЛАСТОВОЙ НЕФТИ

График 1

График 2

График 3

График 4

График 5

График 6

График 7

График 8

График 9

График 10

График 11

График 12

График 13

График 14

График 15

График 16

ПРИЛОЖЕНИЕ 3

Справочное

СЕГРЕГАЦИОННЫЙ СПОСОБ ОТБОРА ГЛУБИННЫХ ПРОБ

Сегрегационный способ позволяет отбирать из двухфазного нефтеводяного потока однофазную пробу нефти. Способ реализуется с помощью специального сегрегационного пробоотборника, состоящего из приемной камеры 1 и сегрегатора 2. На рисунке показана схема отбора пробы нефти из нефтеводяного потока:

а - прибор с убранным сегрегатором 2 опускают на заданную глубину скважины (3 - глобулы нефти, 4 - вода);

б - специальный механизм освобождает сегрегатор, который перемещается вниз, образуя ловушку для всплывающей нефти;

в - в сегрегаторе под действием гравитационных сил происходит разделение нефти и воды; нефть 7, как более легкая, собирается в сегрегаторе, вытесняя из него воду;

г - открывается клапан 6 и нефть, перемещая поршень 5,поступает из сегрегатора в приемную камеру;

д - клапан 6 закрывается, отсекая отобранную однофазную нефть 8 в приемной камере.

Сегрегационный способ позволяет отобрать:

- нефть или воду в двухфазном водонефтяном потоке;

- нефть или газ в двухфазном газонефтяном потоке;

- газ или воду в трехфазном газоводонефтяном потоке.

ПРИЛОЖЕНИЕ 4

Обязательное

ОЦЕНКА ВРЕМЕНИ ПОДХОДА К СКВАЖИНЕ ПРЕДСТАВИТЕЛЬНОЙ НЕФТИ

1. В однородном пласте вокруг скважины, работающей с забойным давлением Рз, ниже давления насыщения рs (при условии, что давление на контуре питания Рк продолжает оставаться выше давления насыщения), образуются две депрессионные области:

I - область двухфазного состояния нефти с перепадом давления Ps-Pз,

II - область однофазного состояния нефти с перепадом давления Рк-Ps.

2. Если повысить забойное давление до величины, большей Ps, и извлечь из пласта весь объем двухфазной нефти, ограниченный изобарой ps, то к скважине подойдет представительная нефть.

3. Необходимое для этого время определяется соотношением:

где: Т - искомое время, сут ;

h - эффективная толщина пласта, м;

m - пористость, доли единицы;

ρн - нефтенасыщенность пласта, доли единицы;

q - дебит скважины на новом режиме, м3/сут в пластовых условиях;

σ - расстояние от центра скважины до контура питания (половина расстояния между скважинами), м;

ξ - гидропроводность, дарси см/мПа·с

q0 - дебит скважины при начальном режиме, см3/с в пластовых условиях.

Рк и Рs - MПa

ПРИЛОЖЕНИЕ 5

Рекомендуемое

ОЦЕНКА СВОЙСТВ ПЛАСТОВОЙ НЕФТИ В ОТДЕЛЬНЫХ ПЛАСТАХ ПРИ ИХ СОВМЕСТНОЙ ЭКСПЛУАТАЦИИ

Если скважина эксплуатирует одновременно несколько пластов, то при изменении режима ее работы относительная доля продукции, поступающей из каждого пласта, в общем дебите скважины не остается постоянной. Если при этом пласты содержат нефть с различными физико-химическими параметрами, то свойства нефтяной смеси в скважине будут зависеть от режима ее работы. Отобранные в такой скважине глубинные пробы не будут характеризовать нефть ни в одном из совместно эксплуатируемых пластов. Необходимо по данным о свойствах смеси и профилям притока определить значения физических параметров нефти в каждом из пластов. Для этого могут быть использованы два способа.

1. Способ отбора проб при различных режимах работы скважины.

В скважине, совместно эксплуатирующей несколько пластов, осуществляют глубинное дебитометрирование на ряде режимов ее работы и отбирают глубинную пробу нефтяной смеси, характерную для данного режима работы скважины. Совместная обработка данных дебитометрирования и результатов исследования глубинных проб смеси позволяет определить свойства нефти в каждом из совместно эксплуатируемых пластов. Указанный способ реализуется по следующей схеме операций.

1.1. Осуществляют дебитометрирование скважины на стольких режимах ее работы, сколько пластов подлежит изучению.

1.2. На каждом режиме работы скважины производят отбор глубинных проб смеси в фонтанной колонне традиционным способом, рис. а.

1.3. По данным дебитометрирования рассчитывают квоты (m) каждого из пластов i для каждого режима I

                                                            (1)

где: (Vi)i, (Vобщ)I продукция, поступающая из отдельного пласта и общий дебит скважины, соответственно при работе скважины на режиме I, (пластовые объемы).

1.4. Исследуют глубинные пробы смеси, отобранные на каждом режиме работы скважины и определяют параметры смеси (А).

1.5. По данным о свойствах смеси и квотам пластов составляю для каждого параметра нефти систему уравнений (2) и рассчитывают свойства нефти в каждом из пластов

                               

                            (2)

…………………………………

                           

где: (m1)I, (m2)I, (m3)I(mn)I - рассчитанные согласно (1) квоты пластов 1, 2, 3, ... n при работе скважины на режиме I;

(m1)II, (m2)II, (m3)II … (mn)II - то же на режиме II и т.д.

AI, AII, … AN - параметры смеси при соответствующих режимах;

х1, х2, х2, … хn - параметры нефти в каждом из пластов.

2. Способ поинтервального отбора проб.

Если условия позволяют осуществить спуск приборов ниже башмака фонтанной колонны, непосредственно в зону дренирования пластов, и отойти от традиционного способа отбора проб внутри фонтанной колонны, то в этом случае может быть использован поинтервальный отбор проб, рис. б. Этот способ предусматривает необходимость только в одном профиле притока, снятом при том режиме работы скважины, при котором целесообразно производить отбор глубинных проб. Пробы отбирают поочередно над кровлей каждого из пластов. Поинтервальный способ отбора глубинных проб реализуется по следующей схеме операций.

2.1. Осуществляют дебитометрирование скважины на том режиме работы скважины, при котором целесообразно производить отбор глубинных проб.

2.2. При этом режиме производят поинтервальный отбор глубинных проб над кровлей каждого из пластов, начиная с нижнего.

2.3. По данным дебитометрирования рассчитывают значения квот каждого из пластов по формуле (1).

2.4. Исследуют глубинные пробы, отобранные над кровлей каждого из пластов, и определяют параметры нефтяных смесей.

2.5. По данным о свойствах смесей и квотам пластов составляют уравнения и рассчитывают свойства нефти в каждом из пластов.

   (3)

а - традиционный способ отбора глубинных проб;

б - поинтервальный способ отбора глубинных проб

ПРИЛОЖЕНИЕ 6

Обязательное

Протокол проверки качества проб

ИССЛЕДОВАНИЕ ПЛАСТОВОЙ НЕФТИ

Определение качества проб

Месторождени ___________________________

Скважина _______________________________

Номер камеры (пробы)

Контрольный параметр

Температура, °С

Дата опробования

Заключение о качестве пробы

 

 

 

 

 

 

 

 

 

 

 

 

 

 

 

 

 

 

 

 

 

 

 

 

 

Подпись:

Этикетка к приемной камере пробоотборника

ИССЛЕДОВАНИЕ ПЛАСТОВОЙ НЕФТИ

 

Этикетка

Приемная камера №

Месторождение __________________

Скважина ________________________

Пластовое давление

МПа

Пластовая температура

°С

Интервал перфорации

м

Глубина отбора

м

Давление на глубине отбора

МПа

Температура на глубине отбора

°С

Давление открытия клапана, давление сдвига поршня, давление насыщения (ненужное зачеркнуть) при __________ °С _________ Мпа

дата отбора ____________________                              Подпись: ________________

 

Протокол перевода пробы в контейнер

ИССЛЕДОВАНИЕ ПЛАСТОВОЙ НЕФТИ

Перевод проб в контейнер

Месторождение ______________________

Скважина ___________________________

Номер камеры

Номер контейнера

Дата перевода

Давление в контейнере, МПа

Температура в контейнере

 

 

 

 

 

 

 

 

 

 

 

 

 

 

 

 

 

 

 

 

 

 

 

 

 

Подпись:

Этикетка к контейнеру

ИССЛЕДОВАНИЕ ПЛАСТОВОЙ НЕФТИ

Этикетка

Контейнер № ______________________

Месторождение _____________________

Скважина __________________________

Пластовое давление

МПа

Пластовая температура

°С

Интервал перфорации

м

Глубина отбора

м

Дата отбора пробы

 

Номера приемных камер, из которых переведены пробы

 

В контейнер переведено _______ см3 и оставлено при давлении _______ Мпа и ________ °С.

Дата перевода пробы в контейнер _________________

Подпись ___________________

ПРИЛОЖЕНИЕ 7

Рекомендуемое

График для нахождения промежуточной температуры

Правило нахождения промежуточной температуры

Для нахождения промежуточной температуры по п. 2.2.6 на горизонтальной шкале откладывают значение пластовой температуры и восстанавливают перпендикуляр до пересечения с наклонной линией графика. Из точки пересечения проводят горизонтальную линию до пересечения с вертикальной шкалой, на которой читают значение промежуточной температуры.

Пример 1. Пластовая температура 77 °C. По графику находят промежуточную температуру 50 °С. Следовательно температуры эксперимента будут: 20, 50 и 77 °С.

Пример 2. Пластовая температура 130 °С. По графику находят промежуточную температуру на границе 70 и 80 °С. Следовательно, температуры эксперимента будут: 20, 80 и 130 °С.

ПРИЛОЖЕНИЕ 8

Обязательное

График для определения давления ступеней в двухфазной области

Правило пользования графиком

Из точки на оси давлений, соответствующей давлению насыщения данной нефти, проводят горизонтальную линию до пересечения с наклонной стороной графика и из точки пересечения опускают перпендикуляр на нижнюю ось. Горизонтальные линии, которые пересечет перпендикуляр, определят возможный ряд ступеней разгазирования. Сплошные линии - обязательные ступени, штриховые - необязательные (допускаемые).

Пример. При давлении насыщения 16,9 МПа возможный ряд ступеней, определяемый по графику: 15, (13), 11, (9), 7, (5), 3, 1 и 0 МПа (необязательные ступени заключены в скобки).

На основании возможного ряда исследователь, в зависимости от газонасыщенности, составляет рабочий ряд, в который входят все обязательные ступени и все (или частично) допускаемые ступени.

Если давление насыщения оказывается равным 10, 15, 20 или 25 МПа, то перпендикуляр будет проходить по границе между ступенями с разным шагом; в этих случаях, разрешается принимать ряд ступеней либо справа либо слева от перпендикуляра.

ПРИЛОЖЕНИЕ 9

Обязательное

ДОПУСТИМЫЕ РАСХОЖДЕНИЯ МЕЖДУ ЗНАЧЕНИЯМИ ИЗМЕРЕННЫХ ПАРАМЕТРОВ

Параметры

Допустимые расхождения, %

Между повторными определениями (для одной пробы)

Между определениями по дублирующим пробам

Давление насыщения

0,5

1,0

Газосодержание

1,0

2,0

Плотность пластовой нефти

0,5

1,0

Объемный коэффициент пластовой нефти

1,0

2,0

Коэффициент сжимаемости

3,0

6,0

Вязкость пластовой нефти

5,0

10,0

Плотность газа

2,0

4,0

Молярная масса нефти

2,0

4,0

 

ПРИЛОЖЕНИЕ 10

Рекомендуемое

РАСЧЕТ ВЯЗКОСТИ ГАЗА

При отсутствии экспериментальных значений вязкости газа, выделяющегося при дифференциальном или контактном разгазировании, соответствующие данные могут быть получены с помощью корреляционных графиков 1, 2, 3 и некоторых дополнительных расчетов.

1. По относительной плотности газовой смеси с помощью графика 1 находят псевдокритическое давление  и псевдокритическую температуру .

2. Для заданного давления Р и температуры Т рассчитывают псевдоприведенное давление  и псевдоприведенную температуру

                                (1)

3. По значениям псевдоприведенного давления и псевдоприведенной температуры с помощью графика 2 находят отношение вязкости μ/μ1 (μ - вязкость при заданных Р и Т, μ1 - вязкость при атмосферном давлении и заданной температуре Т).

4. По относительной плотности газа (или по молярной массе) с помощью графика 3 находят значение вязкости μ1.

5. Рассчитывают искомое значение вязкости при заданных давлении и температуре

                                                   (2)

Пример. Найти вязкость газа μ, выделившегося на первой ступени дифференциального разгазирования. Давление ступени 15,0 МПа (147,1 кгс/см2), температура 77 °С (350,16 К),относи тельная плотность газа 0,745.

1. По графику 1 находят значения псевдокритических давления и температуры, соответствующих относительной плотности газа 0,745.

2. По формуле (1) рассчитывают псевдоприведенные давление и температуру

3. С помощью графика 2 определяют по рассчитанным  и  отношение вязкостей:

4. С помощью графика 3 определяют по плотности газа 0,745 значение вязкости

μ1=0,0115 мПа·с

5. По формуле (2) рассчитывают искомую вязкость при давлении 15,0 МПа и температуре 77°С

μ = 0,0115·1,5=0,017 мПа·с

Рис. 1

Рис. 2

Рис. 3

6. В данном примере газ не содержит неуглеводородные компоненты. Если в составе растворенного газа содержатся неуглеводородные компоненты - сероводород, двуокись углерода или азот, повышающие вязкость газа, то по вспомогательным графикам на рис. 3 определяют значения поправок при соответствующих концентрациях неуглеводородных компонентов. Четыре прямых на графиках соответствуют различным относительным плотностям газа: 0,6; 1,0; 1,5 и 2,0. Значения поправок, полученных на вспомогательных графиках, должны быть прибавлены к значению вязкости μ1, полученной по п. 4.

ПРИЛОЖЕНИЕ 11

Справочное

МЕТОДИЧЕСКИЕ УКАЗАНИЯ К ОБОБЩЕНИЮ РЕЗУЛЬТАТОВ ИССЛЕДОВАНИЯ ПЛАСТОВОЙ НЕФТИ ПО ОБЪЕКТУ В ЦЕЛОМ

1. Результаты обобщения должны быть представлены в виде таблиц и графиков, включающих:

- сводную таблицу результатов исследования по скважинам,

- графики зависимости свойств нефти от глубины,

- карты равных значений параметров,

- графики зависимостей параметров нефти от давления, средние для объекта в целом.

2. Сводную таблицу составляют на основе формы 6, (приложение 1), расширяя ее графой средних значений, графами по числу скважин и дополнительными сведениями, взятыми из форм 4 и 5.

3. На первой странице таблицы пишут порядковые номера строк, названия параметров, единицы измерения, средние значения параметров с ошибками осреднения и значение параметров по каждой скважине. На следующих страницах указывают только порядковые номера параметров (в первой графе) и значение параметров по скважинам. Формат таблицы - А3 по ГОСТ 9327-60.

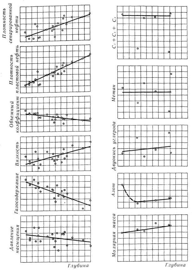
4. Графики зависимости свойств нефти от глубины должны быть построены на основе исследования по комплексу А, расширенному данными о молярной массе и содержании ряда компонентов пластовой нефти (N2, СO2, С1, С24). На рис. 1 представлен один из возможных вариантов таких графиков.

Рис. 1. Вариант зависимости параметров пластовой нефти от глубины залегания пласта

5. Построение графика производят согласно п. 3.4.6.4. По горизонтальной оси должно быть отложено расстояние  от условной отметки (уровень моря, наивысшая точка кровли пласта, ГНК и др.) до середины интервала притока и указаны номера скважин. По вертикальной оси откладывают значения соответствующих параметров.

* представляет собою средневзвешенное по производительности пластов расстояние от условной отметки до середины каждого из работающих интервалов.

Примечание. При отсутствии данных глубинной дебитометрии скважины на режиме отбора проб,  принимают равным расстоянию от условной отметки до середины всего предполагаемого интервала вскрытия h* (рис. 2).

6. Средневзвешенное по производительности пластов расстояние от условной отметки до середины каждого из работающих интервалов  (рис. 2) рассчитывается следующим образом:

                                         (1)

где: h1, h2, h3... - расстояния от условной отметки до середины работающих пластов;

m1, m2, m3 - квоты пластов, приложение 5.

Рис. 2

СВОДНАЯ ТАБЛИЦА РЕЗУЛЬТАТОВ ИССЛЕдОВАНИЯ

Месторождение

Объект

Пласт (горизонт)

 

 

 

 

Средние значения

Скважины

 

1

Интервал вскрытия

м

 

 

2

Пластовое давление

МПа

 

 

3

Пластовая температура

°С

 

 

4

Глубина отбора проб

м

 

 

5

дата отбора проб

 

 

 

6

ДАВЛЕНИЕ НАСЫЩЕНИЯ при пластовой температуре (ОСТ 39-087-79)

МПа

 

 

7

ТЕМПЕРАТУРНЫЙ КОЭФФИЦИЕНТ ДАВЛЕНИЯ НАСЫЩЕНИЯ

МПа/°С

 

 

8

КОЭФФИЦИЕНТ СЖИМАЕМОСТИ

Мпа-1

 

 

9

ТЕМПЕРАТУРНЫЙ КОЭФФИЦИЕНТ ОБЪЕМНОГО РАСШИРЕНИЯ НЕфТИ

1/°С

 

 

10

ГАЗОСОДЕРЖАНИЕ

- по данным стандартной сепарации

- по данным ступенчатой сепарации

- по данным дифференциального разгазирования

- по данным контактного разгазирования

м33

 

 

- потенциальное

%

 

 

11

ОБЪЕМНЫЙ КОЭФФИЦИЕНТ НЕФТИ

при пластовом давлении

- по данным стандартной сепарации

- по данным ступенчатой сепарации

- по данным дифференциального разгазирования

- по данным контактного разгазироваяия

при давлении насыщения

- по данным стандартной сепарации

- по данным ступенчатой сепарации

- по данным дифференциального разгазирования

- по данным контактного разгазирования

 

 

 

12

ПЛОТНОСТЬ ПЛАСТОВОЙ НЕФТИ

- при пластовом давлении

- при давлении насыщения

 

г/см3

 

 

13

ВЯЗКОСТЬ

- при пластовом давлении

- при давлении насыщения

 

мПа·с

 

 

14

ТЕМПЕРАТУРА НАСЫЩЕНИЯ НЕФТИ ПАРАФИНОМ по ОСТ 39-034-76

°С

 

 

15

КОМПОНЕНТНЫЙ СОСТАВ ПЛАСТОВОЙ НЕФТИ

Сероводород

Двуокись углерода

Азот + редкие

Метан

Этан

Пропан

Бутаны

Пентаны

Гексаны +

% масс.

 

 

16

МОЛЯРНАЯ МАССА ПЛАСТОВОЙ НЕФТИ

г/ моль

 

 

 

СЕПАРИРОВАННАЯ НЕФТЬ

 

 

 

17

ПЛОТНОСТЬ по ГОСТ 3900-47

- после стандартной сепарации

- после ступенчатой сепарации

- после дифференциального разгазирования

- после контактного разгазирования

г/см3

 

 

18

ВЯЗКОСТЬ по ГОСТ 33-66

мм2

 

 

19

СОДЕРЖАНИЕ ПАРАФИНА по ГОСТ 11851-66

%

 

 

20

СОДЕРЖАНИЕ СЕРЫ по ГОСТ 1437-75

%

 

 

21

СОДЕРЖАНИЕ АСФАЛЬТСВО-СМОЛИСТЫХ ВЕЩЕСТВ по ГОСТ 11858-66

 

 

 

22

ПЛОТНОСТЬ ГАЗА после стандартной сепарации

кг/м3

 

 

7. Путем математической обработки определяют зависимость параметров от расстояния до условной отметки (П = f(h) и оценивают коэффициент корреляции.

Примечание. Если разброс точек не позволяет найти строгую математическую зависимость, график все равно должен быть включен в число материалов обобщения. Номера скважин могут быть указаны непосредственно на графике давления насыщения возле соответствующих значений параметра.

8. Карты равных значений (при наличии закономерностей) должны быть построены для следующих параметров: давления насыщения (карта изобар насыщения), газосодержания, вязкости, объемного коэффициента и плотности сепарированной нефти. На рис. 3 в качестве примера показана карта изобар насыщения.

9. Графики средних зависимостей параметров от давления должны быть построены для растворенного газа, выделившегося газа, объемного коэффициента нефти, объемного коэффициента газа, вязкости нефти. На рис. 4 в качестве примера показана зависимость среднего значения объемного коэффициента от давления.

Рис. 3. Карта изобар насыщения

Рис. 4. Зависимость объемного коэффициента нефти от давления, средняя по объекту

Примечание. Оформление графиков средних зависимостей производят так же, как при индивидуальном исследовании (приложение 2, графики 6, 7, 10, 12). На графиках может быть указан доверительный интервал и помещена таблица (левая графа - давление, правая - средние значения параметра при данном давлении).

10. По среднему значению давления насыщения, взятому из сводной таблицы, на осредненных графиках находят соответствующие значения параметров при давлении насыщения и сопоставляют их с средними арифметическими значениями параметра. Расхождения должны находиться в пределах допустимых ошибок.

ПРИЛОЖЕНИЕ 12

Справочное

ОПРЕДЕЛЕНИЕ НЕКОТОРЫХ ТЕРМИНОВ, ПРИНЯТЫХ В СТАНДАРТЕ

Термин

Определение

1. Пластовая нефть

Нефть, содержащаяся в пласте в условиях, характерных для него давлений и температур

2. Пластовые условия

Термобарические условия пребывания нефти в пласте

3. Глубинная проба

Образец нефти, взятый из скважины на глубине залегания пласта и соответствующий по составу пластовой нефти

4. Рекомбинированная проба

Искусственно приготовленный образец пластовой нефти, составленный из сепарированной нефти и газа, отобранных на сепарационных установках

5. Давление насыщения пластовой нефти

Давление, при котором в процессе изотермического расширения однофазной пластовой нейти появляются первые признаки свободного газа. Или по ОСТ 39-087-79

6. Глубинный пробоотборник

Скважинный прибор для отбора глубинных проб пластовой нефти

7. Сегрегационный пробоотборник

Пробоотборник, предназначенный для отбора глубинных проб нефти в обводненных скважинах

8. Приемная камера

Часть пробоотборника, предназначенная для приема глубинной пробы, герметизации и сохранения ее

9. Рабочая жидкость

Жидкость, предназначенная для создания давления в пробоотборнике, с целью перемещения пробы нефти

10. Контейнер

Емкость для транспортирования и длительного хранения пробы

11. Потенциальное газосодержание

Отношение суммы всех содержащихся в пластовой нефти углеводородных и неуглеводородных компонентов, агрегатное состояние которых при 20°С и 1013,25 гПа является газовым, к сумме компонентов, являющихся при тех же условиях жидкими, или ко всей исходной пластовой нефти

12. Газосодержание

Количество углеводородов, перешедших в газовую фазу при изменении условий от пластовых до атмосферных и отнесенных к единице объема или массы сепарированной нефти

13. Газосодержание нефти при разных давлениях

Сумма объемов газа, выделившихся в интервале от данного давления до атмосферного, отнесенная к единице объема или массы сепарированной нефти

14. Разгазирование пластовой нефти

Процесс перехода газа из растворенного состояния в свободное. В лабораторной практике используют две формы разгазирования - контактное и дифференциальное, - и вытекающие из них стандартную и ступенчатую сепарации

15. Контактное разгазирование

Форма выделения газа из пластовой нефти, при которой на любом уровне давления весь выделившийся газ находится в равновесии с нефтью.

16. Стандартная сепарация

Частный случай контактного разгазирования, когда выделение газа осуществляется при стандартных условиях - нормальной температуре 20°С (ГОСТ 9249-59, ГОСТ 2939-63) и давлении 1013,25 гПа (допускается текущее атмосферное давление)

17. Дифференциальное разгазирование

Форма выделения газа из пластовой нефти, при которой газ, выделяющийся на каждом бесконечно малом интервале снижения давления, непрерывно отводится из системы; при этом в каждый данный момент времени общее количество выделившегося газа не находится в равновесии с нефтью. На практике осуществляется путем удаления газа из системы после достижения заданных уровней давления (ступеней). Один из видов многократного процесса выделения газа

18. Ступенчатая сепарация

Частный случай дифференциального разгазирования, когда число ступеней, их давление и температура соответствуют существующей системе сепарации нефти на промысле или специально задаются

19. Объемный коэффициент пластовой нефти

Параметр, характеризующий уменьшение объема пластовой нефти при изменении условий от пластовых до 20°С и атмосферного давления. Не является константой пластовой нефти и зависит от условий сепарации

20. Объемный коэффициент газа

Параметр, характеризующий увеличение объема газа при изменении условий от пластовых до 20°С и 1013,25 гПa

21. Коэффициент сжимаемости пластовой нефти

Количественная характеристика объемной упругости пластовой нефти, представляющая отношение относительного изменения объема пластовой нефти при ее изотермическом сжатии (расширении) к приращению давления

22. Температурный коэффициент объемного расширения пластовой нефти

Количественная характеристика теплового расширения пластовой нефти, представляющая отношение относительного изменения объема пластовой нефти при его изобарическом нагревании (охлаждении) к приращению температуры

23. Температурный коэффициент давления насыщения

Приращение величины давления насыщения при изменении температуры на 1°С

24. Коэффициент растворимости газа в нефти

Приращение величины газосодержания в единице объема или массы жидкой нефти при изменении давления на 0,1 МПа

25. Средний коэффициент растворимости газа в нефти

Отношение газосодержания пластовой нефти к величине давления насыщения

26. Сосуд РVT

Сосуд высокого давления, предназначенный для изучения соотношений между давлением, объемом и температурой пластовой нефти

27. РV - изотерма пластовой нефти

Графическое изображение результатов измерений соотношений между давлением и объемом пластовой нефти в процессе ее изотермического расширения

28. Объемный метод определения давления насыщения пластовой нефти

Метод, основанный на интерпретации РV - изотермы пластовой нефти

29. Ступени давления

Задаваемые значения давлений при поинтервальном расширении или сжатии пластовой нефти в процессе ее исследования

30. Подступени

Промежуточные значения давления между соседними ступенями

31. Шаг по давлению

Интервал между соседними значениями ступеней давления в процессе изотермического расширения образца пластовой нефти

32. Шаг по объему

Интервал между соседними значениями объемов образца пластовой нефти, обусловленный величиной шага по давлению

33. Изобары насыщения

Линии равных значений давления насыщения

ПРИЛОЖЕНИЕ 13

Справочное

ОБОЗНАЧЕНИЕ ОСНОВНЫХ ПАРАМЕТРОВ ПЛАСТОВОЙ НЕФТИ

Параметры

Обозначения

Давление насыщения

Ps

Газосодержание

Г

Объемный коэффициент нефти

b

Объемный коэффициент газа

В

Плотность нефти

ρн

Плотность газа

ρг

Вязкость нефти, динамическая

μн

Вязкость газа, динамическая

μг

Коэффициент сжимаемости нефти

β

Коэффициент сжимаемости газа

z

Температурный коэффициент объемного расширения нефти

a

Температурный коэффициент изменения давления насыщения

y

Коэффициент растворимости газа в нефти

a

Примечания:

1. Для обозначения формы выделения газа следует использовать следующие обозначения, проставляемые при необходимости в виде индекса: д - дифференциальное разгазирование, к - контактное разгазирование, ст - стандартная сепарация. При ступенчатой сепарации индекс не проставляется, т.к. должна быть указана использованная схема сепарации.

Индексы проставляют внизу буквенного обозначения параметра. Если параметр имеет свой индекс, то используют скобки. Давление, при котором измерен параметр, проставляют вверху буквенного обозначения.

Например: Гд - газосодержание, измеренное по данным дифференциального разгазирования.

Г - газосодержание, измеренное при cтупенчатой cепарации по схеме: 2,9/53 - 0,8/40 - 0,3/40 - 0,14/37 - атм/37 (Числитель - абсолютное давление ступеней, знаменатель - температура).

 - объемный коэффициент при пластовом давлении и от стандартной сепарации.

 - вязкость нефти при давлении насыщения

2. Все обозначения относятся к параметрам, измеренным при пластовой температуре. Иная температура должна быть указана в обозначении.

Например: (ps)20° - давление насыщения при 20 °С.

 




Яндекс цитирования



   Copyright © 2007-2026,  www.tehlit.ru.

[ ѓосты, стандарты, нормативы, инструкции, правила, строительные нормы ]