//
ТехЛит.ру
- крупнейшая бесплатная электронная интернет библиотека для "технически умных" людей.
WWW.TEHLIT.RU - ТЕХНИЧЕСКАЯ ЛИТЕРАТУРА

:: Алготрейдинг::


АЛГОТРЕЙДИНГ
шаг за шагом
с нуля по урокам!

Торговые роботы на PYTHON, BackTrader,
Pandas, Pine Script для TradingView. Связка с брокерами, телеграм и легкими приложениями.


МИНИСТЕРСТВО ТРАНСПОРТА РОССИЙСКОЙ ФЕДЕРАЦИИ ФЕДЕРАЛЬНОЕ ДОРОЖНОЕ АГЕНТСТВО

инФОРМАвтоДор

Федеральное государственное унитарное предприятие «Информационный центр по автомобильным дорогам»

АВТОМОБИЛЬНЫЕ ДОРОГИ. ИСПОЛЬЗОВАНИЕ СИНТЕТИЧЕСКИХ МАТЕРИАЛОВ В СЛОЯХ ДОРОЖНЫХ КОНСТРУКЦИЙ И ЗЕМЛЯНОМ ПОЛОТНЕ

Тематическая подборка

Москва 2006

СНиП 2.05.02-85. Автомобильные дороги. - Изд. офиц. Введ. 01.01.1987. - М, Госстрой СССР, 2001. -55 с.

Извлечение

Настоящие нормы и правила распространяются на проектирование вновь строящихся и реконструируемых автомобильных дорог Союза ССР общего пользования и подъездных дорог к промышленным предприятиям.

Настоящие нормы и правила не распространяются на проектирование временных автомобильных дорог различного назначения (сооружаемых на срок службы менее 5 лет), автозимников, дорог лесозаготовительных предприятий, внутренних дорог промышленных предприятий (испытательных, внутриплощадочных, карьерных и т.п.), внутрихозяйственных автомобильных дорог в колхозах, совхозах и других сельскохозяйственных предприятиях и организациях.

УКРЕПЛЕНИЕ ЗЕМЛЯНОГО ПОЛОТНА И ВОДООТВОДНЫХ СООРУЖЕНИЙ И СПЕЦИАЛЬНЫЕ ГЕОТЕХНИЧЕСКИЕ КОНСТРУКЦИИ

6.64. Типы укрепления откосов земляного полотна и водоотводных сооружений должны отвечать условиям работы укрепляемых сооружений, учитывать свойства грунтов, особенности погодно-климатических факторов, конструктивные особенности земляного полотна и обеспечивать возможность механизации работ и минимум приведенных затрат на строительство и эксплуатацию. При назначении вида укрепления следует разрабатывать варианты и учитывать условия и время производства работ по сооружению земляного полотна и его укреплению.

Подтопляемые откосы насыпей следует защищать от волнового воздействия соответствующими типами укреплений в зависимости от гидрологического режима реки или водоема.

При соответствующем технико-экономическом обосновании взамен укреплений допускается применять уплотнение откосов (пляжный откос). Крутизну устойчивого к водному воздействию откоса следует определять расчетом в зависимости от гидрологических и климатических условий и вида грунта насыпи. Ориентировочно крутизну пляжного откоса допускается принимать по табл. 26.

6.65. При технико-экономическом обосновании для укрепления откосов допускается использовать геотекстильные материалы. Геотекстильные прослойки при укреплении откосов выполняют роль покрытия, защищающего откос от эрозии, улучшающего развитие травяного покрова и армирующего дернину, ограждения, ограничивающего деформации грунта в поверхностной зоне откоса, обратного фильтра в креплениях подтопленных откосов сборными элементами или каменной наброской.

На геотекстильном полотне, выходящем на поверхность, необходимо устраивать защитное покрытие путем обработки органическим вяжущим (битумной эмульсией) с расходом 0,5-1,0 кг/м2. При необходимости существенного повышения жесткости и уменьшения водопроницаемости геотекстильного покрытия в креплениях водоотводных сооружений необходимо предусматривать двух-, трехразовую обработку геотекстильного полотна вяжущим с посыпкой песком.

6.66. Защитные и удерживающие сооружения, применяемые при возведении земляного полотна, следует проектировать индивидуально на основе специальных нормативных документов. При этом необходимо учитывать условия их строительства и эксплуатации.

Рекомендации по применению геосинтетических материалов при строительстве и ремонте автомобильных дорог. - Изд. офиц. - Отрасл. дор. метод, док. /М-во трансп. Российской Федерации, Гос. служба дор. хоз-ва (Росавтодор). - М., 2003. -152 с.

Документ содержит правила применения геосинтетических материалов, в том числе геотекстильных нетканых и тканых материалов, георешеток, геокомпозитов, геооболочек для основных областей применения в дорожном строительстве - при выполнении земляных работ, устройстве и ремонте дорожных одежд, дренажей, сооружений, поверхностного водоотвода, для обеспечения устойчивости откосов. В документе приводятся требования к геосинтетическим материалам, методам контроля их свойств, общие конструктивные решения, особенности назначения и расчетного обоснования конструктивных решений, а также технологии производства работ, необходимый справочный материал. Он применяется при проектировании вновь строящихся, реконструируемых и ремонтируемых автомобильных дорог, назначении технологии производства работ, разработке альбомов типовых конструкций, технологических карт. Документ также может использоваться производителями геосинтетических материалов при разработке, производстве, контроле качества материалов и разработке документов соответствия.

Документ предназначен для работников системы дорожного хозяйства, а в части требований к геосинтетическим материалам - также и для работников предприятий-изготовителей материалов.

ТЕРМИНЫ, ОПРЕДЕЛЕНИЯ, УСЛОВНЫЕ ОБОЗНАЧЕНИЯ

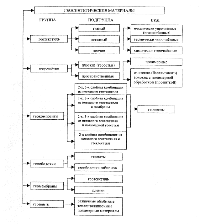
Геосинтетические материалы - класс строительных материалов, как правило, синтетических, а также из другого сырья (минерального, стекло- или базальтовые волокна и пр.), поставляемых в сложенном компактном виде (рулоны, блоки, плиты и др.), предназначенных для создания дополнительных слоев (прослоек) различного назначения (армирующих, дренирующих, защитных, фильтрующих, гидроизолирующих,

теплоизолирующих) в строительстве (транспортном, гражданском, гидротехническом) и включающий следующие группы материалов: геотекстильные материалы, георешетки, геокомпозиты, геооболочки, геомембраны, геоплиты и геоэлементы.

Геотекстильный материал - поставляемое в рулонах сплошное водопроницаемое тонкое гибкое нетканое, тканое, трикотажное полотно, получаемое путем скрепления волокон или нитей механическим (плетение, иглопробивание), химическим (склеивание), термическим (сплавление) способами или их комбинацией.

Георешетка - плоский рулонный материал с ячейками линейных размеров от 1 см (геосетка), выполняющий преимущественно армирующие функции, или объемный материал с ячейками высотой от 3 см, поставляемый в виде блоков слоев со сложенными ячейками (пространственная георешетка1), выполняющий преимущественно защитные функции по отношению к заполнителю ячеек (грунту, крупнопористым минеральным материалам - щебню, гравию, шлаку, материалам, обработанным вяжущим и др.).

Геокомпозит - поставляемый в рулонах или блоках материал из 2-х или более слоев, создаваемый из различных геотекстильных материалов, геотекстильных материалов и геосеток для более эффективного выполнения отдельных функций, например, геосетки, объединенные с полотном из нетканого геотекстильного материала для усиления покрытий (армогеокомпозит), или фильтр из тонкого нетканого геотекстильного материала, объединенный с создающим объем нетканым высокопористым геотекстильным материалом для дренирования дорожных конструкций (геодрена).

Геооболочка - геотекстильный материал или геосетка, образующие объемные оболочки для заполнения их другими строительными материалами, как правило, на месте производства работ. Например, мешки-контейнеры из геотекстильного материала, заполненные песком (геоматы для укрепления откосов), сборные контейнеры из геосеток с заполнением крупнофракционным материалом (габионы).

Геомембрана - сплошное водонепроницаемое рулонное полотно из геотекстильного, обработанного вяжущим, в том числе на месте производства работ, материала или рулонный пленочный материал для создания гидроизолирующих прослоек. В некоторых случаях геомембраны поставляют с заполнителем, например, геооболочка из нетканого геотекстильного материала с заполнителем - порошком из бентонитовой глины.

Геоплита - сплошной теплоизоляционный материал в виде плиты, например, пенопласт.

Геоэлемент - отдельные элементы, не образующие сплошного полотна в виде волокон, тросов, узких лент, выполняющие, как правило, функции армирования, в том числе дискретного.

1. ОБЩИЕ ПОЛОЖЕНИЯ

1.1. Настоящие Рекомендации предназначены для нормативного обеспечения применения геосинтетических материалов (ГМ) при строительстве, реконструкции и ремонте автомобильных дорог общего пользования. Они могут быть также использованы при назначении конструктивно-технологических решений по другим объектам транспортного строительства, в частности, автомобильным дорогам промышленных и сельскохозяйственных предприятий, временным автомобильным дорогам, подъездным путям, площадкам для остановки и стоянки автомобилей и.т.д. Положения разделов 2, 3 Рекомендаций должны быть учтены также производителями ГМ.

1.2. Рекомендации регламентируют применение группы геосинтетических материалов, прежде всего, геотекстильных, а в части отдельных апробированных конструктивно-технологических решений - также георешеток, геокомпозитов, геооболочек, геомембран. Не рассматриваются относящиеся к числу геосинтетических материалов:

геоплиты, поскольку дорожные конструкции с теплоизолирующими слоями из таких материалов проектируются в соответствии с другими документами (ОДН 218.046-01, для зоны вечной мерзлоты - специальными региональными нормативно-техническими документами);

геоволокна (полимерные, стекловолокна), поскольку технология дискретного армирования покрытий или грунтов разработана для опытного применения.

1.3. Рекомендации направлены на решение задач: назначения оптимальных конструктивных решений при создании дополнительных слоев (прослоек) из геосинтетических материалов различного назначения в основании земляного полотна, в земляном полотне, на откосах, в дорожной одежде, а также в дренажных устройствах и сооружениях поверхностного водоотвода;

назначения оптимальной технологии производства работ;

обоснованного выбора конкретного геосинтетического материала.

1.4. Основная цель применения ГМ - обеспечение надежного функционирования автомобильной дороги или отдельных ее элементов в сложных условиях строительства и эксплуатации, а также при наличии технических или экономических преимуществ по отношению к традиционным решениям. Устройство дополнительных слоев из ГМ позволяет повысить эксплуатационную надежность и сроки службы дорожной конструкции или отдельных ее элементов, качество работ, упростить технологию строительства, сократить сроки строительства, уменьшить расход традиционных дорожно-строительных материалов, объемы земляных работ, материалоемкость дорожной конструкции.

1.5. Эффективность конструктивно-технологических решений с созданием дополнительных слоев (прослоек) на основе ГМ определяется возможностью выполнения ими избирательно или в комплексе следующих функций:

армирование - усиление дорожных конструкций насыпей (в том числе откосов), оснований в результате перераспределения ГМ напряжений, возникающих в грунтовом массиве, дорожной одежде при действии нагрузок от транспортных средств и собственного веса;

защита - предотвращение или замедление процесса эрозии грунтов, предотвращение взаимопроникания материалов контактирующих слоев;

фильтрование - предотвращение (замедление) процесса проникания грунтовых частиц в дренажи (фильтр) или их выноса (обратный фильтр);

дренирование - ускорение отвода воды;

гидроизоляция - уменьшение или исключение притока воды в грунты рабочего слоя земляного полотна.

1.6. Эффективность и возможность выполнения ГМ перечисленных в п. 1.5 функций определяется их видом, показателями свойств (п. 2), соответствием показателей свойств требованиям (п. 3 настоящих Рекомендации). Выбор конкретной марки ГМ из числа возможных при реализации принятого конструктивно-технологического решения выполняют на основе сопоставления показателей свойств и стоимости различных марок ГМ.

1.7. Помимо показателей свойств, определяемых и контролируемых производителем ГМ в соответствии с действующим и государственными стандартами, настоящие Рекомендации вводят дополнительно показатели свойств, требуемые для полной характеристики ГМ, предназначенных для применения в транспортном строительстве. Их определение является обязательным при постановке продукции на производство. Показатели свойств ГМ, определяемые при контроле качества, дифференцированы в зависимости от вида контроля.

1.8. При проектировании дорожных конструкций должно быть учтено изменение (ухудшение) исходных значений показателей свойств ГМ в процессе эксплуатации в отношении основных для рассматриваемого решения показателей свойств. В разделах 4-7 настоящих Рекомендаций такое изменение учитывается введением понижающих коэффициентов, обоснованных экспериментально. В отношении прочности ГМ - показателя свойств, подлежащего регламентации практически во всех случаях, - методика учета снижения в процессе эксплуатации представлена в Рекомендациях.

При выполнении расчетов и окончательном выборе ГМ следует принимать расчетные значения характеристик ГМ, учитывающие условия работы ГМ в дорожных конструкциях, особенности методик определения свойств ГМ, устанавливаемые в технических документах соответствия допуски по показателям свойств. В частности, следует учитывать однородность по поверхностной плотности, гарантируемую поставщиком при оценке показателей свойств ГМ.

1.9. Назначение конструктивно-технологических решений дорожных конструкций с дополнительными слоями (прослойками) из ГМ выполняют в соответствии с действующими нормативными документами и положениями настоящих Рекомендаций, дополняющих эти документы с учетом особенностей таких прослоек. Выбор решения выполняют на основе технико-экономического сопоставления вариантов. При этом следует учитывать возникающий в сопоставлении с традиционными решениями технический эффект, связанный с повышением надежности дорожных конструкций, качества строительства, долговечности, что не всегда может быть точно оценено количественно. При строительстве, реконструкции и ремонте автомобильных дорог, особенно высоких технических категорий, а также в сложных погодно-климатических и грунтово-гидрологических условиях наличие такого эффекта при его надлежащем техническом обосновании может оказаться более существенным с точки зрения работоспособности, транспортно-эксплуатационных качеств дорожной конструкции, чем получение единовременной экономии средств по другим из сопоставляемых вариантов.

2. КЛАССИФИКАЦИЯ И ОСНОВНЫЕ СВОЙСТВА ГЕОСИНТЕТИЧЕСКИХ МАТЕРИАЛОВ

2.1. Геосинтетические материалы представляют собой класс строительных материалов, различающихся по структуре, технологии производства, показателям свойств, составу сырья. Их объединяет удобная форма поставки (рулоны, блоки, плиты), возможность обеспечения высокого качества ГМ в условиях заводского изготовления, то есть возможность создания дополнительных слоев (прослоек) гарантированного качества при минимальных трудозатратах на месте производства работ и минимальных относительных транспортных расходах. Их назначение, области применения, выполняемые функции различаются. Для упрощения возможного предварительного выбора ГМ представлена классификация геосинтетических материалов по структуре-технологии производства, достаточная для регламентации их применения в названной области.

2.2. Область, эффективность и целесообразность применения синтетических рулонных материалов определяются их свойствами, которые зависят от состава сырья, технологии производства и структуры.

2.3. Общая характеристика ГМ по наиболее распространенному сырью изготовления (полиамид, полиэфир и полипропилен) приведена в табл. 2.1.

2.4. Предпочтительным видом сырья для изготовления ГМ дорожного назначения является полиэфир. Следует ограничивать применение полиамидных ГМ в кислотных средах (рН<5,0), полипропиленовых - в условиях длительного действия значительной по величине нагрузки, полиэфирных - на контакте со слоями, содержащими известь, цемент, в других щелочных средах с рН>9.

Следует также предъявлять более жесткие требования по транспортировке и укладке полипропиленовых и полиамидных ГМ с точки зрения светового воздействия или использовать разновидности ГМ из сырья, стабилизированного по отношению к воздействию ультрафиолетового излучения. ГМ из вторичного сырья, в том числе содержащего несинтетические компоненты, могут быть использованы только в качестве временной прослойки, например, для защиты откосов на период формирования биологического типа укрепления. Требуемые минимальные значения показателей свойств должны при этом соблюдаться.

2.5. Наиболее распространенная группа материалов из состава геосинтетических - геотекстильные, прежде всего, нетканые, а также тканые и прочие - трикотажные (вязаные), плетеные, нитепрошивные, биотекстили из несинтетического сырья.

Тканые материалы имеют регулярную структуру, повышенную прочность, высокий модуль упругости, но не обладают достаточной водопроницаемостью в плоскости полотна. Такие материалы целесообразно применять в случаях, когда прослойки должны выполнять функции армирования, защиты, но не дренирования. Различают одноосные тканые ГМ (усиленные в одном, обычно продольном, направлении) и двухосные, имеющие близкие значения механических характеристик в продольном и поперечном направлениях.

Свойства нетканых геотекстильных материалов, представляющих собой хаотичное переплетение коротких или длинных волокон, зависят от способа упрочнения (соединения волокон). Нетканые геотекстильные материалы упрочняют механическим, термическим или химическим способами. Механические упрочненные (иглопробивные) нетканые материалы отличаются достаточной прочностью, высокой деформативностью, защитными свойствами, водопроницаемостью в плоскости полотна и направлении, ей нормальном. Их основные функции - дренирование и защита, в отдельных случаях при возникновении больших деформаций - армирование (например, при укладке в основание тонкой насыпи временной дороги). Термически упрочненные нетканые материалы имеют небольшую деформативность, применимы для выполнения функций защиты, в отдельных случаях армирования, но не дренирования. При химическом упрочнении (склеивании) свойства получаемых полотен определяются видом связующего. Такие материалы могут быть подвержены быстрому старению в условиях эксплуатации, в связи с чем срок их службы должен быть технически обоснован.

При комбинированном упрочнении сочетают обычно механический и термический способ упрочнения, что дает возможность улучшить механические характеристики при некотором ухудшении водно-физических свойств по отношению к механически упрочненным нетканым материалам.

2.6. Плоские георешетки (геосетки) отличаются высокими механическими характеристиками и применяются для создания армирующих прослоек. Полимерными геосетками армируют основания дорожных одежд из крупнофракционных материалов, откосы насыпей, геосетками из стекло- или базальтового волокна -верхние слои дорожных одежд из разного вида асфальтобетонов. Геосетки обычно имеют ячейки с линейными размерами 5-40 мм. Наличие и размер ячеек, толщина элементов определяют механические характеристики материалов и степень их связи с материалами контактирующих слоев.

Геосетки из стекло- или базальтового волокна имеют более высокие механические характеристики, однако их свойства менее стабильны в сравнении с полимерными геосетками по отношению к возможным агрессивным воздействиям в процессе эксплуатации. Они должны иметь специальную обработку - пропитку, обеспечивающую необходимый срок службы.

Различают одноосные и двухосные георешетки (аналогично тканым ГМ).

2.7. Пространственные георешетки имеют сотовую структуру при размере ячеек в плане 200-400 мм и высоте 50-200 мм. Они поставляются в блоках в сложенном виде, в разложенном виде размеры в плане обычно 2,5×6-15 м. Применяются для укрепления откосов в сочетании с различным заполнением ячеек, армирования нижних слоев дорожных одежд, насыпей. Стенки ячеек могут иметь рифление, отверстия по отдельным стенкам для пропуска полимерных тросов с последующим созданием анкерного удерживающего крепления на поверхности откоса и для пропуска воды.

2.8. Геокомпозиты в виде геодрен - многослойные рулонные или блочные материалы, обладающие высокой водопропускной способностью в плоскости полотна. Используются как дренирующий слой при создании плоскостного дренажа в дорожной конструкции, перехватывающего дренажа в обводненных выемках и др. Основная разновидность - два слоя фильтра из нетканого геотекстильного материала с жестким каркасом между ними из полимерной геосетки или менее жестким из высокопористого нетканого материала толщиной обычно 10-30 мм. Имеются разновидности с заменой слоя (слоев) фильтра на геомембрану (перехватывающий дренаж) с устройством фильтра только по одной плоскости материала.

2.9. Геокомпозиты из нетканого геотекстильного полотна и объединенной с ним геосетки из стекло- или базальтового волокна применяются для армирования покрытий (армогеокомпозиты). Наличие нетканого полотна обеспечивает лучшие условия по контакту с материалами окружающих слоев и лучшее выполнение функций по исключению (снижению) процесса проявления "отраженных" трещин, наличие геосетки обеспечивает армирование вышележащего слоя асфальтобетонного покрытия.

2.10. Геооболочки в виде геоматов - объемные из нерегулярно сплавленных волокон или объединенные в отдельных местах два слоя нетканых геотекстильных материалов с образованием открытых с одной стороны емкостей для заполнителя. Заполнение геоматов выполняется, как правило, на месте производства работ. Основное назначение - укрепление откосов.

2.11. Геооболочки габионов - плоские геосетки, поставляемые в виде многослойных блоков, собираемых на месте производства работ в объемные элементы, с линейными размерами, как правило, 2×3-6 м, толщиной 0,4-1,0 м, разделенные на секции с линейными размерами 0,5-1,0 м. Геооболочки габионов заполняются на месте производства работ минеральным заполнителем и служат для повышения общей и местной устойчивости откосов. Имеются различные разновидности, в частности, обеспечивающие заделку габиона в тело насыпи.

2.12. Геомембраны - гидроизоляционные материалы на основе пленочных или обрабатываемых вяжущим, как правило, на месте производства работ, нетканых ГМ. Последние отличаются большей надежностью вследствие, прежде всего, повышенной стойкости к возможным местным повреждениям в процессе строительства и эксплуатации. Кроме того, геомембраны на основе нетканых геотекстильных материалов имеют более широкую область применения - помимо создания гидроизолирующих прослоек для снижения притока воды в рабочий слой земляного полотна применимы также для укрепления сооружений поверхностного водоотвода.

Разновидность геомембран - нетканые геотекстильные материалы, выпускаемые с заполнителем в виде порошка бентонитовой глины, образующей при увлажнении водонепроницаемый слой.

Руководство по укреплению конусов и откосов земляного полотна автомобильных дорог с использованием геотекстильных материалов и металлических сеток / Союздорнии. - М., 2002. - 36 с.

Извлечение

2. КОНСТРУКЦИИ УКРЕПЛЕНИЯ

2.1. В настоящем Руководстве представлены конструкции, апробированные на объектах дорожного строительства, с использованием следующих материалов:

волоконных матов с посевом трав;

объемных пластиковых решеток;

рулонных синтетических материалов;

габионов из рулонных синтетических материалов или металлических сеток;

различных комбинаций указанных материалов в конструкциях.

2.2. Конструкция укрепления в зависимости от конкретных условий должна обеспечивать в комплексе с капитальными решениями и другими мероприятиями местную устойчивость, а также общую путём облицовки поверхности откоса в течение всего срока службы при заданных условиях эксплуатации дороги и удовлетворять эстетическим требованиям.

2.3. При выборе типа конструкции укрепления следует учитывать:

физико-механические свойства грунтов, слагающих откос или конус;

погодно-климатические факторы региона строительства;

гидрологический режим подтопления (для подтопляемых откосов), а также гидрогеологический режим;

высоту насыпи (глубину выемки);

крутизну откоса;

возможность использовать местные строительные материалы для проведения укрепительных работ (например, для заполнения ячеек георешеток).

2.4. Окончательный вариант конструкции укрепления выбирается с учетом геометрии укрепляемого конуса (откоса) и технико-экономического сопоставления с альтернативными вариантами, предусматривающими применение традиционных материалов, геосинтетических материалов или металлических сеток, стоимостных характеристик, эксплуатационных затрат, долговечности сооружения и экологичности применяемых материалов, ремонтопригодности конструкции, затрат на сооружение укрепления и т.д.

2.5. Волоконные маты. Конструкции укрепления с использованием волоконных матов, например типа Enkamat, применяются для обеспечения местной устойчивости конусов (откосов), в основном для защиты от эрозионных процессов, и состоят из следующих элементов:

уплотненного поверхностного слоя грунта откоса или конуса;

волоконного мата толщиной 1-3 см;

анкеров, как правило, в виде деревянных колышков длиной 20-40 см;

растительного грунта с семенами трав.

Волоконный мат типа Enkamat представляет собой объемную структуру, выполненную из переплетенных неупорядоченных волокон. Мат заполняется растительным грунтом с посевом семян трав и служит для защиты от эрозии, вымывания растительного грунта и семян трав. Допускается применять волоконные маты на поверхности конуса (откоса) без засыпки растительным грунтом.

Материал типа Enkamat изготавливается из полиамидных волокон и имеет следующие технические характеристики: плотность - 25 кг/м2; прочность на растяжение в продольном направлении - 1,5-3,0 кН/м; соединение волокон в местах пересечения - сплавление; высокая сопротивляемость погодным условиям и солнечной радиации благодаря стабилизаторам; высокая химическая стойкость к грунтовой агрессии; термическая стойкость - от минус 30 до 100°С.

На основе материала типа Enkamat изготавливаются следующие композиты:

Enkamat S - мат Enkamat, жестко скрепленный с армирующей плоской георешеткой из полиэфира, благодаря чему прочность мата увеличивается до 110 кН/м.

Enkamat A - геокомпозит из мата Enkamat, заполненного минеральным фильтром (например, из щебня), частицы которого связаны друг с другом и с волокнами мата битумом. Обладает хорошей гибкостью и проницаем для воды и корней растений.

Enkazon - дерн, выращенный на мате Enkamat в оптимальных для образования травяного покрова условиях, что обеспечивает мгновенную зелёную защиту откоса. Производится только по специальному заказу.

2.6. Объёмные георешетки. Конструкции с ними представляют собой более мощные по сравнению с волоконными матами композиции на основе гибких компактных модулей, состоящих из полиэтиленовых лент (или изготовленных из полиэфирных волокон), скрепленных металлическими «скрепками» или сшивкой механическим степлером. Площадь одного модуля в зависимости от типа объёмной решётки может доходить до 150 м2.

Предназначены для укрепления конусов путепроводов и малых мостов, откосов насыпей в условиях, когда травосеяние неэффективно или невозможно (например, в I дорожно-климатической зоне), откосов водоотводных канав и в других аналогичных случаях.

2.7. Конструкция укрепления с использованием модулей объемных георешеток проста и технологична. Она позволяет изменять в широком диапазоне размеры ячеек и объем, а также материал для заполнения.

2.8. Объёмные пластиковые георешетки из полиэтиленовых лент. В общем случае конструкция такого типа укрепления состоит из следующих элементов:

разделительной и (или) дренирующей прослоек из рулонного геосинтетического нетканого материала, уложенных на уплотненный слой грунта;

объемного модуля, представляющего собой георешетку с прямоугольными ячейками или стенками, расположенными под углом к основанию (косоугольная решетка);

монтажных анкеров;

несущих анкеров;

заполнителя;

упора;

дополнительных элементов, например, водоотводного лотка

2.9. В качестве материала для устройства разделительной или дренирующей прослойки рекомендуется применять нетканый геотекстильный материал с плотностью не менее 250 г/м2, имеющий, как правило, высокий коэффициент фильтрации (вдоль волокна - не менее 10 м/сут, поперек - 20 м/сут). Допускается использовать другие синтетические материалы: тканые геотекстильные материалы, геосетки и плоские георешетки. Требования к указанному элементу устанавливаются проектом в зависимости от крутизны откоса (конуса) и погодно-климатических факторов.

2.10. В настоящее время в отечественной и зарубежной практике широко применяются следующие гибкие модули георешеток: Геомат, Armater, Geoweb, Tenweb, Prestorus, Wolta, Тегах. Webtec, ОАО «494 УНР», ООО «Геотехкомплекс». Такие модули выпускаются как отечественными, так и зарубежными производителями. Из отечественных пластиковых объёмных георешёток наибольшее распространение получили конструкции, выпускаемые УНР-494 (Прудон) и фирмой «Геотехкомплекс».

2.11.Модули могут состоять из сплошных или перфорированных лент, на которых имеются специальные отверстия заданного диаметра для пропуска (дренирования) поверхностных вод.

2.12. В качестве прототипа всех выпускаемых пластиковых объёмных георешёток служат варианты объёмных модулей Geovveb. Конструкции укрепления на их основе (в том числе, созданные отечественными производителями) обладают большими жёсткостью и массой по сравнению с объёмными георешётками из лент на основе полиэфира, полипропилена или их смесей и с соответствующими укрепительными добавками.

2.13. Георешетки типа Geoweb (США), включая все образцы на их основе, получают путем скрепления (соединения) в пакет полиэтиленовых лент таким образом, чтобы при растяжении получить объемную ячеистую конструкцию. Оптимальные размеры георешеток (высоту и площадь ячейки) устанавливают в зависимости от крутизны откоса (конуса), прочностных характеристик грунтов откосов насыпей, выемок, конусов, характера и степени воздействий погодно-климатических и гидрометеорологических факторов.

2.14. Конструкция георешеток Tenweb (Италия) отличается от вариантов георешеток Geoweb способом соединения полиэтиленовых лент: их скрепляют не по всей высоте ленты, а только в верхней и нижней частях. Это позволяет обеспечить дренаж без устройства специальных отверстий, как в Presto Geoweb. По типоразмерам георешётка Tenweb аналогична георешетке Geoweb. Для улучшения дизайна в полиэтилен добавляется пигмент зеленого цвета.

2.15. Для укрепления откосов с углом наклона α > 40°, т.е. с коэффициентом заложения менее 1, целесообразно применять георешетки с ячейками, стенки которых наклонены под углом β =π/2 - α (косоугольные георешетки), что позволяет удерживать значительно больший объем грунта.

2.16. Георешетки типа Armater (Франция, Голландия), Туймазы (Башкирия) изготавливают из лент термоскреплённого материала, как правило, на основе полиэфирных волокон (полиэстер) с добавлением расплавленной резины для обеспечения эластичности. Удельная плотность материала 350 г/м2, толщина 1,9 мм, прочность при разрыве 20 кН/м, относительное удлинение 25-27 %. Ячейки, выполненные в форме шестигранника с длиной стороны 20; 25 или 3 0 см, высотой 5-20 см, заполняют любым строительным материалом, а также растительным грунтом с посевом семян трав. Применяются такие георешётки для немедленной защиты поверхности откосов большой площади (например, откосы высоких насыпей и глубоких выемок) от эрозии и других нарушений местной устойчивости.

Методические рекомендации по применению объемной георешетки типа «геовеб» при сооружении автомобильных дорог в районах вечной мерзлоты Западной Сибири (для опытного строительства)/ В.Д. Казарновский, С.Е. Гречишев, Е.С Пшеничникова, Ю.Б. Шешин. - Союздорнии. М., 2003. - 49 с.

Содержат указания по проектированию и строительству дорожных конструкций, включающих объемные георешетки типа «Геовеб», на опытных участках автомобильных дорог. Применяются для строительства дорог в зоне вечной мерзлоты Западно-Сибирского региона. Общая часть рекомендаций, не связанная непосредственно с особенностями природных условий, может быть использована также для проектирования и строительства опытных участков дорог в других регионах.

Извлечение

1. ОБЩИЕ ПОЛОЖЕНИЯ

1.1. Настоящие Методические рекомендации предназначены для проектирования и строительства в условиях зоны вечной мерзлоты Западно-Сибирского региона опытных участков автомобильных дорог с применением в конструкциях дорожных одежд, элементах земляного полотна и защитных укреплений поверхности прилегающих территорий, объемных георешеток типа «Геовеб».

Целью разработки Методических рекомендаций является возможность получения практического опыта в применении георешетки «Геовеб» и на их основе в перспективе разработка соответствующих нормативных документов.

Настоящие Методические рекомендации разработаны на основе обобщения зарубежного опыта и проведенных Союздорнии исследований, в том числе на объектах Газпрома, построенных с использованием георешетки «Геовеб».

Методические рекомендации могут применяться также при строительстве дорог и в других природных условиях, в той части, которая не связана непосредственно с особенностями природных условий зоны вечной мерзлоты Западно-Сибирского региона.

Во всех случаях для принятия решения о применении георешетки «Геовеб» в зоне вечной мерзлоты следует предварительно выполнить инженерно-геокриологический прогноз в целях оценки возможного проявления криогенных процессов, их состава и интенсивности на отдельных участках проектируемых автомобильных дорог и возможности эффективного использования «Геовеба» с учетом этих процессов.

1.2. При разработке настоящих Методических рекомендаций, кроме результатов собственных исследований Союздорнии и материалов, предоставленных ЗАО «ПРЕСТО-РУСЬ», учитывались данные исследований и других отечественных организаций, опубликованные документы по применению геосинтетики в дорожных конструкциях вне зоны вечной мерзлоты.

1.3. Поскольку опыт применения «Геовеба» в условиях рассматриваемого региона практически отсутствует, при строительстве дорог с использованием настоящих Методических рекомендаций следует предусматривать соответствующее научное сопровождение как на стадии изысканий, проектирования и строительства, так и на стадии их эксплуатации. При этом должны быть предусмотрены натурные наблюдения за поведением конструкций, в которых используется «Геовеб», во времени.

Результаты указанных наблюдений, как и опыт проектирования и строительства, должны быть использованы для уточнения и дополнения настоящих Методических рекомендаций, с тем чтобы последние легли в основу нормативно-технического или методического документа, предназначенного для широкого применения.

1.4. «Геовеб» представляет собой сотовую структуру из пластика, объемную георешетку, которая при использовании в конструктивном слое способна играть роль армирующего элемента. При заполнении ячеек «Геовеба» тем или иным материалом образуется композитная система, обладающая прочностью на растяжение и распределяющей способностью, как некоторый квазиоднородный слой. Механические свойства этой системы определяются герметрическими параметрами объёмной георешетки, свойствами заполнителеля ячеек, а также характером взаимодействия заполнителя с георешеткой.

1.5. Композитный слой «Геовеб» + заполнитель может использоваться:

в дорожной одежде в качестве альтернативы слоев из грунта и каменных материалов, укрепленных вяжущими;

в укреплении обочин;

в покрытиях стояночных площадок, пешеходных дорожек и т. п.;

в укреплении откосов насыпей и выемок;

в укреплении кюветов и канав;

в укреплении грунтовых поверхностей придорожных территорий;

в основании дорожных насыпей, сооружаемых на слабых основаниях;

в теле дорожных насыпей, возводимых с откосами повышенной крутизны.

Наряду с этим указанный композитный слой может применяться в качестве армирующих элементов в армогрунтовых подпорных сооружениях и других геотехнических конструкциях.

1.6. Применительно к дорожному строительству слои на основе «Геовеба» могут использоваться в том или ином качестве при строительстве дорог любого уровня - как общей сети, так и промысловых, промышленных, патрульных, городских, сельскохозяйственных дорог, а также подъездов и временных проездов.

Дорожно-строительные материалы: справочная энциклопедия дорожника (СЭД). Т. II / А.П. Васильев, Э.В. Дингес, М.С. Коганзон и др.; Под ред. Л.П. Васильева. Л/.: ФГУП «Информавтодор», 2004. - 507 с.

Извлечение

ГЛАВА 10. Строительство земляного полотна с использованием геосинтетИческих материалов

10.1. Понятие о геосинтетических материалах. Области их применения*

*Следует иметь в виду, что использование геосинтетических материалов уменьшает влияние различных отрицательных факторов, но не всегда полностью решает проблему повышения устойчивости земляного полотна (Прим. ред.).

Геосинтетические материалы - общая классификационная терминология для всех видов синтетических материалов, которые используются в различных отраслях строительства, в том числе и дорожной отрасли. Этот термин включает: геотекстильные материалы, георешётки, геосетки, геомембраны и геокомпозиты.

Геотекстильный материал (водопроницаемый): нетканый, тканый, «трикотаж», другие изделия плоской формы, характерные для искусственных полимерных материалов.

Нетканые материалы получают в результате скрепления синтетического холста уложенными по плоскостям друг на друга элементарными нитями (бесконечными волокнами) - элементарными неткаными нитями - или от 3 до 5 см длиной штапельными волокнами. Скрепление может быть механическим (например, при прокалывании иглой или зашивании) и/или адгезионным (например, с помощью соединительного клеящего средства), или когезионным (например, при термическом воздействии).

Тканые материалы состоят из скрещивающихся под прямым углом нитевых систем (пряжи). Они различаются по виду пряжи (пряжа из штапельного волокна, мультиволоконная пряжа), кручёная нить, моноволоконная пряжа, узкие полоски, нарезанные из плёнки, и срощенная нить); по её переплетению (так называемому соединению), например, полотняное переплетение типа «рогожка», и каркасное; по количеству нитей на единицу длины. При необходимости дополнительно укрепляются места скрещивания пряжи.

Трикотаж - общее наименование изделий плоской формы, которые состоят: из одной или нескольких нитевых систем, соединённых друг с другом петлеобразно; из одной или нескольких проходящих по прямой линии нитевых систем, связанных друг с другом следующей нитевой системой (вязально-прошивной, основовязальный трикотаж).

Геосетками, которые выделены отдельно, являются изготовленные из синтетических волокон или пластических масс кристаллические структуры с различными узловыми соединениями и с шириной отверстия более 10 мм. Различают: плетёные геосетки; вязаные геосетки; уложенные геосетки (то есть сформированные на месте производства работ). Реже встречаются ленты и стержневндные элементы.

Сплетенная геосетка. Плетеной геосеткой является сетка с отверстиями более 10 мм.

Вязаная сетка изготавливается из синтетических лент. В лентах пробиваются отверстия, растягиваются в одном или обоих направлениях (вдоль и поперёк). При вытягивании полимерные молекулы ориентируются в направлении растяжения. При этом прочность в направлении растяжения увеличивается, а удлинение уменьшается. Узловые пункты не смещаются, благодаря чему происходит передача силового фактора между продольными и поперечными перемычками.

Уложенная геосетка в соответствии с «Памятной запиской» производится из покрытых оболочек лент. При этом ленты укладываются крестообразно и соединяются в местах перекрещивания.

Ленты и стержневидные элементы рассматриваются (обозначаются) как геосеткообразные «продукты». Ленты могут состоять, например, из сотканных или соединённых полос, а также из объединённых между собой на одном уровне слоев нитей, зафиксированных полимерной оболочкой. Стержневидные элементы выполняют из связанных переплетающихся нитей, которые обёрнуты материалом из искусственного волокна.

Комбинированные материалы или композиты состоят из объединённых в плоскости друг с другом нетканых материалов, тканей, геосетки и/или других плоскостных структур и композитов в зависимости от их последующего использования.

Гидроизоляционные материалы (водонепроницаемые или с незначительной степенью водонепроницаемости): искусственные (полимерные материалы, бентонитовые композиты, другие изделия из геосинтетики или геопластики плоской формы). Выделенные структуры представлены в «Памятной записке» в самом общем виде и, очевидно, не могут претендовать на какую-либо классификацию.

Технические характеристики геотекстильных материалов и георешёток. Характеристики геосинтетического материала определяются его компонентами, предназначением, используемым сырьём, типом, креплением или соединением волокон (нитей) или расположением узловых точек пересечения георешёток.

Сырьё. В настоящее время для сплошных материалов и решёток используются полиамид (РА), полиэтилен (РЕ), полиэстер (PES) и полипропилен (РР). Полиэтилен и полипропилен известны как полиолефины. В целях обеспечения специальных характеристик могут использоваться добавки (например, стабилизаторы), применяться оболочки из поливинилхлорида (ПВХ), полиэтилена (РЕ) или битума. Другим типом сырья являются такие разлагаемые натуральные материалы, как лён, джут или кокос, которые применяются для защиты поверхности грунтовых откосов.

При используемых материалах почва, грунты и вода не подвергаются воздействию вредных компонентов. Применяемые при производстве добавки, растворимые в воде или вымываемые водой, например, определённые авиважи (водные эмульсии, поверхностно-активные вещества), стабилизаторы или определённые консерваторы для авиважей, должны быть исполнены в соответствии с указаниями, содержащимися в описании геосинтетического материала в части его типа и количественного соотношения с основным полимером.

Устойчивость к старению. При применении в рассмотренных типах геосинтетических материалов синтетического сырья можно добиться их высокой долговечности, прежде всего за счёт обеспечения устойчивости к старению. Для этих целей особенно важно обеспечить технологические требования при укладке материалов, не нанося механических дефектов, которые могут ухудшить исходные функции материала. Существенное значение приобретает защита от света (ультрафиолетовых лучей). Это касается, прежде всего, полипропилена. Необходимо принимать во внимание чувствительность полиэфира к сильным щелочным воздействиям, что, безусловно, ограничивает их применение в конструкциях с бетонными или железобетонными элементами или требует проектирования специальных защитных мероприятий. Для отечественной практики следует иметь в виду, что полиамид и геосинтетические материалы из него не морозостойки и должны быть уложены в зонах ниже глубины промерзания. Изделия из стекла, обладая относительно высокими «силовыми» функциями, снижают их при длительном взаимодействии с водой и отрицательными температурами, в связи с чем подвержены интенсивному старению и также требуют специфических мер защиты. Это учитывают при рассмотрении сроков службы дорожных конструкций и их отдельных элементов в случаях применения стеклоизделий.

Снижение (изменение) гидравлических и фильтрационных характеристик, а следовательно, и соответствующих функций геосинтетических материалов в этом направлении, может быть предотвращено путём тщательного подбора и соответствия показателей их фильтрационных свойств составу прилегающего грунта (или наоборот).

Весьма важны усталостные свойства геосинтетических материалов, т.е. их реакция на воздействие длительной нагрузки (ползучесть). Роль этого фактора приобретает первостепенное значение при использовании так называемых «силовых» геосинтетических материалов с целью обеспечения или повышения надёжности грунтовых сооружений.

Области применения. В самом широком аспекте области применения геосинтетических материалов в дорожной отрасли, охватывая как конструктивные, так и технологические решения, включают два направления: земляные сооружения и дорожные одежды. В качестве основополагающих функций геосинтетических материалов для указанных направлений характерны следующие.

Разделение. Разделение грунтовых сред различных по составу или состоянию с целью исключения их перемешивания (особенно в процессе строительства) путём соответствующей защиты и обеспечения в условиях эксплуатации неизменности по толщине конструктивных слоев. Особое значение эта функция приобретает при строительстве земляного полотна насыпей на слабых основаниях (в естественном залегании последних), а также устройстве рабочего слоя выемок в глинистых переувлажнённых грунтах и последующих дополнительных слоев дорожной одежды. Кроме того, во многих случаях функция разделения может быть использована в качестве дополнительной к другим функциям, рассматриваемым ниже.

Фильтрация. Функция, которая направлена на осушение и отвод поверхностных и грунтовых вод от конструктивных элементов земляного полотна и дорожных одежд.

Осушение (дренирование). Использование геосинтетических материалов в качестве антикольматационных фильтров, а также горизонтальных и вертикальных дренажей в случаях применения композитных объёмных материалов (дренажи в выемках, оползневых структурах).

Зашита от эрозии. Укрепление наклонных и лекальных поверхностей грунтовых сооружений на автомобильных дорогах от вредного воздействия воды и ветра. Указанная функция может быть совмещена с дренированием поверхностных слоев откосных частей, например, в выемках (откосные дренажи).

Армирование. Силовая функция сплошных тканых геосинтетических материалов, геосеток и георешёток используется для армирования земляных сооружений и их оснований при строительстве, реконструкции, ремонте.

В определённых случаях применение геосинтетических, например, нетканых материалов охватывает такие области как защита уплотняемых слоев насыпей от механических повреждений от движения построечного транспорта или уплотняющих средств. Особое значение указанная защитная функция приобретает при наличии слабых или недоуплотнённых естественных оснований.

Области применения конкретных типов геосинтетических материалов. Нетканые материалы используются в качестве разделительного и фильтрующего элемента в дорожной конструкции. В нетканых материалах с ориентированно расположенными волокнами механические характеристики не зависят от направления расположения самих волокон. Зависимость направления может возникнуть вследствие частично ориентированного расположения волокон.

При натяжении только часть волокон будет подвержена указанной нагрузке, а другая ориентируется по направлению натяжения. В результате достигается высокая эластичность тканей по сравнению с ткаными материалами. Чем меньше волокон фиксируется в заданном положении, тем выше эластичность ткани. Механически закреплённый нетканый материал растягивается сильнее, чем связанный адгезионно или когезионно. В уложенном состоянии эластичность значительно снижается вследствие сопротивления поперечному сжатию. Нетканые материалы в зависимости от своей эластичности могут хорошо подходить для укладки на неровные грунтовые поверхности. Они повторяют неравномерно изменяющуюся граничную грунтовую поверхность при укладке, располагаясь между ней и дренирующим материалом. В случае локальных повреждений, например, при засыпке камнем, и сквозных деформациях (продавливании) благодаря своей эластичности (прежде всего эластичности волокон) структура материала, окружающего локальное повреждение, не изменяется, оставаясь незатронутой. Трение между грунтом и нетканым материалом в значительной степени зависит от взаимодействия грунта и структуры верхней поверхности нетканых материалов.

Нетканые материалы обладают, как правило, хорошей водопроницаемостью. Толстый нетканый материал может также использоваться для отвода воды в её плоскости.

Тканые материалы применяются в тех случаях и ситуациях, когда требуется компенсировать дефицит силовых факторов в грунтовых сооружениях или слоях дорожных одежд.

Механические характеристики тканых материалов формируются через структуру нитей в ткацкой машине для правки утка и основы и зависят от направления при использовании. При разрыве одной или больше нитей ткань теряет часть своей прочности в направлении нити. Трение и сцепление между фунтом и тканым материалом в значительной степени зависит от взаимодействия грунта и структуры ткани. Технические фильтрационные характеристики определяются через ширину раскрытия кромок в материале. Смятие незначительно влияет на изменение фильтрационных характеристик. При растяжении ширина раскрытия кромок может меняться. Рекомендуется соблюдать ограничение (уменьшение) водопроницаемости при нагрузке, а также при укладке грунта во время фильтрационных технических измерений.

Трикотажные материалы. Для применения в земляных работах материалов этой группы особенно подходит текстиль с прямолинейной непрерывной ниточной ровинговой системой, когда необходимо использовать растягивающее усилие. Особенностями трикотажных материалов являются:

высокое растягивающее усилие при небольшом относительном удлинении в направлении непрерывной нити (ровинга);

возможность воспринять растягивающие напряжения в диагональном направлении при определённых «продуктах» этой группы с диагональной непрерывной системой нитей (ровингов);

низкая эластичность в направлении непрерывной нити по сравнению с ткаными и неткаными материалами;

соответствие характера передачи нагрузки при взаимодействии с грунтом или другим дорожно-строительным материалом, а также фильтрационных технических характеристик аналогичным параметрам тканых геотекстилей.

Георешётка. Используется в грунте для армирования различных конструктивных элементов сооружений. Передача силы нагрузки между грунтом и георешёткой осуществляется через трение, в котором при достаточной узловой жёсткости можно также дополнительно получить сопротивление грунту узлов и перемычек. Георешётки (или в отечественной практике геосетки) используются также при армировании асфальтобетонных покрытий при их ремонте, реконструкции и в случаях борьбы с отражёнными трещинами.

Комбинированные материалы. Применяются, когда требуется одновременное действие их отдельных компонентов. Их технические характеристики определяются взаимодействием отдельных компонентов материалов. Определённые комбинированные материалы могут также использоваться для отвода воды в её плоскости.

Рассмотренная совокупность геосинтетических материалов не включает в качестве отдельного типа объёмные георешётки из полиэтиленовых лент, скреплённые между собой механическим или термическим способом, которые вошли в отечественную и зарубежную практику, прежде всего для укрепительных работ. Кроме того, в разделе «Геосетки» (плоские структуры) не приведены способы их получения (изготовления) методом экструдирования. Наконец, для дальнейшего анализа необходима более полная трактовка геомембран.

Геомембрана - это герметический элемент из полимерного материала, используемый для регулирования поверхностных и подземных вод и защиты от них оснований и фундаментов грунтовых сооружений, а также иных конструктивов.

10.2. Краткая классификация геосинтетических материалов для дорожного строительства

Характерные особенности геосинтетических материалов, их разнообразие, а также выделенные области применения, которые в настоящее время хорошо корреспондируются в различных международных документах по применению геотекстильного материала и геосеток при земляных работах в строительстве дорог, дают возможность ориентироваться на определённую классификационную основу.

Подобная классификация имеет существенное значение для выбора того или иного геосинтетического материала в плане разработки рациональных типов дорожных конструкций применительно к конкретным инженерно-геологическим, грунтовым и климатическим условиям строительства и реконструкции.

Кроме общих характеристик, областей применения и требуемых показателей физико-механических свойств, классификация содержит ещё два крупных блока, конкретизирующих тот или иной геосинтетический материал, из числа приведённых в табл. 10.1. Так, например, для выбора нетканого геотекстильного материала в качестве разделительной прослойки (функция разделения) могут быть рассмотрены специальные спецификации конкретных материалов (нетканых), выпускаемых как отечественными, так и зарубежными производителями (например, Геоком, Виротекс, Пинотекс, Тайпар, Полифельт и др.). После выбора группы материалов с близкими показателями свойств, удовлетворяющих требуемым значениям для данной конструкции земляного полотна, технологии, другим условиям, марка геотекстильного материала может быть выбрана с учётом рациональной цены одного квадратного метра. При этом для выбранного материала производитель должен представить технические условия, сертификат, паспорт с протоколами испытаний контрольных образцов.

Таблица 10.1

Краткая классификация геосинтетических материалов для дорожного строительства

Группа, подгруппа

Наименование материалов

Исходный материал, полимер

Область применения

Основные требуемые показатели физико-механических свойств

1

Нетканые

Полипропилен, полиэфир

Разделительные прослойки, дренажные конструкции, обратные фильтры, защита от подложки для композитов и других конструкций (например, габионов, объёмных решёток)

Номинальная прочность при разрыве, относительное удлинение для номинальной прочности, прочность при заданной деформации, модуль упругости, (диаметр отверстия), несущая способность (за рубежом CBR), эффективная пористость, светостойкость, хим. стойкость, плотность, толщина

1.1

Иглопробивные (механическое крепление)

1.2

Термоскреплённые (когезионные или адгезионные)

Полипропилен

2

Тканые и трикотажные

Полиэфир, полипропилен

Армирование слабых оснований, армогрунтовые сооружения (откосы повышенной крутизны, армогрунтовые подпорные стенки)

Номинальная прочность при разрыве, относительное удлинение для номинальной прочности, прочность при заданной деформации, модуль упругости, предел ползучести, деформация и прирост деформации при ползучести, химо- и светостойкость, прочность при прокалывании конусом, несущая способность (CBR), плотность, толщина, водопроницаемость, коэффициент внешнего трения

3

Геосетки

Полипропилен, полиамид, полиэфир, стекло

Армирование грунтовых сооружений и естественных оснований, устройство гибких и жёстких свайных ростверков, армирование асфальтобетонных покрытий защита от отражённых трещин

Номинальная прочность при разрыве, относительное удлинение для номинальной прочности, прочность при заданной деформации, модуль упругости, предел ползучести, деформация и прирост деформации при ползучести, химо- и светостойкость. плотность, когезия. коэффициент внешнего трения

3.1

Тканые

3.2

Экструзивные

Полипропилен, полиэтилен

4

Объёмные георешётки

Полиэтилен, полипропилен

Укрепление откосов, конусов, насыпей и выемок на подходах к искусственным сооружениям, укрепление водоотводных канав. Армирование оснований, откосов повышенной крутизны

Прочность при разрыве ленты, прочность стыков, предельная деформация при разрыве, морозостойкость и химическая стойкость

4.1

Модульные сотовидные

4.2

Габионного типа

5

5.1

Композиционные

Волокнистые пористые материалы

Полипропилен, полиэтилен

Укрепление откосов, конусов в сложных климатических и

Укрепление откосов и устройство дренажей различного назначения (траншейные, откосные, пластовые и т.д.)

Водопроницаемость, прочность при разрыве, относительная деформация при номинальной прочности

5.2

Многослойные структуры с пластиковым каркасом и защитными слоями из нетканых материалов малой плотности

Полипропилен, полиэтилен, полиэфир

6

Геомембраны

(сплошные водонепроницаемые или слабопроницаемые рулонные материалы)

Полипропилена полиэтилен

Устройство жёстких гидроизоляционных прослоек; снижение активных сдвиговых напряжений за счет уменьшения трения в контакте с грунтом

Водопроницаемость, предел прочности при разрыве, относительное удлинение при разрыве, удобоукладываемость, толщина, плотность

7

Гидроизоляционные

Элементы: полипропилен +бентонит, другие изделия плоской формы

Устройство полностью водонепроницаемых элементов геотехнических конструкций

Водопроницаемость, в том числе и под расчётным давлением для защиты от фунтовых вод

10.3. Строительство земляного полотна с использованием геосинтетических материалов

Применяемые технологии строительства земляного полотна с использованием геосинтетических материалов разделяют на следующие группы:

устройство армирующих, технологических и разделительных прослоек;

устройство ленточных вертикальных дрен для ускорения осадки слабых оснований;

устройство армогрунтовых композиций в виде откосов повышенной крутизны;

укрепление поверхности откосов и конусов для обеспечения их местной устойчивости;

строительство дренажных сооружений.

Устройство армирующих, технологических и разделительных прослоек из рулонных материалов в общем случае состоит из следующих операций:

подготовки естественного основания;

раскатки рулонов геосинтетического материала и закрепления полотен на поверхности основания или иной горизонтальной поверхности;

устройства вышерасположенной части конструкции земляного полотна.

В зависимости от особенностей конструкции земляного полотна и его элементов технологическая последовательность может несколько изменяться вследствие исключения или добавления отдельных видов работ, предусмотренных проектом.

При размещении прослойки в основании насыпи, площадке или временных дорог допускается укладывать геотекстильные полотнища на неподготовленное естественное основание при отсутствии на нём леса, кустарника, ям и других пониженных мест. В противном случае следует проводить подготовительные работы в уровне поверхности основания, включающие срезку деревьев и кустарника, срезку неровностей с засыпкой ям, колей и других пониженных мест. В подтопленных зонах предусматривается предварительная отсыпка выравнивающего слоя из песка, а также отвод воды.

При проведении строительства на сильно сжимающихся или очень слабых грунтах особые затруднения могут вызвать операции транспортировки, так как в этом случае необходимо обеспечивать очень низкое давление на грунт в процессе проведения строительства, в частности, при перемещении по строительной площадке транспортных и строительных механизмов. В этих случаях необходимо предусматривать устройство технологических прослоек.

На технологию строительства при использовании геосинтетических прослоек в основании существенное влияние оказывает состояние поверхности на строительном участке. Должна приниматься во внимание информация о физико-механических и геотехнических свойствах грунта основания, включая наличие и степень прочности высушенной корки, а также о типе и густоте растительности. В тех случаях, когда стройплощадка располагается на низких участках местности, должно быть выполнено её рекогносцировочное обследование с тем, чтобы определить горизонт расположения воды в зоне предполагаемого участка строительства.

Доступ к участку отсыпки. Если доступ к стройплощадке затруднён из-за условий перемещения транспорта, должны быть предприняты специальные меры по организации временных подъездных путей на период строительства. В удобном месте близко к объекту проведения работ должны быть устроены рабочая площадка и площадка складирования, на которых осуществляются хранение и соответственно укладка, а также сращивание укладываемых материалов.

Хранение материалов. Материалы в виде рулонов или свёрнутых полотен геотекстиля или георешётки должны храниться на сухом грунте и должны быть защищены от прямого солнечного облучения. В случае, если они завёрнуты в материал, непроницаемый для ультрафиолетового света, необходимость в какой-либо защите от солнечного света отпадает.

Соединение (стыковка). Предел прочности и другие механические свойства геосинтетических материалов в зоне действия главных нагрузок в направлении, перпендикулярном осевой линии сооружения, в значительной степени определяются точками соединения материала. Наличие соединений в направлении продольной оси насыпи неизбежно. Это должно быть принято во внимание при оценке продольной устойчивости насыпи во время и немедленно после завершения строительства.

Если это возможно, геосинтетические материалы должны располагаться перпендикулярно продольной оси насыпи в виде одной непрерывной цепочки (т.е. соединения в этом направлении предпочтительно должны отсутствовать). Соединение «внахлёст» полос геосинтетических материалов при их укладке по длинной стороне на поверхности слабых оснований должно быть с перекрытием полос, как минимум, на 50 см. Если полосы соединены (сшиты или скреплены скобками), перекрытие может быть уменьшено.

Подготовка основания. На заросших растительностью основаниях существующая растительность типа кустарников или деревьев должна быть вырезана до уровня грунтов естественного сложения. Предметы, которые могут повредить геосинтетические материалы, должны быть удалены. Мусор, способный пробить материал или причинить ему другое механическое повреждение, также должен быть полностью удалён, чтобы обеспечить высокое качество уложенных в конструктив прослоек.

В отношении органических грунтов и материалов необходимо принимать во внимание процессы их разложения в течение достаточно длительного промежутка времени, а также процессы влияния такого разложения на свойства геосинтетических прослоек.

Корни срубленных деревьев или кустарников и растительность, образующая покрытие на основании, должны быть удалены со стройплощадки. На основаниях, имеющих высушенную корку, должны быть приняты меры по предотвращению разрушения этой корки во время подготовки поверхности основания к укладке армоэлементов и отсыпке грунта. Прежде чем начнётся укладка геосинтетических материалов, должны быть выполнены все работы по замене фунтов основания с размещением соответствующей засыпки. Там, где используется выравнивающий слой, закрывающий неровности основания, включая углубления и выступы, следует проявить осторожность с тем, чтобы слой засыпки не влиял отрицательно на вертикальную водопроницаемость грунта естественного сложения. Насколько это возможно, такая засыпка должна представлять собой дренирующий материал, а нетканый сепаратор из геотекстиля должен быть помещён между слабым грунтом и засыпкой с тем, чтобы предотвратить кольматацию засыпки. Особое внимание при этом должно быть уделено мероприятиям по предотвращению перенапряжения или разрыва сухой поверхностной корки или растительного грунта.

Обработка и размещение. В благоприятных условиях материалы для укладки на поверхности основания должны транспортироваться на место проведения работ в рулонах и там раскатываться с выполнением соединения. Дополнительные трудности могут возникать, если геосинтетические материалы должны быть помещены через воду на поверхность болота. Там, где слой воды мал, материал можно размещать вручную после предварительной выемки и монтажа прослоек. Всплывание геосинтетических материалов с удельным весом меньше 1 должно быть предотвращено локальным погружением. При большом слое воды или в случае невозможности ручного размещения прослоек используют средства малой механизации.

При использовании прочных геосинтетических материалов или георешёток, укладываемых на слабое болотистое основание вручную, рабочие могут перемещаться непосредственно по уже уложенным прослойкам.

Отношение к дневному свету. Должен быть определён максимальный период, в течение которого допускается воздействие на полимерный армоэлемент прямого солнечного света (или других источников ультрафиолетового света) с момента удаления с рулона защитной обёртки и до засыпки слоем грунта. Детальные рекомендации по этой характеристике следует получить у изготовителя армоэлементов. Они должны содержаться в технических условиях по изготовлению применяемых материалов.

Основные работы по укладке геосинтетических материалов начинают немедленно после завершения комплекса подготовительных мероприятий. Они включают:

раскладку (раскатку) рулонных материалов на подготовленную грунтовую поверхность по всей её ширине;

стыковку полотен в продольном и поперечном направлениях (если стыковка осуществляется внахлёст, то она должна составлять не менее 0,5 м);

крепление геосинтетических материалов к грунтовой поверхности с выравниванием краёв полотен и возможных складок;

отсыпку песка слоем не менее 0,6 м с разравниванием, уплотнением, планировкой.

Разравнивание выполняют бульдозером, уплотнение - гладковальцевым катком массой 10-12 т без включения вибратора, планировку - автогрейдером. Количество проходов катка устанавливают пробным уплотнением, ориентировочно 6-10 по одному следу.

Технология устройства ленточных дрен для ускорения осадки. Технология устройства ленточных дрен из геосинтетических материалов включает следующие операции:

расчистку поверхности основания от кустарника и деревьев на ширину полосы отвода;

отсыпку рабочей платформы из песка;

разметку сетки дрен;

погружение дрен;

досыпку насыпи до проектных отметок.

Перед дренированием слабого основания с помощью ленточных дрен следует отсыпать рабочую платформу из песка, сквозь которую погружают дрены. Для рабочей платформы используют песок с коэффициентом фильтрации не менее 2 м/сут при ширине насыпного слоя до 20 м и не менее 3 м/сут при ширине свыше 20 м. Минимальная толщина платформы hпл должна обеспечивать проезд и работу машин. Она составляет не менее 1 м на органических грунтах, 0,5 м - на минеральных и удовлетворяет условию

10.1

где В - толщина геотекстильного материала, м;

Кm и Кn - коэффициенты фильтрации соответственно геотекстильного материала и песка с учётом нагрузки от веса насыпи, м/сут.

Толщина рабочей платформы может быть снижена в 1,5 раза при укладке полотна сплошным слоем на всю ширину подошвы насыпи. Обсадную трубу в этом случае погружают через геосинтетический материал. Процесс погружения дрен состоит из заправки дрен в обсадную трубу; её погружения и извлечения; обрезки дрены; переезда на новую точку; смены катушки с дреной; стыковки дрен с разных катушек.

Заправку дрены в обсадную трубу выполняют один раз для всего участка с помощью проволоки, продеваемой в трубу. Дрену зацепляют за конец проволоки и протягивают сквозь трубу. Конец дрены оборачивают вокруг якоря и вновь заправляют в трубу.

Погружение обсадной трубы ведётся равномерно. Подъёмы, даже кратковременные, недопустимы. По достижении заданной отметки начинают извлечение трубы из грунта, контролируя визуально сматывание дрены с катушки. После полного выхода трубу поднимают над уровнем земли на 30 см, обрезают дрену ножницами, оставляя конец около 20 см. Выходящий из трубы отрезок дрены стопорят якорем, заправляют в трубу и перемещают на новую точку. После того, как дренажная лента на катушке кончилась, последнюю снимают и заменяют новой. Конец ленты соединяют с началом ленты на второй катушке. Соединение осуществляется внахлёст сшивкой нитками, проволокой или скобками.

Ход работ по погружению дрен обязательно фиксируется в журнале производства работ с указанием места, глубины погружения, характеристики материала, шага дрен.

Строительство армогрунтовых земляных сооружений.

Устройство армогрунтовых конструкций включает следующие технологические операции: подготовку основания насыпи для укладки нижнего слоя геосинтетического материала; подготовку полотен материала; установку щитов опалубки на подошве откоса для фиксации торцевой грани первого яруса армогрунта; укладку армоэлементов на проектную длину с заведением оставшегося края на щиты опалубки; отсыпку первого слоя насыпи толщиной 0,5-0,6 м с планировкой и уплотнением до требуемой плотности согласно проекту и СНиП 2.05.02-85; устройство вдоль бровки песчаного валика с планировкой и уплотнением для анкеровки (закрепления) свободного края геосинтетического материала; укладку свободного края материала на валик с выпуском на поверхность нижнего первого слоя насыпи; досыпку первого слоя насыпи до 1 м с планировкой и уплотнением до требуемой плотности; снятие щитов опалубки и перестановку их для устройства следующего яруса армогрунтовой насыпи с откосом повышенной крутизны.

Работы по устройству армогрунтового сооружения рекомендуется выполнять захватками. При этом длина захватки исходя из сменной производительности может быть кратна 5 м согласно ширине рулона геосинтетического материала, то есть 25 м, 30 м, 35 м, 40 м, 45 м, 50 м, 70 м.

После устройства откоса повышенной крутизны (армогрунтового откоса) его поверхность должна быть укреплена специальными типами конструкций в зависимости от принятой крутизны: геоматами, решётками, биоматами, гидропосевом или облицовочными блоками.

Укрепление конусов и откосов с использованием геосинтетических материалов. Для укрепления поверхности конусов, откосов насыпей и выемок, склонов, других земляных сооружений, включая армогрунтовые системы, применяются различные геосинтетические материалы: от нетканых до специальных композиций и объёмных георешёток. По защитным функциям используемые в настоящее время в практике дорожного строительства укрепления можно разделить на две группы. К первой относятся решения, связанные с защитой подтопляемых откосов, берегов водохранилищ и т.п. Ко второй - традиционные, направленные, в первую очередь, на локализацию эрозионных и более существенных деформаций, связанных, как правило, с местной устойчивостью, усилением образуемого в результате посева трав дернового слоя путём его армирования и защиты в процессе вегетации, и формирования корневой системы. В число конструкций второй группы входят также объёмные пластиковые георешётки, изготавливаемые из различных геосинтетических и геопластиковых материалов. В качестве непременного элемента в конструкциях для укрепительных работ из металлических элементов повсеместно применяются нетканые материалы.

Для подтопляемых откосов и конусов геосинтетические материалы используются в качестве элементов обратного фильтра, выполняя одновременно функции разделения, антикольматационной защиты инертных материалов, выравнивающего слоя. Основной конструкцией в данном случае являются сборные железобетонные плиты и другие элементы различной геометрии и несущей способности в зависимости от расчётных гидрометеорологических условий. Для геосинтетических продуктов, как правило, рекомендуется применять нетканые материалы. К ним предъявляются следующие требования:

в качестве полимера следует использовать полипропилен;

расчётная толщина (под нагрузкой от веса щебня и железобетонной плиты) - не менее 4-6 мм;

удельный вес - не менее 350 г/м2;

прочность - по расчёту в зависимости от динамических нагрузок, характерных для конкретной акватории;

коэффициент фильтрации под расчётной нагрузкой должен составлять в поперечном направлении не менее 20 м/сут, а в продольном соответственно 10 м/сут.

Чтобы обеспечить указанные характеристики, необходим тщательный подбор нетканого материала в лабораторных условиях с последующей проверкой, например, в условиях опытного строительства. Кроме отмеченных параметров, предъявляются также технологические требования, связанные, прежде всего, с устойчивостью и прочностью материала от возможности его «прокалывания» щебнем или другим грубообломочным грунтом, используемым в качестве обратного фильтра. Конструктивные решения, связанные с использованием геосинтетических материалов для укрепления подтопляемых откосов, могут включать также объёмные дренажные композиции, а также полностью или частично исключать применение инертных для обратного фильтра. Последнее имеет существенное значение для предотвращения выплесков песка (при его использовании в конструкции обратного фильтра) через стыковочные швы сборных железобетонных плит. Выбор осуществляется на основе технико-экономического обоснования.

Для неподтопляемых откосов и конусов земляною полотна применяются две группы материалов: геокомпозиты в виде различных волоконных матов и объёмные георешётки.

Волоконные маты, которые в той или иной конструктивной и «материальной» интерпретации выпускаются ведущими мировыми фирмами, такими, как Теnах, Tensar, Neue Faser-Technik. Полифельт, Хьюскер и рядом других, предназначены для обеспечения местной устойчивости, в основном, для локализации эрозионных процессов в поверхностных слоях откосов, а также создания декоративных облицовок лицевых поверхностей армогрунтовых сооружений. Как правило, они выполняются в комплексе с посевом трав, в том числе и гидропосевом. Эффективны в случаях, когда только одно травосеяние в его традиционном виде не позволяет обеспечить быструю защиту от рассматриваемых деформаций, связанных с местной устойчивостью. Указанные типы конструкций в связи с их многочисленностью и в то же время схожестью между собой могут быть рассмотрены на примере нескольких типов композиций Enkamat.

Конструкции укрепления с использованием волоконных матов типа Enkamat состоят из:

уплотнённого поверхностного слоя грунта откоса или конуса;

волоконного мата толщиной 1-3 см;

анкеров в виде деревянных колышков длиной 20-40 см;

растительного грунта с семенами трав или гидропосева.

На основе материала типа Enkamat изготавливаются, в частности, следующие композиты:

Enkamat S - мат Enkamat, жёстко скреплённый с армирующей плоской георешёткой из полиэфира, благодаря чему прочность мата увеличивается до 110 кН/м;

Enkamat A - геокомпозит из мата Enkamat, заполненный минеральным фильтром (например, из щебня), частицы которого связаны друг с другом и с волокнами мата органическим вяжущим; обладает хорошей гибкостью и проницаем для воды и корней растений;

Enkason - дёрн, выращенный на мате Enkamat в оптимальных для образования травяного покрова условиях, что обеспечивает мгновенную зелёную защиту откоса; за рубежом производится только по специальному заказу.

Волоконный мат типа Enkamat представляет собой объемную структуру, выполненную из переплетенных неупорядоченных волокон. Мат заполняется растительным грунтом с посевом семян трав любым способом и служит для защиты от эрозии, вымывания растительного грунта и семян трав. При соответствующем обосновании допускается применять волоконные маты на поверхности конуса (откоса) без засыпки растительным грунтом.

Материалы типа Enkamat изготавливаются из полиамидных волокон и имеют следующие технические характеристики: плотность - 25 г/м2; прочность на растяжение в продольном направлении - 1,5-3,0 кН/м; соединение волокон в местах пересечения путём сплавления; обладают высокой сопротивляемостью погодным условиям и солнечной радиации; благодаря стабилизаторам - высокой химической стойкостью к грунтовой агрессии; термическая стойкость от минус 30 до 100°С.

Объёмные георешетки. Объёмные георешетки предназначены для укрепления конусов путепроводов и малых мостов, откосов насыпей в условиях, когда травосеяние неэффективно или невозможно (например, в I дорожно-климатической зоне), а также откосов водоотводных канав и в других аналогичных случаях. Конструкции с ними представляют собой более мощные по сравнению с волоконными матами композиции на основе гибких компактных модулей, состоящих из полиэтиленовых лент (или изготовленных из полиэфирных волокон), скрепленных металлическими «скрепками» или сшивкой механическим степлером. Площадь одного модуля в зависимости от типа объёмной решётки может доходить до 150 м2.

Конструкция укрепления с использованием модулей объемных георешеток проста и технологична. Она позволяет изменять в широком диапазоне размеры ячеек и объем, а также материал для заполнения.

Объёмные пластиковые георешетки из полиэтиленовых лент. В общем случае конструкция такого типа укрепления состоит из: разделительной и (или) дренирующей прослоек из рулонного геосинтетического нетканого материала, уложенной на уплотненный слой грунта; объемного модуля, представляющего собой георешетку с прямоугольными ячейками или стенками, расположенными под углом к основанию (косоугольная решетка): монтажных анкеров; несущих анкеров; заполнителя; упора; дополнительных элементов, например, водосточного лотка.

В качестве материала для устройства разделительной или дренирующей прослойки рекомендуется применять нетканый геотекстильный материал с плотностью не менее 250 г/м2 имеющий, как правило, высокий коэффициент фильтрации (вдоль волокна - не менее 10 м/сут, поперек - 20 м/сут). Допускается использовать другие синтетические материалы: тканые геотекстильные материалы, геосетки и плоские георешетки. Требования к указанному элементу устанавливаются проектом в зависимости от крутизны откоса (конуса) и погодно-климатических факторов.

В настоящее время в отечественной и зарубежной практике широко применяются следующие гибкие модули георешеток: Геомат, Armater, Geoweb, Tenweb, PrestoRus, Wolta, Теnах, Webtec, ОАО «494 УНР», ООО «Геотехкомплекс». Такие модули выпускаются как отечественными, так и зарубежными производителями. Из отечественных пластиковых объёмных георешёток наибольшее распространение получили конструкции, выпускаемые УНР-494 (Прудон), фирмой «Геотехкомплекс» и Туймазинской фабрикой. Модули могут состоять из сплошных или перфорированных лент, на которых имеются специальные отверстия заданного диаметра для пропуска (дренирования) поверхностных вод.

В качестве прототипа всех выпускаемых пластиковых объёмных георешёток служат варианты объёмных модулей Geoweb (США). Конструкции укрепления на их основе (в том числе созданные отечественными производителями) обладают большей жёсткостью и массой по сравнению с объёмными георешётками из лент на основе полиэфира, полипропилена или их смесей и с соответствующими укрепительными добавками.

Георешетка Geoweb представляет собой модульную сотовидную конструкцию из сварных полиэтиленовых полос с высокой прочностью на растяжение. Содержание в полиэтилене 2 % сажи предотвращает окисление материала под воздействием солнечной радиации. Лабораторные исследования показали, что решетка сохраняет свои свойства в течение 40 лет даже под воздействием солнечных лучей. Георешетки Geoweb высотой от 0,1 до 0,3 м и различными размерами ячеек выпускаются фирмой «Presto Product» (США) и свободно продаются. В Европе, в том числе и в России, официальным дистрибьютером этой фирмы является фирма «PRS» (Израиль). В России успешно работает совместное предприятие «Prestorus». Следует отметить, что в конструкции георешеток используются гладкие или рифленые ленты из высокопрочного полиэтилена или другого синтетического материала, которые соединены между собой с помощью ультразвуковой сварки линейным практически герметичным швом, что в ряде случаев затрудняет фильтрацию влаги в армируемом слое. Как уже отмечалось, для обеспечения этого эффекта как в отечественной, так и в зарубежной практике налажен выпуск георешёток с перфорированными стенками.

Георешетки типа Geoweb, включая все образцы на их основе, получают путем скрепления (соединения) в пакет полиэтиленовых лент таким образом, чтобы при растяжении получить объемную ячеистую конструкцию. Оптимальные размеры георешеток (высоту и площадь ячейки) устанавливают в зависимости от крутизны откоса (конуса), прочностных характеристик грунтов откосов насыпей, выемок, конусов, характера и степени воздействий погодно-климатических и гидрометеорологических факторов. Близкую по конструкции к Geoweb георешетку из полиэтиленовых лент, называемую Tenweb, выпускает фирма «Теnах».

Отличие георешетки Tenweb от решетки Geoweb заключается в способе соединения между собой лент полиэтилена. В георешетке Tenweb ленты материала соединены между собой не линейным вертикальным швом, как у георешетки Geoweb, a термоконтактной сваркой нижней и верхней зон лент. За счет этого при растяжении георешетки Tenweb в средней части ячеек между сварными точками образуется щель, которая обеспечивает фильтрацию влаги. С другой стороны, прочность такого соединения может уменьшаться, что требует для применения георешеток Tenweb более прочных материалов.

Выбор размеров ячеек для георешёток типа Tenweb «Теnах», как впрочем и для других типов, осуществляется на основе оценки местной устойчивости, анализа стабильности самой георешётки, укладываемой на поверхности откоса, склона, конуса, а также заполнителя ячеек на их поверхности.

Анализ стабильности выполняется для трёх частей георешётки: центральной, верхней с учётом закрепления в верхней части откоса и нижней возле подошвы. Знание параметров конструкции позволяет определить сдвигающие и удерживающие силы, которые должны регулировать установку (монтаж) и её функционирование в период эксплуатации. Кроме того, на основании расчётов устанавливается минимальная длина стыка, принцип анкеровки, конструкции, количество монтажных анкеров, их длина возле подошвы сооружения и стабильность верхнего слоя заполнителя (например, грунта), когда он располагается на поверхности заполненных ячеек георешётки. Как правило, геометрия ячеек используемых георешёток определяется необходимой толщиной (мощностью) заполнителя: щебня, гравия, растительного грунта (в последнем случае для нормального роста травы). При выборе соответствующего типа георешёток из серии Tenweb «Тепах» необходимы для расчёта следующие данные: предел прочности соединения ячеек при растяжении модуля, сопротивление отслаиванию, максимальный предел прочности и число соединений.

Объёмные георешётки из геотекстильных материалов. Растягивающаяся георешётка принципиально другой конструкции разработана британской фирмой «MMG Civil Engineering Systems». Эта решётка, названная Armater, представляет собой сотовую гексагональную структуру с вертикальными стенками. Решетка выполняется из высокопрочного геотекстильного материала на основе полиэстера. Материал термообработан для повышения его жесткости, но все же она ниже по сравнению с георешеткой Geoweb. Достоинством георешетки Armater является то, что нетканый материал обладает хорошими фильтрующими характеристиками.

Соединение полос между собой осуществляется в шахматном порядке посредством линейных швов, выполненных методом склеивания, сшивания или комбинированным способом. При этом прочность шва обеспечивается на уровне 70 % от прочности основного материала. Следует отметить, что исключительные права на использование георешетки Armater приобрела фирма «Akzo Nobel» (Нидерланды). Эта фирма планирует создать с российской организацией в г. Перми совместное предприятие по выпуску этих георешеток.

Широко применяются также жёсткие георешётки, не складывающиеся в пакет. Так, например, решётка Nidaplast (Франция) имеет жёсткую ячеистую структуру в виде пчелиных сот. Получают решётку в процессе экструдирования полиэтилена, полипропилена или каких-либо других термопластических материалов. Диаметр шестигранных ячеек со стенкой толщиной 0,5 мм может составлять от 8 до 30 мм. Звенья ячеек размером 10×10 см образуют панели размером 2,5×1,0×0,003 м и блоки размером 2,5×1,0×1,5 м. В зависимости от области применения лицевые поверхности панелей или блоков могут быть закрыты (соединения на клею) нетканым материалом, обеспечивающим дренаж основания. Плотность георешётки Nidaplast меняется от 35 до 80 г/м2 , а прочность при сжатии - от 0,6 до 2 МПа в зависимости от диаметра ячеек и толщины стенок.

Георешётки с вертикальными стенками применяются в строительстве для защиты грунтовой поверхности от водной и ветровой эрозии (откосов дорог, берегов рек, каналов, набережных морей) и для повышения несущей способности грунта.

Технология монтажа практически для всех рассмотренных типов укрепления конусов и откосов земляного полотна и сопутствующих грунтовых сооружений при строительстве автомобильных дорог включает следующие операции:

разбивочные работы, подготовку наклонной или вертикальной поверхности путём её планировки, уплотнения или монтажа;

устройство дополнительных элементов в виде укладки нетканого материала, элементов обратного фильтра;

раскладку волоконных матов отдельными секциями и их стыковку или модулей объёмных георешёток с устройством необходимых элементов крепления для обеспечения продольной и поперечной устойчивости;

нанесение растительного грунта, включая метод гидропосева;

заполнения ячеек объёмных георешёток различными материалами.

Применение геосинтетических материалов при строительстве дренажных сооружений. Геосинтетические материалы нашли широкое применение для устройства дренажных сооружений с целью регулирования подземного стока. Они используются в качестве самостоятельных элементов либо для антикольматационной защиты в традиционных типах дренажей. Применяются нетканые геосинтетические материалы, объёмные композиты, состоящие из сердечника в виде плоской пластиковой решётки и защитных слоев из нетканых материалов малой плотности. Нетканые материалы применяются для устройства траншейных дренажей всех типов откосных и пластовых дренажных конструкций.

Технология устройства траншейных и откосных дренажей помимо стандартных операций, связанных с рытьём траншей и монтажом асбоцементных или пластиковых водоотводных труб, включает укладку геосинтетического материала по контуру вырытых траншей перед заполнением их дренирующими материалами. Таким образом, устраивается обойма из геосинтетических материалов, внутри которой находятся традиционные элементы дренажных сооружений. Устраиваются также варианты без водоотводных труб, то есть в качестве дренирующего и водоотводящего элемента служит щебень в обойме из геосинтетического материала. Кроме того, для защиты от кольматации неткаными материалами оборачивают водоотводные пластиковые и асбоцементные трубы.

Технология устройства пластовых дренажей в основаниях насыпей или выемок включает подготовку основания; раскладку нижнего слоя геосинтетического материала с продольной и поперечной стыковкой полотен; распределение слоя щебня толщиной 20-30 см фракции 40-70 (гранитный или известковый, марки не ниже М800); разравнивание слоя щебня; укладку верхнего слоя геосинтетического материала; устройство земляного полотна.

При использовании объёмных геосинтетических материалов технология работ включает подготовку основания; укладку объёмного геосинтетического материала; отсыпку слоя грунта поверх объёмного материала слоем не менее 0,6м по схеме «от себя»; уплотнение по стандартной технологии.

Каталог «Техника, технологии и материалы в дорожном хозяйстве /М-во трансп. Российской Федерации, Гос. служба дор. хоз-ва (Росавтодор). - М., 2003. - 172 с.

Извлечение

4. ИСПОЛЬЗОВАНИЕ СИНТЕТИЧЕСКИХ МАТЕРИАЛОВ В СЛОЯХ ДОРОЖНЫХ КОНСТРУКЦИЙ И ЗЕМЛЯНОМ ПОЛОТНЕ

4.1. Сетка базальтовая нитепрошивная марки сбп-д

Описание технологии и область применения:

Армирование асфальтобетонных покрытий базальтоволокнистыми материалами при строительстве и ремонте автомобильных дорог. Сетка базальтовая нитепрошивная марки СБП-Д.

Опыт применения, возможности использования:

Автомобильная дорога М4 «Дон» км 280 - км 282, км 241 - км 243. ГУ «Федеральное управление автомобильных дорог «Черноземье».

Результаты использования:

При ремонте в результате армирования трещиноватых асфальтобетонных покрытий обеспечивается эффект снижения количества, степени раскрытия и увеличения времени появления отраженных трещин различной природы, а также замедления процесса колееобразования на покрытиях. В результате армирования вновь устраиваемого покрытия достигается повышение межремонтных сроков дорожных одежд. Сетка базальтовая экологически безопасна, химически инертна, взрывобезопасна, не горит.

4.2. Геосетка сснп 25x25

Описание технологии и область применения:

Геосетка ССНП 25×25 Владимирского химзавода использовалась для армирования стыков существующего асфальтобетонного покрытия при уширении проезжей части автомобильной дороги Москва - Санкт-Петербург. Ширина армирования составляла 1 м.

Опыт применения, возможности использования:

Используется с 1998 г. В 2001 г. выполнено работ на площади 9200 м:.

ГУ «Управление автомобильной магистрали Москва - Санкт-Петербург».

Результаты использования:

Повышение качества асфальтобетонного покрытия.

4.3. Геосетка армирующая дорожная ссг

Описание технологии и область применения:

Геосетка армирующая дорожная изготавливается из стекловолокнистых нитей повышенной прочности.

Предназначена для применения в качестве армирующего материала при строительстве, реконструкции и ремонте асфальтобетонных покрытий автомобильных дорог.

Опыт применения, возможности использования:

С использованием геосеток произведен ремонт сотен километров дорожных покрытий в г. Москве, Подмосковье, Владимирской области, Красноярском крае, изготовлено аэродромное покрытие в г. Акмала (Казахстан).

Результаты использования:

Результаты испытаний показали, что применение геосеток:

предотвращает распространение отраженных трещин от старого покрытия в новый асфальтобетонный слой;

увеличивает межремонтные сроки проведения работ в 2 раза.

4.4. Георешетка «ПРУДОН-494» Описание технологии н область применения:

Объемная георешетка - конструкция из полимерных лент, скрепленных между собой посредством сварных швов таким образом, что при растяжении в поперечном направлении представляет собой сотовую систему. В растянутом положении она образует пространственную конструкцию с заданными геометрическими очертаниями и размерами. Георешетка «Прудон-494» способна ограничивать сдвиговые деформации и армировать грунты, создавая единую структурную массу, которая выдерживает большое давление, поэтому георешетка успешно используется для укрепления откосов насыпных сооружений, конусов, путепроводов и мостов.

При строительстве автомобильных дорог георешетка применяется для объемного армирования земляного полотна, конструктивных слоев дорожной одежды из несвязных (сыпучих) материалов.

При возведении мостов, путепроводов георешетки используются для укрепления конусов, а также для устройства подпорных стенок. В этом случае «Прудон-494» представляет собой многослойную конструкцию, в которой георешетки расположены горизонтально одна над другой, со смещением на расстояние, равное половине ширины ячейки.

В гидротехническом строительстве с применением геосинтетики решаются задачи гидроизоляции и дренажа, армирования и стабилизации откосов набережных, русл постоянных водотоков, защиты их от эрозии и размыва.

Опыт применения, возможности использования:

Промышленное производство, применение на территории всех субъектов Российской Федерации.

Результаты использования:

Георешетка «Прудон-494» используется для укрепления конусов, что позволяет уменьшить расход строительных материалов и снизить транспортные расходы; сократить расходы на содержание конструкции укрепления конуса; обеспечить долговечность выполняемой конструкции; повысить морозостойкость.

Наличие документов, регламентирующих использование:

Технический буклет «ПРУДОН-494».

«Методические рекомендации по проектированию и строительству грунтовых насыпей на торфяном основании, армированных георешетками «ПРУДОН-494» в условиях Западной Сибири» (ОАО ЦНИИС).

ТУ 2246-002-07859300-97 «ПРУДОН-494». Геотехническая решетка пластиковая (с изменением № 1).

ВСН «Применение синтетических материалов при устройстве нежестких дорожных одежд автомобильных дорог (IV-V категорий по классификации СНиП 02.05.02-85)».

«Методика расчета устойчивости грунтовых насыпей, армированных георешетками».

«Методика расчета насыпей, армированных различными материалами («ПРУДОН-94»)».

«Стандартные проектные решения и технология усиления подбалластного слоя объемными георешетками «ПРУДОН-494».

«Принципиальные схемы конструктивно-технологических решений по применению объемных георешеток «ПРУДОН-494» и примеры их реализации в транспортных сооружениях».

4.5. Плиты пенополистирольные для теплоизоляции земляного полотна

Описание технологии и область применения:

Плиты пенополистирольные для теплоизоляции с модулем упругости 15-18 МПа удовлетворяют требованиям, предъявляемым к пенопластам, для использования в дорожной одежде.

Коэффициент теплопроводности 1 составляет 0,028 Вт/мК, водопоглощение за 30 сут - 0,4 % по объему, прочность на сжатие при 10 %-ной линейной деформации - 0,25-0,5 МПа, предел прочности при статическом изгибе - 0,4-0,7 МПа.

Рекомендуется для использования в качестве теплоизолирующего слоя дорожной одежды в зоне вечной мерзлоты для сохранения основания насыпи или ее нижней части совместно с основанием в мерзлом состоянии, а также во 2 и 3 дорожно-климатических зонах для недопущения промерзания грунтов земляного полотна и исключения, таким образом, морозного пучения.

Опыт применения, возможности использования:

«Пеноплэкс» был применен в опытном порядке на дорогах МКАД - Кашира и Серпухов - Тула.

Результаты использования:

Отсутствие морозного пучения. Зафиксированная разность температур над плитой толщиной 8 см и под ней составила 5-6°С.

Наличие документов, регламентирующих использование:

 «Методические рекомендации по проектированию и устройству теплоизоляционных слоев дорожной одежды из пенополистирольных плит «Пеноплэкс», утвержденные распоряжением Росавтодора от 20.12.2000 № ОС-35-р. Готовятся к утверждению Методические рекомендации по устройству теплоизоляционных слоев дорожной одежды в зоне вечной мерзлоты и во 2 и 3 дорожно-климатических зонах (совместный документ).

Львович Ю.М., Аливер Ю.А., Ким А.И. Геосинтетические и геопластиковые материалы в дорожном строительстве. - М, 1998. -77с. (Автомоб. дороги: Обзорн. информ /Информавтодор; Вып. 5).

Извлечение

Данный выпуск обзорной информации посвящен комплексу вопросов, связанных с новь/ми геотекстильными и геопластиковыми материалами, функциональными возможностями их использования в дорожном строительстве при армировании слабых оснований, в грунтовых сооружениях, дренажных системах, дорожных одеждах, включая монолитные слои покрытий. В самых общих информационных сведениях рассмотрены принципы и решения на основе геосинтетики и геопластики для смежных с дорожной отраслей строительства. Впервые сделана попытка классифицировать современные геосинтетические и геопластиковые материалы. Особое внимание уделено таким вопросам, как тенденция их развития в зарубежной и отечественной практике с учетом возрастающих потребностей дорожного строительства, в частности, для обеспечения надежности конструкций и современных технологий, замены материалоемких элементов для укрепительных работ, снижения объемов использования таких природных материалов, как песок и щебень в дренажных сооружениях. Рассмотрена специфика физико-механических свойств материалов из геосинтетики и геопластики. Дан анализ нормативно-технической базы и предложены пути решения этих весьма непростых вопросов для российской практики. Приведен опыт использования различных типов геосинтетики и геопластики в отечественном и зарубежном дорожном строительстве.

2. СОВРЕМЕННЫЙ МИРОВОЙ УРОВЕНЬ В ОБЛАСТИ ИСПОЛЬЗОВАНИЯ ГЕОСИНТЕТИКИ И ГЕОПЛАСТИКИ В ДОРОЖНОЙ ОТРАСЛИ

2.1. Общие вопросы

Геосинтетическими и геопластиковыми являются материалы, которые изготавливаются из продуктов химического производства. К сплошным геотекстилям, которые объединяются общим понятием геосинтетика, относятся водопроницаемые нетканые (например, иглопробивные), тканые, плетеные и композиционные материалы. Геопластиковые материалы - это геосетки и георешетки, изготовленные из синтетического волокна, пластмассы, стекловолокна, представляющие собой сетчатые (плоские) или объемные структуры с различными узловыми соединениями и величиной ячеек, например, свыше 10 мм. В Германии, например, различают: тканые геосетки, «вытянутые», слоистые. Имеются объемные георешетки, изготавливаемые из высокопрочного холоднотянутого полиэтилена. Кроме того, в мировой практике встречаются рулонные и лентообразные элементы.

Нетканые материалы, различного сортамента маты изготавливаются путем наложения друг на друга филаментов (бесконечных волокон), поэтому они получили название филаментные. Они также могут быть выполнены из тканых волокон длиной 3-5 см (штапельных волокон, которые определяются как штапельно-волокнистые нетканые материалы). В целях их упрочения используются следующие способы: механический (например, сшивание или другое закрепление), адгезивный (при помощи связующих материалов), когезивный (например, путем термического воздействия).

Тканые сплошные материалы состоят из волоконных систем (нитей), имеющих взаимно перпендикулярное направление. Различаются между собой видом волокна (тканая, мультифиламентная пряжа и сплетенные волокна) и видом плетения: например, холстовое плетение, панамское, диагональное, а также числом нитей на единицу площади. При этом места соединения могут быть усилены дополнительно в зависимости от предъявляемых требований.

Вязаные сплошные материалы. В данном случае - это собирательный термин, для изделий плоской формы. Такие изделия могут состоять из одной или нескольких волоконных композиций, соединенных друг с другом специальной волоконной системой (вязально-прошивные изделия, основовязальное полотно, рашели).

Тканые геосетки - это (как уже отмечалось) тканые материалы с ячейкой размером более 10 мм.

Вязаные геосетки. Такие материалы изготавливаются из синтетических рулонных материалов, которые первоначально перфорируются и вытягиваются в одном или двух направлениях (вдоль и поперек). В результате вытягивания молекулы полимеров ориентируются в направлении растяжения. Тем самым повышается прочность по направлению растяжения и соответственно уменьшается относительное удлинение. Узловые точки вязаных геосеток должны быть неподвижны, благодаря чему достигается распределение нагрузки между продольными и поперечными элементами сетки.

Слоистые геосетки изготавливаются из послойно уложенных ленточных элементов, которые располагаются крестообразно и связываются в местах контактов.

Рулоны и лентообразные элементы рассматриваются как сеткообразные продукты. Рулоны могут состоять, например, из тканых или вязаных полос, которые также расположены в плоскости слоев пряжи и фиксируются полимерным покрытием. Лентообразные элементы состоят из собранных в пучки слоев пряжи, окруженных синтетическим защитным покрытием.

Геосетки из стекловолокна состоят из взаимно переплетенных ровингов на основе стеклянных нитей. В местах переплетения утка и основы выполняется крепление в узлах сетки. В структуру геосеток из стекловолокна входит также защитное покрытие из различных химических водо-, щелоче- и морозостойких материалов.

Композиционные материалы состоят, как правило, из объединенных между собой в одной плоскости нетканых материалов, геосеток, георешеток, других искусственных полимерных материалов плоской или объемной формы.

Львович Ю.М. Геосинтетические и геопластиковые материалы в дорожном строительстве. - М., 2002. - 166 с. - (Автомоб. дороги: Обзоры, информ. / Информавтодор; Вып. 7).

Извлечение

2. СОВРЕМЕННЫЙ МИРОВОЙ УРОВЕНЬ В ОБЛАСТИ ИСПОЛЬЗОВАНИЯ ГЕОСИНТЕТИКИ И ГЕОПЛАСТИКИ В ДОРОЖНОМ СТРОИТЕЛЬСТВЕ

2.1. Общие вопросы

При анализе существующих, прежде всего, зарубежных документов по применению геосинтетических материалов, в частности в дорожном строительстве, особое значение приобретает немецкая «Памятная записка по применению геотекстиля и геосеток при земляных работах в дорожном строительстве» (далее «Памятная записка»).

«Памятная записка» содержит информацию о возможностях применения геотекстильного материала, геосетки и сеткоподобных «продуктов» при земляных работах и в гидротехнических сооружениях дорожного строительства. Помимо чисто дорожной ориентации в «Памятной записке» даются необходимые ссылки на ряд рекомендаций и своды правил для гидротехнического строительства, правила применения гидроизоляционных искусственных материалов для защиты от грунтовых вод, рекомендации для проектирования и расчётов армогрунтовых сооружений с армоэлементами из геосинтетических и геопластиковых материалов, рекомендации по устройству свалок и лома. Указанная «Памятная записка» для дорожного строительства действительна до выхода соответствующей европейской нормы условий поставки или предписаний (рекомендаций). «Продукты» государств - членов Европейского союза, которые не соответствуют требованиям, указанным в данной памятке, эквивалентно подвергаются также проводимым в стране их производства исследованиям и контролю, пока для них не будет установлен равным образом устойчивый и требуемый уровень защиты по безопасности, гигиене и пригодности к использованию.

Собирательный термин «продукт» или «продукты» довольно часто применяется в соответствующих текстах рекомендаций, докладах или высказываниях, которые касаются совокупности геосинтетических материалов.

Вместе с тем, в отечественной практике рассматриваемый «продукт» носит более чёткое и обобщённое определение.

Геосинтетические материалы - общая классификационная терминология для всех видов синтетических материалов, которые используются в различных отраслях строительства, в том числе и дорожной. Этот термин включает: геотекстильные материалы, георешётки, геосетки, геомембраны и геокомпозиты.

В терминологическом аспекте «Памятная записка» рассматривает термины, охватывающие следующий круг геосинтетических материалов.

Геотекстильный материал (водопроницаемый): нетканый, тканый, трикотаж, другие изделия плоской формы, характерные для искусственных полимерных материалов.

Геосетки или аналогичные композиции («продукты» в терминологии «Памятной записки»): плетёные, вязаные и уложенные геосетки (т.е. сформированные на месте производства работ), ленты и стержневидные элементы, комплексные материалы.

Гидроизоляционные материалы (водонепроницаемые или с незначительной степенью водопроницаемости): искусственные (полимерные) материалы, бентонитовые композиты, другие изделия из геосинтетики или геопластики плоской формы. Отметим, что выделенные структуры представлены в «Памятной записке» в самом общем виде и, очевидно, не могут претендовать на какую-либо классификацию.

Геотекстильными материалами являются водопроницаемые нетканые материалы, ткани, трикотаж и комплексные материалы для использования в дорожном строительстве.

Геосетками, которые выделены отдельно, являются изготовленные из синтетических волокон или пластических масс кристаллические структуры с различными узловыми соединениями и с шириной отверстия более 10 мм для применения в тех же целях. Различают геосетки:

плетёные;

вязаные;

уложенные.

Реже встречаются ленты и стержневидные элементы.

Отмеченные термины более подробно раскрываются в соответствующих разделах упомянутой «Памятной записки» в следующем виде.

Геотекстили, Нетканые материалы получают в результате скрепления синтетического холста уложенными по плоскостям друг на друга элементарными нитями (бесконечными волокнами) - элементарными неткаными нитями или штапельными волокнами длиной от 3 до 5 см. Скрепление может быть механическим (например, при прокалывании иглой или зашивании) и/или адгезионным (например, с помощью соединительного клеящего средства), или когезионным (например, при термическом воздействии).

Тканые материалы состоят из скрещивающихся под прямым углом нитевых систем (пряжи). Они различаются по виду пряжи (пряжа из штапельного волокна, мультиволоконная пряжа, кручёная нить, моноволоконная пряжа, узкие полоски, нарезанные из плёнки, и ерошенная нить); по её переплетению (так называемому соединению), например, полотняное переплетение типа «рогожка», и каркасное; по количеству нитей на единицу длины. При необходимости дополнительно укрепляются места скрещивания пряжи.

Трикотаж - общее наименование изделий плоской формы, которые состоят:

из одной или нескольких нитевых систем, соединённых друг с другом петлеобразно;

из одной или нескольких проходящих по прямой линии нитевых систем, связанных друг с другом следующей нитевой системой (вязально-прошивной, основовязальный трикотаж).

Геосетка. Сплетённая геосетка - это сетка с отверстиями более 10 мм.

Вязаная сетка изготавливается из синтетических лент. В лентах пробиваются отверстия, растягиваются в одном или обоих направлениях (вдоль и поперёк). При вытягивании полимерные молекулы ориентируются в направлении растяжения. При этом прочность в направлении растяжения увеличивается, а удлинение уменьшается. Узловые пункты не смещаются, благодаря чему происходит передача силового фактора между продольными и поперечными перемычками.

Уложенная геосетка в соответствии с «Памятной запиской» производится из покрытых оболочек лент. При этом ленты укладываются крестообразно и соединяются в местах перекрещивания.

Ленты и стержневидные элементы рассматриваются (обозначаются) как геосеткообразные «продукты». Ленты могут состоять, например, из сотканных или соединённых полос, а также из объединённых между собой на одном уровне слоев нитей, зафиксированных полимерной оболочкой. Стержневидные элементы выполняют из связанных переплетающихся нитей, которые обёрнуты материалом из искусственного волокна.

Комбинированные материалы или композиты состоят из объединённых в плоскости друг с другом нетканых материалов, тканей, геосетки и/или других плоскостных структур и композитов.

2.1.1. Технические характеристики геотекстильных материалов и георешёток

Общие положения. Характеристики «продукта» (геосинтетического материала) определяются его компонентами, их предназначением, используемым сырьём, типом, креплением или соединением волокон (нитей), или расположением узловых точек пересечения георешёток.

Сырьё. В настоящее время применяются следующие ткани или сырьё для сплошных материалов и решёток: полиамид (РА), полиэтилен (РЕ), полиэстер (PES) и полипропилен (РР). Полиэтилен и полипропилен известны как полиолефины. В целях обеспечения специальных характеристик «продукта» могут использоваться добавки (например, стабилизаторы), применяться оболочки из поливинилхлорида (ПВХ), полиэтилена (РЕ) или битума. Другим типом сырья являются разлагаемые натуральные материалы, такие, как лён, джут или кокос, которые применяются для защиты поверхности грунтового основания.

При их использовании почва, грунты и вода не подвергаются воздействию вредных веществ. Применяемые при производстве добавки, растворимые в воде или вымываемые водой, например, определённые авиважи (водные эмульсии, поверхностно-активные вещества), стабилизаторы или консерванты для авиважей, должны соответствовать указаниям, содержащимся в описании «продукта» в части типа и количественного соотношения.

Нетканые материалы используются в качестве разделительного и фильтрующего элемента в дорожной конструкции. В нетканых материалах с ориентированно расположенными волокнами механические характеристики не зависят от направления самих волокон. Такая зависимость может возникнуть вследствие частично ориентированного расположения волокон.

При натяжении только часть волокон будет подвержена нагрузке, а другая ориентируется по направлению натяжения. В результате достигается высокая эластичность нетканых материалов по сравнению с ткаными. Чем меньше волокон фиксируется в заданном положении, тем выше эластичность ткани. Механически закреплённый нетканый материал растягивается сильнее, чем связанный адгезионно или когезионно. В уложенном состоянии эластичность значительно снижается вследствие сопротивления поперечному сжатию. Нетканые материалы в зависимости от своей эластичности могут хорошо подходить для укладки на неровные грунтовые поверхности. Они повторяют неравномерно изменяющуюся граничную грунтовую поверхность при укладке, располагаясь между ней и дренирующим материалом. В случае локальных повреждений, например, при засыпке камнем, и сквозных деформациях (продавливании) благодаря своей эластичности (прежде всего эластичности волокон) структура материала, окружающего локальное повреждение, не изменяется, оставаясь в первоначальном положении. Трение между грунтом и нетканым материалом в значительной степени зависит от взаимодействия грунта и структуры верхней поверхности нетканых материалов.

Нетканые материалы обладают, как правило, хорошей водопроницаемостью. Толстый нетканый материал может также использоваться для отвода воды в её плоскости.

Тканые материалы применяются в тех случаях и ситуациях, когда требуется компенсировать дефицит силовых факторов в грунтовых сооружениях или слоях дорожных одежд.

Механические характеристики тканых материалов формируются через структуру нитей в ткацкой машине для правки утка и основы и зависят от направления при использовании. При разрыве одной или больше нитей ткань теряет часть своей прочности в направлении нити.

Трение и сцепление между грунтом и тканым материалом в значительной степени зависят от взаимодействия грунта и структуры ткани.

Технические фильтрационные характеристики определяются через ширину раскрытия кромок в материале. Смятие незначительно влияет на изменение фильтрационных характеристик. При растяжении ширина раскрытия кромок может меняться. Рекомендуется соблюдать ограничение (уменьшение) водопроницаемости при нагрузке, а также при укладке фунта во время фильтрационных технических измерений.

Трикотажные материалы. Для применения в земляных работах материалов этой группы особенно подходит текстиль с прямолинейной непрерывной ниточной ровинговой системой, когда необходимо использовать их растягивающее усилие. Особенностями трикотажных материалов являются:

высокое растягивающее усилие при небольшом относительном удлинении в направлении непрерывной нити (ровинга);

возможность воспринимать растягивающие напряжения в диагональном направлении при определённых «продуктах» этой группы с диагональной непрерывной системой нитей (ровингов);

низкая эластичность в направлении непрерывной нити по сравнению с ткаными и неткаными материалами;

характер передачи нагрузки при взаимодействии с грунтом или другим дорожно-строительным материалом, а также фильтрационные технические характеристики, соответствующие аналогичным параметрам тканых геотекстилей.

Георешётка. Используется в грунте для армирования различных конструктивных элементов сооружений. Передача силы нагрузки между фунтом и георешёткой осуществляется через трение, в котором при достаточной узловой жёсткости можно также дополнительно получить сопротивление грунту узлов и перемычек. Георешётки (или в отечественной практике геосетки) применяются также при армировании асфальтобетонных покрытий при их ремонте, реконструкции и в случаях борьбы с отражёнными трещинами.

Комбинированные материалы. Необходимы, когда требуется одновременное действие их отдельных компонентов. Их технические характеристики определяются взаимодействием отдельных компонентов материалов.

Определённые комбинированные материалы могут также использоваться для отвода воды в их плоскости.

Рассмотренная выше совокупность геосинтетических материалов не включает в качестве отдельного типа объёмные георешётки из полиэтиленовых лент, скреплённые между собой механическим или термическим способом, которые вошли в отечественную и зарубежную практику прежде всего для укрепительных работ. Кроме того, в разделе при рассмотрении геосеток (плоских структур) не приведены способы их получения (изготовления) методом экструдирования. Наконец, для дальнейшего анализа необходима более полная трактовка геомембран.

Геомембрана - это герметический элемент из полимерного материала, используемый для регулирования поверхностных и подземных вод и защиты от них оснований и фундаментов грунтовых сооружений, а также иных конструктивов.

2.1.2. Устойчивость к старению

При применении в рассмотренных «продуктах» (по терминологии немецкой «Памятной записки») синтетического сырья можно добиться их высокой долговечности за счёт достижения устойчивости к старению. Для этого необходимо обеспечить технологические требования при укладке материалов без механических дефектов, которые могут ухудшить их исходные характеристики. Существенное значение приобретает функция защиты материала от света (ультрафиолетовых лучей). Это касается прежде всего полипропилена. Следует принимать также во внимание чувствительность полиэфира к сильным щелочным воздействиям, что безусловно ограничивает их применение в конструкциях с бетонными или железобетонными элементами или требует проектирования специальных защитных мероприятий. Для отечественной практики необходимо иметь в виду то, что полиамид и геосинтетические материалы из него не морозостойки и не могут быть уложены в зонах ниже глубины промерзания. Изделия («продукты») из стекла, обладая относительно высокими «силовыми» функциями, снижают их при длительном взаимодействии с водой и отрицательными температурами, в связи с чем подвержены интенсивному старению и также требуют специфических мер защиты. Это следует учитывать при рассмотрении сроков службы дорожных конструкций и их отдельных элементов в случаях применения стеклоизделий.

Снижение (изменение) гидравлических и фильтрационных характеристик, а следовательно и соответствующих функций геосинтетических материалов в этом направлении, может быть предотвращено путём тщательного подбора и соответствия показателей их фильтрационных свойств составу прилегающего грунта (или наоборот).

Весьма важны усталостные свойства геосинтетических материалов, т.е. их реакция на воздействие длительной нагрузки (ползучесть). Роль этого фактора приобретает первостепенное значение при использовании так называемых «силовых» геосинтетических материалов с целью обеспечения или повышения надёжности фунтовых сооружений. Более подробно этот аспект будет рассмотрен в следующих разделах настоящего обзора.

2.1.3. Области применения

В самом широком аспекте области применения геосинтетических материалов в дорожной отрасли, охватывая как конструктивные, так и технологические решения, включают два направления: земляные сооружения и дорожные одежды. В качестве основополагающих функций геосинтетических материалов для указанных направлений характерны следующие.

Разделение. Разделение (trennen - нем.) грунтовых сред, различных по составу или состоянию, с целью исключения их перемешивания (особенно в процессе строительства) происходит путём соответствующей защиты и обеспечения в условиях эксплуатации неизменности по толщине конструктивных слоев. Особое значение эта функция приобретает при строительстве земляного полотна насыпей на слабых основаниях (в естественном залегании последних), а также устройстве рабочего слоя выемок в глинистых переувлажнённых грунтах и последующих дополнительных слоев дорожной одежды. Кроме того, во многих случаях функция разделения может быть использована в качестве дополнительной к другим, рассматриваемым ниже.

Фильтрация. Функция, которая направлена на осушение и отвод поверхностных и фунтовых вод от конструктивных элементов земляного полотна и дорожных одежд.

Осушение (дренирование). Использование геосинтетических материалов в качестве антикольматационных фильтров, а также горизонтальных и вертикальных дренажей в случаях применения композитных объёмных «продуктов» (дренажи в выемках, оползневых структурах).

Защита от эрозии. Укрепление наклонных и лекальных поверхностей грунтовых сооружений на автомобильных дорогах от вредного воздействия воды и ветра. Указанная функция может быть совмещена с дренированием поверхностных слоев откосных частей, например, в выемках (откосные дренажи).

Армирование. Силовая функция сплошных тканых геосинтетических материалов, геосеток и георешёток используется для армирования земляных сооружений и их оснований при строительстве, реконструкции, ремонте, а также асфальтобетонных покрытий.

В определённых случаях применение геосинтетических материалов, например, нетканых, охватывает такие области, как защита уплотняемых слоев насыпей от механических повреждений при движении построечного транспорта или уплотняющих средств. Особое значение указанная защитная функция приобретает при наличии слабых или недоуплотнённых естественных оснований. Отмеченные характерные особенности геосинтетических материалов, их разнообразие, а также выделенные области использования, которые в настоящее время хорошо корреспондируются в различных международных документах и, прежде всего, в «Памятной записке» и Британском стандарте, целесообразно классифицировать. Такая классификация разработана автором настоящего обзора на основе имеющейся практики, анализа и обобщения выделенных геосинтетических материалов, показателей их физико-механических свойств и областей использования в дорожном строительстве и представлена в табл. 1.

Подобная классификация имеет существенное значение для выбора того или иного геосинтетического материала в плане разработки рациональных типов дорожных конструкций применительно к конкретным инженерно-геологическим, грунтовым и климатическим условиям строительства и реконструкции.

Таблица 1

Наименование материалов

Исходный материал, полимер

Область применения

Основные требуемые показатели физико-механических свойств

Нетканые: иглопробивные (механическое крепление)

термоскреплённые (когезионные или адгезионные)

Полипропилен, полиэфир

Полипропилен

Разделительные прослойки, дренажные конструкции, обратные фильтры, защита от подложки для композитов и других конструкций (например, габионов, объёмных решёток)

Номинальная прочность при разрыве, относительное удлинение для номинальной прочности, прочность при заданной деформации, модуль упругости, (диаметр отверстия), несущая способность (за рубежом CBR), эффективная пористость, светостойкость, хим. стойкость, плотность, толщина

Тканые и трикотажные

Полиэфир, полипропилен

Армирование слабых оснований, армогрунтовые сооружения (откосы повышенной крутизны, армогрунтовые подпорные стенки)

Номинальная прочность при разрыве, относительное удлинение для номинальной прочности, прочность при заданной деформации, модуль упругости, предел ползучести, деформация и прирост деформации при ползучести, химо- и светостойкость, прочность при прокалывании конусом, несущая способность (CBR), плотность, толщина, водопроницаемость, коэффициент внешнего трения

Геосетки: тканые

Полипропилен, полиамид, полиэфир, стекло

Армирование грунтовых сооружений и естественных оснований, устройство гибких и жёстких свайных ростверков,

Номинальная прочность при разрыве, относительное удлинение для номинальной прочности, прочность при заданной деформации, модуль упругости, предел ползучести, деформация и прирост деформации при ползучести, химо- и светостойкость. плотность, когезия. коэффициент внешнего трения

экструзивные

Полипропилен, полиэтилен

армирование асфальтобетонных покрытий защита от отражённых трещин

Объёмные георешётки: модульные сотовидные габионного типа

Полиэтилен, полипропилен

Укрепление откосов, конусов, насыпей и выемок на подходах к искусственным сооружениям, укрепление водоотводных канав.

Прочность при разрыве ленты, прочность стыков, предельная деформация при разрыве, морозостойкость и химическая стойкость

То же

Армирование онований, откосов повышенной крутизны

Композиционные: волокнистые пористые материалы

Полипропилен, полиэтилен

Укрепление откосов, конусов в сложных климатических и грунтовых условиях

Водопроницаемость, прочность при разрыве, относительная деформация при номинальной прочности

многослойные структуры с пластиковым каркасом и защитными слоями из нетканых материалов малой плотности

Полипропилен, полиэтилен, полиэфир

Укрепление откосов и устройство дренажей различного назначения (траншейные, откосные, пластовые и т.д.)

Геомембраны (сплошные водонепроницаемые или слабопроницаемые рулонные материалы)

Полипропилена полиэтилен

Устройство жёстких гидроизоляционных прослоек; снижение активных сдвиговых напряжений за счет уменьшения трения в контакте с грунтом

Водопроницаемость, предел прочности при разрыве, относительное удлинение при разрыве, удобоукладываемость, толщина, плотность

Гидроизоляционные

Элементы: полипропилен +бентонит, другие изделия плоской формы

Устройство полностью водонепроницаемых элементов геотехнических конструкций

Водопроницаемость, в том числе и под расчётным давлением для защиты от фунтовых вод

Кроме общих характеристик, областей применения и требуемых показателей физико-механических свойств, классификация содержит ещё два крупных блока, конкретизирующих тот или иной геосинтетический материал. Так, например, для выбора нетканого геотекстильного материала в качестве разделительной прослойки (функция разделения) могут быть рассмотрены специальные спецификации конкретных материалов (нетканых), выпускаемых как отечественными, так и зарубежными производителями (например, Геоком, Виротекс, Пинотекс, Тайпар, Полифельт и др.). После выбора группы материалов с близкими показателями свойств, удовлетворяющих требуемым значениям для данной конструкции земляного полотна, технологии, другим условиям, марка геотекстильного материала может быть выбрана с учётом рациональной цены 1 м2. При этом для выбранного материала производитель должен представить паспорт с протоколами испытаний контрольных образцов.

Таким образом, данная классификация выходит из традиционных представлений, поскольку, кроме группировки материалов, требует некоторой системы базы данных о них, включая результаты испытаний. В связи с этим в Союздорнии разрабатывается на её основе соответствующий программный продукт, позволяющий не только выбрать требуемый материал для конкретных сооружений, но и занести его в базу данных и сохранить всю необходимую информацию о нем.

О выборе геотекстильных материалов для применения в практике строительства/А.П. Фомин, Ю.Р. Перков, О.Б. Коренков, В.В. Козич //Труды ГП Росдорнии. Вып 11. - М.: Фирма ВЕРСТКА. -2003. - С. 255-262.

Извлечение

В мировой практике строительства, реконструкции и ремонта автомобильных дорог для создания дополнительных слоев (прослоек) различного назначения широко используются геосинтетические материалы. Их привлекательность, прежде всего, определяется:

технологичной формой поставки, высоким качеством материала заводского изготовления, т. е. возможностью создания дополнительных слоев (прослоек) гарантированного качества при минимальных трудозатратах на месте производства работ и минимальных транспортных расходах;

выполнением в комплексе или раздельно нескольких функций - армирования, дренирования, защиты и гидроизоляции;

разнообразием самих геосинтетических материалов, различающихся по структуре, технологии производства, составу сырья, а значит по показателям свойств.

Возможность выбора материала затрудняется тем, что в настоящее время для отечественных потребителей оказались доступными десятки марок геосинтетических материалов. При этом каждая марка имеет 6-10 и более разновидностей материала. Иначе говоря, выбор измеряется сотнями вариантов, что затрудняет принятие близких к оптимальным вариантам конструктивно-технологических решений об устройстве дополнительных прослоек из геосинтетических материалов.

Для упрощения возможного предварительного выбора следует, прежде всего, упорядочить применяемую терминологию и ввести определенное разделение таких материалов. Предлагаемая строительная классификация геосинтетических материалов представлена на рисунке.

При данном разделении на группы, подгруппы, а в отдельных случаях на виды, представленная классификация дает возможность некоторой укрупненной характеристики геосинтетических материалов по функциям применения.

Другим обстоятельством, затрудняющим выбор геосинтетических материалов, является наличие разрывов в естественной цепочке принятия решений по применению таких прослоек: наличие конкретных задач в конкретной области применения - наличие для выполнения этих задач определенных функций прослоек - требуемые свойства геотекстильного материала прослойки - назначение и расчетное обоснование конкретного решения. В ряде случаев наличие разрывов в этой цепочке связано с неполнотой имеющихся экспериментально-теоретических разработок, недостаточной опытной проверкой некоторых разработок, малым практическим опытом (включая стадию эксплуатации дорожных конструкций с прослойками из геотекстильных материалов).

Строительная классификация геосинтетических материалов

Как следствие - это ведёт к наличию недостаточной нормативно-технической базы, к невозможности определения полной количественной оценки получаемого эффекта при сопоставлении с традиционными решениями и трудностям формулировки конкретных требований к показателям свойств геосинтетических материалов.

В то же время, в отдельных областях применения материалов, прежде всего связанных со строительством в условиях слабых грунтовых оснований и с повышением устойчивости откосов, а также в конструктивных слоях дорожных одежд, уже выполнены исследования, позволяющие оптимизировать подход к назначению конструктивно-технологических решений.

В настоящее время действующими нормативными документами рекомендовано использование дополнительных прослоек в слоях дорожных одежд в целом ряде случаев, например, в устройстве:

защитных (технологических) прослоек над дополнительным слоем основания из однородного песка;

защитных (разделяющих) прослоек на контакте слоев из крупнопористых материалов и песчаных дополнительных слоев основания для дорог с тяжелым и интенсивным движением;

защитных (разделяющих) прослоек на контакте слоев из крупнопористых материалов с грунтом земляного полотна;

трещинопрерывающих прослоек в случае устройства оснований из материалов, укрепленных цементом;

дренирующих и защитных (снижающих кольматацию песчаного слоя) прослоек под дополнительным слоем основания из песка.

Следует отметить, что регламентация применения таких прослоек, например, в ОДН 218.046-01, в определенных случаях сведена к конструктивному их введению без каких-либо требований к материалам прослоек. Формально это означает, что в проектной практике разрешено применение любого материала, каким-либо образом классифицируемого как геотекстильный. Такая классификация может быть выполнена, например, путем формальной сертификации, которая, однако, в настоящее время требует весьма серьезного совершенствования. Этим определяется актуальность обоснования и выбора показателей свойств геотекстильных материалов, применяемых при устройстве дополнительных слоев. При этом следует руководствоваться перечнем регламентируемых показателей свойств и методикой их определения.

В зависимости от выполняемых геосинтетическими материалами функций и области применения, их физико-механические свойства могут жестко ограничиваться но минимальным значениям и определять возможность и эффективность применения (основные свойства для данной функции - области применения), или влиять на эффективность применения (дополнительные свойства).

Семендяев Л.И. Методика расчета насыпей, армированных различными материалами.

М, 2001. - 44 с.

Извлечение

Метод армирования земляных сооружений с целью повышения степени их устойчивости известен давно, однако только в последние годы сфера его использования существенно расширилась в связи с тем, что строительство земляных сооружений приходится осуществлять в сложных условиях, а также в связи с тем, что в широком ассортименте появились новые армирующие материалы, в первую очередь, геотекстильные (геополотно, геосетки, георешетки и т.п.). Разнообразие таких материалов и их характеристик позволяет сегодня успешно решать задачу повышения надежности работы земляных сооружений различного назначения, в том числе и повышения до требуемого уровня степени устойчивости откосов земляного полотна автомобильных дорог. Такая задача возникает при строительстве земляного полотна, в стесненных условиях, строительстве высоких насыпей, использовании при сооружении земляного полотна местных грунтов, отличающихся сравнительно невысокими прочностными показателями, и в ряде других случаев.

Существующие методы расчета армированных откосов земляного полотна в своем большинстве носят приближенный характер, так как не в полной мере учитывают особенности работы армирующего материала в фунте, его (материала) деформативные свойства. Практически во всех разработках размещение армирующих прослоек по высоте земляного сооружения принимается фиксированным с постоянным шагом армирования. Как правило, при этом расчет ориентирован лишь на определение степени устойчивости конструкции в целом без решения задач по обеспечению требуемой степени устойчивости всех ее частей, равномерного нагружения всех горизонтов армирования, наиболее целесообразного с точки зрения повышения устойчивости откоса до требуемого уровня размещения прослоек в теле земляного полотна. При этом не рассматриваются задачи определения оптимального (минимально необходимого) количества горизонтов армирования, обоснованного места расположения каждого из них в теле земляного полотна, минимального расхода армирующих материалов и др.

Проведенный анализ существующих методов расчета армированных откосов, а также результатов экспериментальных исследований, выполненных в последние годы многими исследователями, позволил разработать новый, более обоснованный в сравнении с известными отечественными и зарубежными аналогами, метод расчета армогрунтовых конструкций, построенный на непосредственном учете условий взаимодействия грунта и армирующего материала на каждом горизонте армирования. При этом в качестве армирующего элемента может быть рассмотрен любой конкретный материал произвольного типа (геополотно, геосетки, георешетки и др.) с известными значениями прочностных и деформационных характеристик.

Разработанная методика оптимизационного расчета схемы армирования откосов насыпей земляного полотна построена в соответствии с рабочей гипотезой метода смещений на предположении существования потенциальной поверхности обрушения неустойчивой части откоса. При этом допускается регулируемая величина смещения неустойчивой части откоса до потенциальной поверхности. В качестве такой поверхности, как и в большинстве известных методов, рассматривается круглоцилиндрическая поверхность.

Справочник дорожных терминов / Под ред. В.В. Ушакова. - М.: «ЭКОН-ИНФОРМ», 2005. - 256 с.

Материалы справочника рассматривают термины: по изысканиям и проектированию дорог, дорожно-строительным материалам и производственным предприятиям, по расчету и конструированию земляного полотна и дорожных одежд, по строительству и эксплуатации автомобильных дорог и искусственных сооружений, безопасности дорожного движения.

Справочник предназначен для специалистов-дорожников, занимающихся вопросами проектирования, строительства и эксплуатации автомобильных дорог, мостов и труб. Может быть полезен для широкого круга научных работников, преподавателей, аспирантов и студентов дорожных вузов и факультетов.

Извлечение

Георешетка - геосинтетический материал в виде равномерной сетки из соединенных в одно целое полимерных элементов, работающих на растяжение; геометрические параметры отверстий сетки (решетки) обеспечивают значительное механическое сцепление с грунтом.

Геосетка - геосинтетический материал, в котором сетка связана узлами и отверстия шире, чем элементы плетения.

Геотекстиль - тканый или нетканый рулонный строительный материал, изготавливаемый из различного волокнистого сырья со значительной долей синтетических компонентов и используемый в качестве прослоек для различных целей при строительстве, реконструкции и ремонте земляных сооружений.

Геотекстиль нетканый - геосинтетический материал в виде полотна, тонкого листа или войлока, изготовленного из направленных или произвольно ориентированных волокон, скрепленных посредством трения и/или когезии и/или адгезии.

Геотекстиль тканый - геосинтетический материал, получаемый путем переплетения, обычно под прямым углом, двух или нескольких компонентов пряжи, волокон, нитей, лент или других элементов.




Яндекс цитирования



   Copyright © 2007-2026,  www.tehlit.ru.

[ ѓосты, стандарты, нормативы, инструкции, правила, строительные нормы ]