//
ТехЛит.ру
- крупнейшая бесплатная электронная интернет библиотека для "технически умных" людей.
WWW.TEHLIT.RU - ТЕХНИЧЕСКАЯ ЛИТЕРАТУРА

:: Алготрейдинг::


АЛГОТРЕЙДИНГ
шаг за шагом
с нуля по урокам!

Торговые роботы на PYTHON, BackTrader,
Pandas, Pine Script для TradingView. Связка с брокерами, телеграм и легкими приложениями.


Приказ Федеральной службы по экологическому, технологическому и атомному надзору
от 14 декабря 2007 г. N 859

Об утверждении и введении в действие Методических указаний по оценке последствий аварийных выбросов опасных веществ

Приказываю:

Утвердить и ввести в действие с 25 января 2008 г. прилагаемые Методические указания по оценке последствий аварийных выбросов опасных веществ (РД 03-26-2007).

 

Руководитель                                К.Б. Пуликовский

Методические указания
по оценке последствий аварийных выбросов опасных веществ (РД 03-26-2007)

Зарегистрировано Федеральной службой
по экологическому, технологическому
и атомному надзору 27 декабря 2007 г.
Регистрационный N 539

Введены в действие с 25 января 2008 г.

I. Общие положения

II. Методические основы расчетов

III. Расчет характеристик выброса опасных веществ

IV. Расчет полей концентрации и токсодозы

Приложение N 1 Термины и их определения

Приложение N 2 Перечень условных обозначений и размерностей показателей, используемых в расчетах оценки последствий аварийных выбросов опасных веществ

Приложение N 3 Схемы распространения первичного и вторичного облаков (с указанием характеристик облаков)

Приложение N 4 Возможные конфигурации оборудования и схемы его разрушения

Приложение N 5 Возможные стадии развития аварийной ситуации

Приложение N 6 Перечень данных, необходимых для проведения расчета по оценке последствий аварийных выбросов опасных веществ

Приложение N 7 Характеристики подстилающих поверхностей, атмосферы и опасных веществ

Приложение N 8 Термодинамический расчет состояния смеси в облаке

Приложение N 9 Примеры расчетов

Приложение N 10 Блок-схема расчета последствий аварийного выброса опасных веществ

Приложение N 11 Список использованных источников

 

I. Общие положения

1. Методические указания по оценке последствий аварийных выбросов опасных веществ (далее - Методические указания) применяются при расчете зон распространения опасных веществ в атмосфере при промышленных авариях.

2. Методические указания разработаны в соответствии с:

- Федеральным законом от 21 июля 1997 года N 116-ФЗ "О промышленной безопасности опасных производственных объектов" с изменениями на 9 мая 2005 года;

- Порядком оформления декларации промышленной безопасности опасных производственных объектов и перечнем включаемых в нее сведений (РД 03-14-2005), утвержденным приказом Федеральной службы по экологическому, технологическому и атомному надзору от 29.11.2005 N 893;

- Методическими указаниями по проведению анализа риска опасных производственных объектов (РД 03-418-01), утвержденными постановлением Госгортехнадзора России от 10.07.2001 N 30;

- Общими правилами взрывобезопасности для взрывопожароопасных химических, нефтехимических и нефтеперерабатывающих производств (ПБ 09-540-03), утвержденными постановлением Госгортехнадзора России от 05.05.2003 N 29, зарегистрированным Министерством юстиции Российской Федерации 15.05.2003 г., регистрационный N 4537;

- ГОСТ Р 12.3.047-98 ССБТ. Пожарная безопасность технологических процессов. Общие требования. Методы контроля;

- Методикой оценки последствий химических аварий (Методика "ТОКСИ"). М.:НТЦ "Промышленная безопасность", 1993, 19 с;

- Методикой оценки последствий химических аварий (Методика "ТОКСИ-2.2" НТЦ "Промышленная безопасность", согласованная Госгортехнадзором России) в сборнике "Методики оценки последствий аварий на опасных производственных объектах": Сборник документов. Серия 27. Выпуск 2 / Колл. авт. - 2-е изд., испр. и доп. - М.:ГУП НТЦ "Промышленная безопасность", 2002. - 208 с.

3. Действие Методических указаний распространяется на случаи выброса опасных веществ в атмосферу как в однофазном (газ или жидкость), так и в двухфазном (газ и жидкость) состоянии. Соответственно облако, рассеивающееся в атмосфере, состоит либо только из газа (воздух и опасное вещество), либо из газа (воздух и опасное вещество) и жидких аэрозольных включений (капли опасного вещества).

4. Методические указания применяются для расчетов выбросов опасных веществ, плотность которых на месте выброса больше плотности воздуха при соответствующих условиях.

5. Методические указания позволяют определить:

- количество поступивших в атмосферу опасных веществ при различных сценариях аварии;

- пространственно-временное поле концентраций опасных веществ в атмосфере, в том числе зоны опасного воздействия на окружающую природную среду;

- размеры зон химического заражения, соответствующих различной степени поражения людей, определяемой по ингаляционной токсодозе, в том числе с учетом времени накопления токсодозы (с учетом пробит-функции);

- размеры зон дрейфа пожаровзрывоопасных облаков, в пределах которых сохраняется способность к воспламенению, и размеры зон распространения пламени (пожара-вспышки) или детонации, области продуктов сгорания;

- количество опасного вещества в облаке, ограниченном концентрационными пределами воспламенения.

6. Методические указания предназначены для работников Федеральной службы по экологическому, технологическому и атомному надзору, осуществляющих надзор за опасными производственными объектами.

Методические указания используются при:

- проектировании производственных объектов, на которых получаются, используются, перерабатываются, образуются, хранятся, транспортируются, уничтожаются опасные вещества;

- разработке деклараций промышленной безопасности;

- анализе риска аварий на опасных производственных объектах;

- разработке планов локализации и ликвидации аварийных ситуаций;

- разработке инженерно-технических мероприятий по предупреждению, локализации и ликвидации последствий аварий, сопровождающихся выбросом опасных веществ;

- разработке мероприятий по защите персонала и населения от возможных аварий;

- оценке воздействия аварийных выбросов опасных веществ на окружающую среду;

- обосновании условий страхования и проведении иных процедур, связанных с оценкой последствий выбросов опасных веществ на опасных производственных объектах.

7. Основные термины, использованные в документе, и их определения приведены в приложении N 1.

8. Перечень условных обозначений и размерностей показателей, применяемых при расчетах, представлен в приложении N 2.

II. Методические основы расчетов

9. Расчеты распространения опасных веществ в атмосфере, приведенные в данных Методических указаниях, основаны на модели рассеяния "тяжелого" газа. Основными причинами образования "тяжелых" газов являются: молекулярный вес опасного вещества выше молекулярного веса воздуха (29,5 г/моль), низкая температура, наличие аэрозолей.

10. Модель "тяжелого" газа учитывает следующие процессы:

- движение облака в переменной по высоте скорости ветра;

- гравитационное растекание;

- рассеяние облака в вертикальном направлении за счет атмосферной турбулентности (подмешивание воздуха в облако);

- рассеяние облака в горизонтальном направлении за счет подмешивания воздуха в облако, происходящего, как за счет атмосферной турбулентности, так и за счет гравитационного растекания;

- нагрев или охлаждение облака за счет подмешивания воздуха;

- фазовые переходы опасного вещества в облаке;

- теплообмен облака с подстилающей поверхностью.

11. В Методических указаниях приняты следующие допущения:

- газообразное опасное вещество считается идеальным газом, свойства которого не зависят от температуры;

- жидкое опасное вещество считается несжимаемой жидкостью, свойства которой не зависят от температуры;

- гравитационное растекание облака опасного вещества учитывается с помощью эмпирической зависимости;

- истечение опасного вещества и его испарение происходят с постоянной скоростью, соответствующей максимальной скорости истечения (испарения);

- разлив жидкой фазы происходит на твердой, не впитывающей поверхности;

- для случаев отсутствия обвалования толщина слоя разлившегося опасного вещества принимается равной 0,05 м *(1);

- осаждение на подстилающую поверхность выброса опасного вещества ("тяжелого" газа) и его химические превращения при рассеянии не учитываются.

12. В Методических указаниях используются стандартные характеристики атмосферы и профили ветра, а также известные скорости подмешивания воздуха в выброс.

Для описания устойчивости атмосферы используется 6 классов устойчивости - А, В, С, D, Е и F (по Паскуилу). Первые три класса соответствуют неустойчивой стратификации атмосферы, последние два - устойчивой. Класс D - соответствует нейтральной стратификации атмосферы. Характеристики атмосферы рассчитываются согласно соотношениям раздела III.

Предполагается, что в течение времени распространения облака, характеристики атмосферы не меняются.

13. В Методических указаниях рассматриваются следующие условия изменения состояния опасного вещества:

- проливы жидкой фазы имеют форму квадрата, вдоль одной из сторон которого направлен ветер; в случае если поперечные размеры пролива существенно отличаются во взаимоперпендикулярных направлениях, допускается принимать поперечный размер пролива отличным от принятого в Методических указаниях;

- выброс происходит на уровне земли или площадки (этажерки), где расположено технологическое оборудование, рассеяние выброса проходит от уровня поверхности земли;

- в начальный момент времени (на месте выброса) первичное облако опасного вещества имеет форму цилиндра (рисунок 3.1), а сечение вторичного облака во всех сценариях представляет собой прямоугольник (рисунок 3.2);

- капли в облаках и пролив жидкости на подстилающую поверхность не "захолаживаются", т.е. их температура не опускается ниже температуры кипения;

- распространение выброса происходит над твердой ровной поверхностью, с которой нет обмена массой, а есть только обмен теплом;

- в начальный момент времени в облаках (первичном и вторичных) опасное вещество воздухом не разбавлено;

- в облаке существует фазовое равновесие газ-жидкость, это равновесие устанавливается мгновенно;

- фазовые переходы опасного вещества приводят только к изменению высоты облака;

- при определении размеров зон, где возможно горение (или детонация) топливно-воздушной смеси (далее - ТВС), предполагалось что горение (или детонация) могут быть инициированы в областях со средней концентрацией от 0,5 нижнего концентрационного предела распространения пламени (далее - НКПВ) до верхнего концентрационного предела распространения пламени (далее - ВКПВ).

14. Методические указания не применяются или применяются ограниченно в следующих случаях:

- расчет рассеяния вещества в штилевых условиях;

- расчет распространения выброса внутри помещений;

- распространение выброса в пределах 20-30 км от места выброса;

- распространение выброса с массой опасного вещества в первичном облаке более 500 т;

- распространение облаков от пролива опасного вещества площадью более 250 тыс. м2;

- наличие на пути движения облака препятствий, размеры которых больше размеров облака;

- рассеяния твердых опасных веществ;

- выпадения конденсированной фазы на подстилающую поверхность и ее повторного поступления в атмосферу.

III. Расчет характеристик выброса опасных веществ

15. Методические указания позволяют провести расчеты для следующих инициирующих событий аварийных ситуаций в зависимости от характера разрушения оборудования и агрегатного состояния опасного вещества в нем.

а) Для опасного вещества, находящегося в технологическом оборудовании в газообразном состоянии:

1) Сценарий 1. Полное разрушение оборудования, содержащего опасное вещество в газообразном состоянии.

2) Сценарий 2. Нарушение герметичности (частичное разрушение) оборудования, содержащего опасное вещество в газообразном состоянии.

б) Для опасного вещества, находящегося в технологическом оборудовании в жидком состоянии:

1) Сценарий 3. Полное разрушение оборудования, содержащего опасное вещество в жидком состоянии.

2) Сценарий 4. Нарушение герметичности (частичное разрушение) оборудования, содержащего опасное вещество в жидком состоянии.

По сценариям 1 и 3 опасное вещество мгновенно поступает в окружающую среду; по сценариям 2 и 4 опасное вещество поступает в окружающую среду через отверстие площадью S в течение продолжительного времени.

Сценарии 1 и 3 применимы только к емкостному оборудованию, сценарии 2 и 4 - как к емкостному оборудованию, так и к трубопроводам.

Возможные конфигурации оборудования и схемы его разрушения показаны в приложении N 4, возможные стадии развития аварийных ситуаций для различных сценариев приведены в приложении N 5.

Приведенный перечень сценариев выброса не охватывает всего разнообразия возможных ситуаций, поэтому при выборе сценария для случаев, не перечисленных выше, следует руководствоваться соображениями физического подобия процессов.

16. При прогнозировании наибольших масштабов химического заражения и размеров зон, ограниченных концентрационными пределами воспламенения опасного вещества, в качестве исходных данных рекомендуется принимать:

- сценарий с полным разрушением емкости (технологической, складской, транспортной и др.), содержащей опасное вещество в максимальном количестве;

- сценарий "гильотинного" разрыва трубопровода с максимальным расходом при максимальной длительности выброса;

- метеорологические условия - класс устойчивости атмосферы - F, скорость ветра на высоте 10 м - 1-3 м/с.

17. Исходными данными для расчета являются

- физико-химические воспламеняющиеся, горючие и токсикологические характеристики опасного вещества;

- физические характеристики воздуха;

- количество опасного вещества и значения параметров технологического процесса;

- параметры оборудования, в котором обращается опасное вещество;

- сценарий выброса опасного вещества в атмосферу;

- для выброса жидкой фазы характер разлива на подстилающей поверхности и ее характеристики;

- топографические характеристики территории вблизи аварийного объекта и температура поверхности, над которой распространяется выброс;

- метеоусловия на момент аварии;

- время экспозиции.

Полный перечень исходных данных, необходимых для проведения расчета выброса опасных веществ, полей концентрации и токсодоз приведен в приложении N 6.

18. Основными величинами, расчет которых проводится в соответствии с настоящими Методическими указаниями, являются:

- пространственно-временное распределение концентраций опасного вещества, как в жидком, так и в газообразном состоянии, в том числе пространственное распределение максимально достигаемой концентрации опасного вещества в данной точке на поверхности земли;

- пространственные размеры зон достижения токсодоз заданной величины, в том числе пороговой и смертельной, размеры зон токсического поражения заданной вероятности, а также размеры зон, ограниченных концентрационными пределами воспламенения;

- количество опасного вещества в облаке, ограниченное концентрационными пределами воспламенения и способное участвовать во взрывных превращениях (горении и детонации).

В ходе расчета также определяются:

- количества опасных веществ, поступающих в окружающую среду в газовой и жидкой фазах;

- количество опасного вещества, распространяющееся в атмосфере и выпадающее на подстилающую поверхность (при наличии жидкой фазы);

- площадь пролива и скорость испарения опасного вещества из пролива (при наличии жидкой фазы);

- при продолжительном выбросе определяется скорость и длительность поступления опасного вещества в окружающую среду, масса капельных включений в облаках (первичном и вторичных), эффективные температура и плотность в облаках, геометрические характеристики облаков (эффективные высота и радиус/полуширина), скорости распространения облаков, времена подхода и поражающего действия облаков.

19. Границы зон химического заражения опасным веществом рассчитываются по смертельной и пороговой токсодозам при ингаляционном воздействии на организм человека, либо по пробит-функциям, приведенным в приложении N 7 (таблицы 7.1, 7.2).

20. В общем случае для выбранного i-го сценария рассчитываются следующие характеристики выброса:

,

.

Для сценария 4 при истечении из трубопровода, если количество опасного вещества в отсекаемом участке аварийного трубопровода составляет более 20% общей массы выброса, рассчитываются также следующие характеристики выброса:

.

21. Для сценария 1 характеристики выброса рассчитываются по следующим формулам:

,                         (1)

если известна масса опасного вещества в оборудовании Q, или

,             (2)

если неизвестна масса опасного вещества в оборудовании Q, но известны объем оборудования , давление в оборудовании  и температура в оборудовании .

,                        (3)

, *(2)                        (4)

,                        (5)

, *(3)                      (6)

где  - плотность газообразного опасного вещества в оборудовании.

.                   (7)

При отсутствии данных о начальных размерах первичного облака рекомендуется принимать его радиус равным его высоте:

,                        (8)

,                (9)

.              (10)

22. Для сценария 2 характеристики выброса рассчитываются по следующим формулам:

,                             (11)

.                   (12)

Если истечение происходит из трубопровода, на входе которого стоит компрессор, и S превосходит величину , то  полагается равным расходу компрессора .

,               (13)

,                         (14)

если известна масса опасного вещества в оборудовании Q, и

,              (15)

если неизвестна масса опасного вещества в оборудовании Q, но известны объем оборудования , давление в оборудовании  и температура в оборудовании .

,                   (16)

,                   (17)

где  - плотность газообразного опасного вещества в оборудовании.

.                 (18)

При отсутствии данных о начальных размерах вторичного облака рекомендуется для прямоугольного сечения этого облака принимать его полуширину равной его высоте *(4):

,                     (19)

,                          (20)

.                       (21)

23. Для сценария 3 характеристики выброса рассчитываются по следующим формулам:

,                         (22)

,                       (23)

где  - объемная доля оборудования, заполненная газовой фазой (формула (23) применяется, если заранее известна величина ).

,                         (24)

,                      (25)

,                     (26)

,              (27)

где F - площадь поверхности пролива, принимается равной площади обвалования, а при отсутствии обвалования или незначительной массе выброса определяется по формуле:

; *(5)                       (28)

где  - площадь контакта с твердой поверхностью, эта площадь включает как боковую поверхность обвалования, так и подстилающую поверхность; при проливе на неограниченную поверхность ;

              (29)

,               (30)

, *(6)                  (31)

,                    (32)

,                      (33)

,                  (34)

                      (35)

,                   (36)

.              (37)

При отсутствии данных о начальных размерах первичного и вторичного облаков рекомендуется для первичного облака принимать начальный радиус равным его высоте, а полуширину вторичного облака - полуширине пролива:

,                        (38)

,               (39)

,                         (40)

,                       (41)

.                     (42)

24. Для сценария 4 характеристики выброса рассчитываются по следующим формулам.

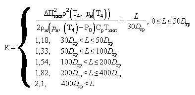
Если истечение происходит из трубопровода, на входе которого стоит емкость и величина S превосходит , либо истечение происходит непосредственно из емкости, то расход определяется по формуле:

,               (43)

, где

 - плотность газообразного опасного вещества при температуре  и давлении ;

К - функция, зависящая от L - длины участка трубопровода от входа до места разгерметизации (в случае истечения последнего из емкости L=0).

                      (44)

Если истечение происходит из трубопровода, на входе которого стоит насос, а величина S превосходит , то  полагается равным расходу насоса .

В остальных случаях расход определяется по формуле:

              (45)

В случае если истечение происходит через трубопровод и количество опасного вещества в отсекаемом участке аварийного трубопровода составляет более 20% общей массы выброса, то необходимо рассмотреть истечение после блокировки аварийного участка. Скорость выброса на этой стадии будет составлять:

 

                     (46)

Если истечение из трубопровода после отсечения аварийного участка не рассматривается, то .

,     (47)

,              (48)

,           (49)

,            (50)

где  - площадь поверхности пролива, принимается равной площади обвалования, а при отсутствии обвалования или незначительной массе выброса определяется по формуле:

, (51)

,       (52)

,       (53)

где  - площадь контакта с твердой поверхностью, эта площадь включает как боковую поверхность обвалования, так и подстилающую поверхность; при проливе на неограниченную поверхность ;

 при проливе в обвалование

и

 при проливе на неограниченную поверхность;

 при проливе в обвалование

и

 при проливе на неограниченную поверхность;

где  - давление насыщенных паров опасного вещества при температуре ;

,              (54)

,                         (55)

,                       (56)

,               (57)

,                     (58)

,                 (59)

,              (60)

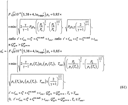
Формула 61

Формула 62

,                (63)

 ,                     (64)

где  - эффективная площадь эмиссии из разгерметизированного оборудования (определяется с учетом максимальной площади свободной поверхности в оборудовании ) находится из соотношения:

,              (65)

,               (66)

,                         (67)

,                  (68)

Если пролив происходит в обвалование, то площадь пролива F совпадет с площадью обвалования, в противном случае площадь пролива определяется по следующей формуле:

,              (69)

Формула 70

,                         (71)

Формула 72

, (73)

,                     (74)

Формула 75

,                   (76)

                  (77)

                    (78)

,                        (79)

где .

                                    (80)

При отсутствии данных о начальных размерах первичного облака рекомендуется принимать его радиус равным его высоте:

,                                    (81)

При отсутствии данных о начальных размерах вторичных облаков, формирующихся при наличии пролива, рекомендуется для облаков принимать полуширину вторичного облака равной полуширине пролива, либо в отсутствие пролива:

                    (82)

              (83)

,                    (84)

,                     (85)

,               (86)

,                      (87)

.                     (88)

При отсутствии данных о начальных размерах вторичных облаков, формирующихся в отсутствие пролива, рекомендуется для прямоугольного сечения вторичного облака принимать его полуширину равной его высоте.

,                         (89)

.                (90)

IV. Расчет полей концентрации и токсодозы

25. Для условий, в которых происходит выброс, определяются характерный размер шероховатости поверхности , класс устойчивости атмосферы, характеристика профиля ветра , масштаб Монина-Обухова , динамическая скорость , скорость подмешивания воздуха  и коэффициент дисперсии в поперечном направлении .

26. Для условий, в которых происходит выброс, определяется характерный размер шероховатости . Если характерный размер шероховатости не может быть задан исходя из реальных метеорологических условий с приведением соответствующих обоснований, то он задается согласно данным, приведенных в приложении N 7 (таблица 7.3).

Если в результате расчета окажется, что вертикальный размер облака с требуемыми характеристиками меньше, чем характерный размер шероховатости, то это означает, что результаты расчетов по данным Методическим указаниям можно рассматривать лишь в качестве оценочных.

27. Для условий, в которых происходит выброс, определяется класс устойчивости атмосферы. Если класс устойчивости не может быть задан исходя из реальных метеорологических условий с приведением соответствующих обоснований, то класс устойчивости задается с использованием данных, приведенных в приложении N 7 (таблица 7.4) в зависимости от скорости ветра и интенсивности теплового потока у поверхности (инсоляция и облачность).

Для расчета наихудшего варианта принимается класс устойчивости - F и скорость ветра - 1 м/с.

28. Для характерного размера шероховатости , класса устойчивости и скорости ветра  на высоте  определяется коэффициент  в соответствии с данными, приведенными в приложении N 7 (таблица 7.5) *(7).

При проведении расчетов первоначально следует выбирать , для высоты до 20 м (первое значение см. приложение N 7 (таблица 7.5)).

Если в результате расчета окажется, что вертикальный размер облака с требуемыми характеристиками больше 20 м, то следует провести новый расчет с измененным  для высоты до или свыше 50 м в зависимости от рассчитанного вертикального размера облака.

29. Для характерного размера шероховатости  и выбранного класса устойчивости определяется масштаб Монина-Обухова  для нейтральной устойчивости атмосферы (класс D). Для остальных условий устойчивости атмосферы масштаб Монина-Обухова определяется по формуле (91) с использованием данных, приведенных в приложении N 7 (таблица 7.6).

                 (91)

30. Определяется динамическая скорость:

,                      (92)

где  - задается, исходя из класса устойчивости атмостферы, согласно (93):

                 (93)

где

31. Скорость подмешивания воздуха в облако через верхнюю границу определяется в зависимости от характеристик облака (эффективной плотности , эффективной высоты , эффективной температуры  и эффективной теплоемкости облака ) *(8) по следующей формуле:

,                      (94)

,                  (95)

,                        (96)

где , b=0,2, ,  - удельный тепловой поток (отповерхности земли в облако), описываемый ниже ((111) - (114) или (129) - (132)).

 

32. Коэффициент дисперсии в поперечном направлении  определяется по следующей формуле (97) с помощью данных, приведенных в приложении N 7 (таблица 7.7).

                (97)

где ,

33. Для каждой из стадий выброса по сценарию i-му определяются поля концентрации опасного вещества и максимальная концентрация опасного вещества на оси х.

Для первичного облака концентрация опасного вещества и размеры облаков при их рассеянии вычисляются по формулам (98) - (114).

34. Состояние первичного облака в каждый момент времени характеризуется следующими параметрами:

.

Они дополняются еще четырьмя, которые рассчитываются на основе введенных выше переменных *(9): , , , .

                        (98)

                         (99)

               (100)

               (101)

Схема первичного облака изображена на рисунке 3.1.

35. Распределение концентрации опасного вещества в облаке описывается зависимостями:

, при                  (102)

, при                       (103)

36. Для определения пространственного распределения концентрации, профиль которой задан в п. 35, с помощью вышеперечисленных параметров (п. 34) используются следующие уравнения.

Сохранение массы выброшенного вещества :

.                        (104)

Изменение массы облака :

.               (105)

Гравитационное растекание облака:

.                 (106)

Боковое рассеяние выброса за счет атмосферной диффузии:

, при                         (107)

или

, при                 (108)

Сохранение энергии в облаке :

                   (109)

Способ расчета удельного теплового потока от подстилающей поверхности в облако  приведен ниже в п. 37.

Положение центра облака

                         (110)

Величины  и , используемые в вышеприведенных формулах, а также величина  вычисляются согласно подходу, изложенному в приложении N 8.

37. Определение удельного теплового потока (от поверхности земли в облако):

                  (111)

                   (112)

               (113)

                      (114)

Для длительных выбросов концентрация опасного вещества и размеры облаков при их рассеянии вычисляется по формулам (115) - (132).

38. Дрейф вторичного облака рассматривается для следующих шести стадий аварии (см. приложение N 5):

- истечение жидкой фазы до отсечения аварийного участка;

- истечение жидкой фазы из аварийного участка после его отсечения (для сценария 4);

- истечение газа при наличии пролива жидкой фазы и испарение с пролива;

- истечение газа из разрушенного оборудования при отсутствии пролива жидкой фазы;

- испарение с пролива при отсутствии истечения жидкости или газа из разрушенного оборудования;

- испарение из емкости при отсутствии пролива.

Для каждой из этих стадий рассчитывается свое вторичное облако. При расчете каждой из этих стадий задаются свой расход опасного вещества в шлейфе  и расход жидкой фазы в начальном сечении :

,

свой начальный размер облака (полуширина  и высота ):

 и .

Ранее эти величины для разных сценариев были рассчитаны по формулам (4), (8) - (10), (12), (13), (19) - (21), (31) - (32), (38) - (42), (54), (57), (61) - (64).

Состояние вторичного облака в каждом поперечном сечении характеризуется следующими параметрами:

, , , , , , , .

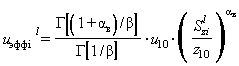
Кроме того, облако характеризуется такими параметрами, как . Они дополняются еще четырьмя - , которые рассчитываются на основе введенных выше переменных по формулам (115) - (118) *(10):

,                    (115)

,                      (116)

,                       (117)

.                      (118)

Схема шлейфа изображена на рисунке 3.2.

39. Распределение концентрации опасного вещества во вторичном облаке описывается зависимостями:

, при  и                     (119)

, при  и               (120)

При  и  .

40. Для определения пространственного распределения концентрации, профиль которой задан в п. 39, с помощью вышеперечисленных параметров (п. 38) используются следующие уравнения:

Сохранение массы выброшенного вещества :

.                      (121)

Изменение расхода в шлейфе :

.                      (122)

Гравитационное растекание облака:

.                  (123)

Боковое рассеяние выброса за счет атмосферной диффузии:

, при                         (124)

, при                  (125)

Сохранение энергии в облаке :

                         (126)

Способ расчета удельного теплового потока , приведен в п. 38.

Положение переднего края облака , определяют по формулам:

                (127)

После окончания l-й стадии выброса определяется положение заднего края

                  (128)

Величины , используемые в вышеприведенных формулах, а также величина  вычисляются согласно подходу, изложенному в приложении N 8.

41. Определение удельного теплового потока проводится по следующим формулам:

.              (129)

.                         (130)

.               (131)

.                   (132)

42. Концентрация опасного вещества в точке в момент времени t при i-ом сценарии определяется по формуле:

.             (133)

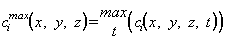
43. Определяется максимально возможная концентрация опасного вещества на расстоянии х от места аварии при i-ом сценарии и время , когда достигается эта концентрация. По  определяется стадия (или сочетания стадий аварии) на которой (которых) достигаются максимальные концентрации опасного вещества:

.               (134)

44. Путем интегрирования по времени концентрации  определяется поле токсодозы , а также распределение максимальной токсодозы, достигаемой на заданном расстоянии от места выброса . Максимальная токсодоза для заданного расстояния за все время экспозиции достигается на оси у = 0, z = 0. При необходимости определяются составляющие токсодозы, соответствующие облакам (первичному и вторичным), образовавшимся на различных стадиях аварии  и  и максимальные токсодозы, достигаемые на заданном расстоянии от облаков, образовавшихся на разных стадиях аварии,  и

45. Сравнением с пороговыми и смертельными токсодозами (см. таблицу 7.1) определяются расстояния, соответствующие смертельному поражению и пороговому воздействию. Для оценки вероятности смертельного поражения человека используется пробит-функция Рr, по которой с использованием таблиц 7.1, 7.2 определяется вероятность смертельного поражения человека на открытом пространстве. Величина Рr определяется по следующей формуле:

,               (135)

где коэффициенты a, b, n берутся из данных таблицы 7.1.

46. Для взрывопожароопасных выбросов в момент времени  определяются поверхности, ограничивающие в пространстве области ВКПВ  и 0,5 НКПВ .

Граница области ВКПВ  определяется уравнением:

.                         (136)

Граница зоны 0,5 НКПВ  определяется уравнением:

.                         (137)

Область в пространстве, где возможно воспламенение и горение (детонация) пожаровзрывоопасного вещества определяется как огибающая поверхностей , за все моменты времени  существования в пространстве концентраций выше 0,5 НКПВ.

47. Для взрывопожароопасных выбросов определяются размеры зон на которые может дрейфовать выброс, сохраняя способность к воспламенению. Полагается, что этот размер соответствует достижению средних концентраций 0,5 НКПВ.

Граница зоны достижения 0,5 НКПВ на уровне  в момент времени  определяется соотношением:

.                        (138)

Граница зоны достижения 0,5 НКПВ в вертикальной плоскости, перпендикулярной ветру , в момент времени  определяется соотношением:

.                       (139)

Граница зоны достижения 0,5 НКПВ в вертикальной плоскости, параллельной ветру , в момент времени  определяется соотношением:

.                       (140)

Линия, ограничивающая в соответствующей плоскости (,  или ) область, где возможно воспламенение и горение пожаровзрывоопасного вещества, определяется как огибающая профилей линий (138)-(140), за все моменты времени  существования в пространстве концентраций выше 0,5 НКПВ.

48. Для взрывопожароопасных выбросов в момент времени  определяется масса топлива, находящаяся во взрывоопасных пределах и способная участвовать в процессах горения или детонации. Эта масса определяется путем интегрирования концентрации по пространству, ограниченному поверхностями  и :

.                       (141)

Если в результате расчета по формуле (141) в первичном облаке во взрывоопасных пределах окажется масса больше 10% всей массы топлива, находящейся в первичном облаке, то масса топлива во взрывоопасных пределах первичного облака принимается равной 10% всей массы топлива, находящейся в первичном облаке.

Приложение N 1

Термины и их определения

Авария - разрушение сооружений и (или) технических устройств, применяемых на опасном производственном объекте, неконтролируемый взрыв и (или) выброс опасных веществ (Федеральный закон "О промышленной безопасности опасных производственных объектов").

Аварийная ситуация - ситуация, когда произошла авария и возможен дальнейший ход ее развития.

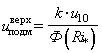
Время экспозиции - время, за которое набирается ингаляционная токсодоза (верхний предел интегрирования концентрации опасного вещества по времени в формуле расчета токсодозы).

Вторичное облако (или шлейф) - облако опасного вещества, образующееся в результате длительного выброса газа или перегретой вскипающей жидкости, а также в результате испарения опасного вещества с подстилающей поверхности или из разгерметизированного оборудования и распространяющееся по ветру от места выброса; во вторичном облаке может существовать ядро - область пространства, в которой концентрация на заданной высоте постоянна (не изменяется при перемещении в горизонтальном направлении перпендикулярном ветру, хотя может изменяться при перемещении по вертикали).

Выброс опасного химического вещества - выход из технологических установок, емкостей для хранения или транспортирования опасного химического вещества или продукта в количестве, способном вызвать химическую аварию (ГОСТ Р 22.0.05-94).

Завершение аварии - прекращение поступления в окружающую среду опасного вещества из разрушенного оборудования и устранение его с места выброса либо в результате аварийно-спасательных действий, либо в результате естественного испарения.

Зона химического заражения - территория или акватория, в пределах которой распространены или куда привнесены опасные химические вещества в концентрациях или количествах, создающих опасность для жизни и здоровья людей, для сельскохозяйственных животных и растений в течение определенного времени (ГОСТ Р 22.0.05-94).

Ингаляционная токсодоза - интеграл по времени концентрации опасного вещества в воздухе; при условно постоянной во времени концентрации опасного вещества в заданной точке - произведение концентрации опасного вещества в воздухе на время экспозиции.

Класс устойчивости атмосферы - совокупность метеорологических факторов (скорость ветра, облачность, вертикальный тепловой поток), создающих определенные условия рассеяния в атмосфере. В зависимости от состояния атмосферы выделяют шесть классов: а, b, с, d, e, f.

Концентрационные пределы распространения пламени (воспламенения) - нижний (верхний) концентрационный предел распространения пламени (далее НКПВ (ВКПВ)) - минимальное (максимальное) содержание горючего вещества в однородной смеси с окислительной средой, при котором возможно распространение пламени по смеси на любое расстояние от источника зажигания (ГОСТ 12.1.044-89).

Облако опасного вещества - область пространства, ограниченная поверхностями заданной концентрации опасного вещества.

Опасный производственный объект - предприятие или его цеха, участки, площадки, а также иные производственные объекты, указанные в приложении 1 к Федеральному закону "О промышленной безопасности опасных производственных объектов".

Опасные вещества - воспламеняющиеся, окисляющие, горючие, взрывчатые, токсичные, высокотоксичные вещества и вещества, представляющие опасность для окружающей природной среды, перечисленные в приложении 1 к Федеральному закону "О промышленной безопасности опасных производственных объектов".

Отсекаемый участок аварийного трубопровода - участок трубопровода, на котором происходит выброс опасного вещества, между двумя ближайшими к месту выброса задвижками (насосами или компрессорами), которые при срабатывании (отключении) блокируют аварийный участок трубопровода.

Отсечение аварийного участка трубопровода (отсечение аварийного потока) - остановка насоса (компрессора), стоящего на входе трубопровода, и (или) срабатывание запорной арматуры (задвижек), установленной на трубопроводе; прекращение подачи опасного вещества к месту выброса опасного вещества из трубопровода. При отсутствии трубопровода, но наличии истечения из емкости термин "отсечение аварийного участка" относится к прекращению истечения из отверстия, т. е. к закупориванию отверстия.

Первичное облако - облако опасного вещества, образующееся в результате очень быстрого (за 1-2 минуты) перехода в атмосферу части опасного вещества и распространяющееся по ветру от места выброса; в первичном облаке может существовать ядро - область пространства, в которой концентрация на заданной высоте постоянна.

Пожар-вспышка - распространение пламени в дефлаграционном режиме в заранее перемешанной смеси топлива и воздуха.

Пороговая токсодоза - наименьшая ингаляционная токсодоза опасного вещества, вызывающая у человека, не оснащенного средствами защиты органов дыхания, начальные признаки поражения организма с определенной вероятностью (табулированное значение для каждого опасного вещества).

Предельно допустимая концентрация опасного вещества (ПДК) - максимальное количество опасных веществ в почве, воздушной или водной среде, измеряемое в единице объема или массы, которое при постоянном контакте с человеком или при воздействии на него за определенный промежуток времени практически не влияет на здоровье людей и не вызывает неблагоприятных последствий (ГОСТ Р 22.0.05-94).

Пролив опасных химических веществ - вытекание при разгерметизации из технологических установок, емкостей для хранения или транспортирования опасного химического вещества или продукта в количестве, способном вызвать химическую аварию (ГОСТ Р 22.0.05-94).

Разгерметизация оборудования - образование в оборудовании отверстий с размером, существенно меньшим, чем размеры оборудования, через которые опасное вещество в жидком или газообразном состоянии в течение некоторого времени поступает в окружающую среду.

Разрушение оборудования - существенное нарушение целостности оборудования с образованием отверстий с размером, сопоставимым с размерами оборудования, при этом содержащееся в оборудовании опасное вещество в жидком или газообразном состоянии мгновенно выбрасывается в окружающую среду.

Смертельная (или летальная) токсодоза - наименьшая ингаляционная токсодоза опасного вещества, вызывающая у человека, не оснащенного средствами защиты органов дыхания, смерть с 50% вероятностью (табулированное значение для каждого опасного вещества).

"Тяжелый" газ - смесь воздуха, газовой фазы и капель опасного вещества, плотность которой выше плотности окружающего воздуха.

Химическая авария - авария на химически опасном объекте, сопровождающаяся проливом или выбросом опасных химических веществ, способная привести к гибели или химическому заражению людей, продовольствия, пищевого сырья и кормов, сельскохозяйственных животных и растений, или к химическому заражению окружающей природной среды (ГОСТ Р 22.0.05-94).

Химическое заражение - распространение опасных химических веществ в окружающей природной среде в концентрациях или количествах, создающих угрозу для людей, сельскохозяйственных животных и растений в течение определенного времени (ГОСТ Р 22.0.05-94).

Приложение N 2

Перечень условных обозначений и размерностей показателей, используемых в расчетах оценки последствий аварийных выбросов опасных веществ

 - полуширина начального сечения вторичного облака, образующегося на l-ой стадии поступления опасного вещества в атмосферу в i-ом сценарии (при различных l , , , , , ), м;

 - эффективная полуширина вторичного облака, образующегося на l-ой стадии поступления опасного вещества в атмосферу в i-ом сценарии (при различных l ), м;

 - коэффициент, использующийся при расчете скорости гравитационного растекания, равен 1,15;

 - теплоемкость жидкого опасного вещества, Дж/кг/К;

 - теплоемкость воздуха при постоянном давлении, Дж/кг/К;

 - теплоемкость газообразного опасного вещества, Дж/кг/К;

 - теплоемкость газообразного опасного вещества, Дж/кг/К;

 - теплоемкость воздуха при постоянном объеме, Дж/кг/К;

 - эффективная теплоемкость вещества в первичном облаке в i-ом сценарии, Дж/кг/К;

 - эффективная теплоемкость вещества во вторичном облаке, образующемся на l-ой стадии поступления опасного вещества в атмосферу в i-ом сценарии (при различных l ), Дж/кг/К;

 - ингаляционная токсодоза за рассматриваемое время экспозиции в некоторой точке в i-м сценарии, ;

 - составляющая ингаляционной токсодозы за рассматриваемое время экспозиции в некоторой точке при рассеянии первичного облака в i-м сценарии, ;

 - составляющая ингаляционной токсодозы за рассматриваемое время экспозиции в некоторой точке при рассеянии вторичного облака, образующегося на l-ой стадии поступления опасного вещества в атмосферу в i-ом сценарии (при различныхl ), ;

 - ингаляционная токсодоза в некоторой точке на оси у = 0, z = 0 за рассматриваемое время экспозиции в i-м сценарии, ;

 - составляющая ингаляционной токсодозы в некоторой точке на оси у = 0, z = 0 за рассматриваемое время экспозиции при рассеянии первичного облака в i-м сценарии, ;

 - составляющая ингаляционной токсодозы за рассматриваемое время экспозиции в некоторой точке на оси у = 0, z = 0 при рассеянии вторичного облака, образующегося на l-ой стадии поступления опасного вещества в атмосферу в i-ом сценарии (при различных l ), ;

 - диаметр трубопровода, м;

 -удельный тепловой поток от подстилающей поверхности в первичное облако в i-ом сценарии, ;

 - удельный тепловой поток от подстилающей поверхности во вторичное облако, образующееся на l-ой стадии поступления опасного вещества в атмосферу в i-ом сценарии (при различных l ), ;

 - удельный тепловой поток за счет вынужденной конвекции от подстилающей поверхности в первичное облако в i-ом сценарии, ;

 - удельный тепловой поток за счет вынужденной конвекции от подстилающей поверхности во вторичное облако, образующееся на l-ой стадии поступления опасного вещества в атмосферу в i-ом сценарии (при различных l ), ;

 - удельный тепловой поток за счет естественной конвекции от подстилающей поверхности в первичное облако в i-ом сценарии, ;

 - удельный тепловой поток за счет естественной конвекции от подстилающей поверхности во вторичное облако, образующееся на l-ой стадии поступления опасного вещества в атмосферу в i-ом сценарии (при различных l ),

 - эффективная внутренняя энергия в первичном облаке в /-ом сценарии, Дж;

 - эффективный поток внутренней энергии во вторичном облаке, образующемся на l-ой стадии поступления опасного вещества в атмосферу в i-ом сценарии (при различных l ), Дж/с;

F - площадь поверхности пролива жидкого опасного вещества, ;

F` - площадь поверхности пролива жидкого опасного вещества при образовании первичного облака в сценарии 4, ;

 - площадь контакта жидкого опасного вещества с подстилающей поверхностью при проливе, ;

 - теплота испарения (кипения) жидкого опасного вещества, Дж/кг;

Н - высота столба жидкости опасного вещества в оборудовании над уровнем отверстия, через которое происходит истечение, м; при истечении из трубопровода, на входе которого стоит насос, принимается равной 0 м;

 - высота первичного облака опасного вещества в начальный момент времени (на месте выброса) в i-м сценарии, м;

 - эффективная высота первичного облака в i-ом сценарии, м;

 - эффективная высота вторичного облака, образующегося на l-ой стадии поступления опасного вещества в атмосферу в i-ом сценарии (при различных l ), м;

 - высота начального сечения вторичного облака, образующегося на l-ой стадии поступления опасного вещества в атмосферу в i-ом сценарии (при различных l ), м;

 - высота столба жидкого опасного вещества в трубопроводе над уровнем отверстия, через которое происходит истечение, м; берется на момент отсечения аварийного участка трубопровода; если количество опасного вещества в отсекаемом участке аварийного трубопровода составляет менее 20% общей массы выброса, принимается равной 0 м;

К - безразмерная вспомогательная величина, зависящая от длины участка трубопровода L от входа до места разгерметизации;

L - длина участка трубопровода от его начала до места разгерметизации, м;

 - масштаб Монина-Обухова, м;

 - давление в оборудовании в i-м сценарии, Па; при истечении из трубопровода, на входе которого стоит насос (компрессор) принимается равной давлению на выходе насоса (компрессора);

 - давление в окружающей среде, кПа; при нормальных условиях принимается равным 101,325 кПа;

Pr - значение пробит-функции;

Q - общая масса опасного вещества в оборудовании, включает массу жидкости и массу газа; при выбросах из трубопровода с насосом (компрессором) на входе задается равной бесконечной величине; при выбросе из трубопровода, на котором возможно отсечение аварийного участка, не включает массу в отсекаемом участке аварийного трубопровода, кг;

 - масса газообразного опасного вещества в оборудовании, кг;

 - масса жидкого опасного вещества в оборудовании (при истечении из трубопровода с насосом на входе равно ), кг;

 - масса опасного вещества, переходящая в газовую фазу в первичное облако при мгновенном вскипании перегретого опасного вещества в сценарии 3, кг;

 - масса опасного вещества, переходящая в аэрозоль в первичное облако в сценарии 3, кг;

 - масса опасного вещества, переходящая в газовую фазу в первичное облако при кипении пролива в сценарии 3, кг;

 - масса опасного вещества (включая жидкую и газообразную фазы), образующая первичное облако в /-м сценарии, кг;

 - масса жидкого опасного вещества в оборудовании выше уровня отверстия, через которое происходит истечение, кг; задается на момент времени, соответствующий началу аварии; при истечении из трубопровода с насосом на входе принимается равной бесконечной величине; если аварийное отверстие выше уровня жидкости, то величина принимается равной 0 кг; если истечение происходит из трубопровода, присоединенного к емкости, то  включает и массу жидкости в трубопроводе от емкости до начала отсекаемого аварийного участка;

 - масса жидкого опасного вещества в отсекаемом участке аварийного трубопровода выше уровня отверстия, через которое происходит истечение, кг; задается на момент отсечения аварийного участка трубопровода; при истечении из трубопровода в сценарии 4 принимается равной 0 кг, если количество опасного вещества в отсекаемом участке аварийного трубопровода составляет менее 20% общей массы выброса; если аварийное отверстие находится выше уровня жидкости, то величина принимается равной 0 кг;

 - масса жидкого опасного вещества в отсекаемом участке аварийного трубопровода выше уровня отверстия, через которое происходит истечение, кг; величина задается на момент начала аварии; при истечении из трубопровода в сценарии 4 принимается равной 0 кг, если количество опасного вещества в отсекаемом участке аварийного трубопровода составляет менее 20% общей массы выброса;

 - масса опасного вещества, находящаяся во взрывоопасных пределах (распределенная в пространстве между поверхностями с концентрациями, равными НКПВ и ВКПВ) и способная участвовать в процессах горения и взрыва, кг;

 - масса опасного вещества, находящаяся в первичном облаке в жидкой фазе (каплях) в i-ом сценарии, кг;

 - масса опасного вещества, находящаяся в первичном облаке в жидкой фазе (каплях) в i-ом сценарии в начальный момент (на месте выброса), кг;

 - масса газообразного опасного вещества в аварийном участке трубопровода на момент отсечения, кг; при истечении из трубопровода в сценарии 4 принимается равной 0 кг, если количество опасного вещества в отсекаемом участке аварийного трубопровода составляет менее 20% общей массы выброса;

 - эффективная масса первичного облака в i-ом сценарии, включает газообразное опасное вещество, опасное вещество в жидкой фазе и воздухе, кг;

 - общая масса опасного вещества в отсекаемом участке аварийного трубопровода, кг; включает массу жидкости в сценарии 4 или массу газа в сценарии 2; при выбросах опасного вещества из емкости задается равной нулю;

 - масса жидкого опасного вещества, способного вместиться в отсекаемом участке трубопровода; величина задается на момент начала аварии; определяется перемножением объема, занимаемого жидкостью в отсекаемом участке трубопровода на плотность жидкого опасного вещества, кг;

 - масса жидкого опасного вещества в отсекаемом участке аварийного трубопровода на момент отсечения, кг; при истечении из трубопровода в сценарии 4 принимается равной 0 кг, если количество опасного вещества в отсекаемом участке аварийного трубопровода составляет менее 20% общей массы выброса;

R - универсальная газовая постоянная, равная 8,31 Дж/кг/моль;

 - радиус первичного облака опасного вещества в начальный момент времени (на месте выброса) в i-м сценарии, м;

 - эффективный радиус первичного облака в i-ом сценарии, м;

 

Ri - число Ричардсона;

S - площадь аварийного отверстия, ;

 - эффективная площадь эмиссии из разгерметизированного оборудования, ;

 - горизонтальная дисперсия при рассеянии первичного облака в i-м сценарии, м;

 - горизонтальная дисперсия при рассеянии вторичного облака, образующегося на i-ой стадии поступления опасного вещества в атмосферу в l-ом сценарии (при различных l ), м;

- вертикальная дисперсия при рассеянии первичного облака в i-м сценарии, м;

 - вертикальная дисперсия при рассеянии вторичного облака, образующегося на i-ой стадии поступления опасного вещества в атмосферу в l-ом сценарии (при различных l ), м;

 - максимальная площадь поверхности жидкости внутри оборудования, ;

 - площадь поперечного сечения трубопровода, ;

 - температура, при которой находится опасное вещество внутри оборудования в i-ом сценарии, К;

 - эффективная температура среды в первичном облаке в i-ом сценарии, К;

 - эффективная температура среды во вторичном облаке, образующемся на i-ой стадии поступления опасного вещества в атмосферу в l-ом сценарии (при различных l ), К;

 - температура воздуха, К;

 - температура кипения жидкого опасного вещества при давлении , К;

 - температура подстилающей поверхности, на которую происходит пролив жидкой фазы опасного вещества, К;

 - температура подстилающей поверхности, над которой происходит рассеяние выброса, К;

V - объем, ;

 - объем оборудования в i-м сценарии, ; при выбросе с трубопровода, на входе которого стоит компрессор (насос), принимается равным бесконечной величине;

 - эффективный удельный объем среды в первичном облаке в i-ом сценарии, ;

 - эффективный удельный объем среды во вторичном облаке, образующемся на l-ой стадии поступления опасного вещества в атмосферу в i-ом сценарии (при различных l ), ;

а безразмерная вспомогательная величина при расчете динамической скорости;

 - коэффициент при расчете пробит-функции;

b - вспомогательный коэффициент при расчете числа Ричардсона;

 - полуширина ядра вторичного облака, образующегося на l-ой стадии поступления опасного вещества в атмосферу в l-ом сценарии (при различных l ), м,

 - коэффициент при расчете пробит-функции;

 - концентрация опасного вещества в воздухе в некоторой точке в некоторый момент времени в i-м сценарии, ;

 - концентрация опасного вещества в некоторой точке в некоторый момент времени при рассеянии первичного облака в i-м сценарии, ;

 

 - концентрация опасного вещества в некоторой точке в некоторый момент времени при рассеянии вторичного облака, образующегося на l-ой стадии поступления опасного вещества в атмосферу в i-ом сценарии (при различных l ), ;

 - концентрация топлива (пожаровзрывоопасного вещества) в смеси с воздухом, соответствующая ВКПВ, ;

 - теплоемкость подстилающей поверхности, на которую проливается опасное вещество, Дж/кг/К;

 - концентрация топлива (пожаровзрывоопасного вещества) в смеси с воздухом, соответствующая НКПВ, ;

 - концентрация опасного вещества в центре облака в некоторый момент времени при рассеянии первичного облака в i-м сценарии, ;

 - концентрация опасного вещества в центре (на оси) облака в некоторый момент времени при рассеянии вторичного облака, образующегося на l-ой стадии поступления опасного вещества в атмосферу в i-ом сценарии (при различных l ), ;

 - удельная внутренняя энергия подмешиваемого воздуха, Дж/кг;

G - ускорение свободного падения, равно 9,81 ;

 - вспомогательный коэффициент для вычисления масштаба Монина-Обухова;

Р - вспомогательный коэффициент для вычисления масштаба Монина-Обухова;

 - давление насыщенного пара опасного вещества при температуре воздуха, мм рт. ст.;

 - давление насыщенного пара опасного вещества при температуре , Па;

 - производительность компрессора, кг/с; необходим при расчете выброса с трубопровода, на входе которого стоит компрессор, в случае, если площадь аварийного отверстия трубопровода превосходит 20% площади поперечного сечения трубопровода;

 - производительность насоса, кг/с; необходим при расчете выброса с трубопровода, на входе которого стоит насос, в случае, если площадь аварийного отверстия трубопровода превышает 20% площади поперечного сечения трубопровода;

 - скорость поступления в атмосферу газообразного опасного вещества, образующегося при мгновенном вскипании жидкой фазы в случае истечения жидкого опасного вещества из разрушенного оборудования в сценарии 4, кг/с;

 - скорость поступления в атмосферу капель (аэрозоля) опасного вещества, образующихся при мгновенном вскипании жидкой фазы в случае истечения жидкого опасного вещества из разрушенного оборудования в сценарии 4, кг/с;

 - скорость поступления в атмосферу газообразного опасного вещества, образующегося при мгновенном вскипании жидкой фазы в случае истечения жидкого опасного вещества из разрушенного трубопровода после отсечения аварийного участка в сценарии 4, кг/с; принимается равной 0 кг/с, если количество опасного вещества в отсекаемом участке аварийного трубопровода составляет менее 20% общей массы выброса;

 - скорость поступления в атмосферу капель (аэрозоля) опасного вещества, образующихся при мгновенном вскипании жидкой фазы в случае истечения жидкого опасного вещества из разрушенного трубопровода после отсечения аварийного участка в сценарии 4, кг/с; принимается равной 0 кг/с, если количество опасного вещества в отсекаемом участке аварийного трубопровода составляет менее 20% общей массы выброса;

 - расход опасного вещества (газообразного и находящегося в жидкой фазе) во вторичном облаке, образующемся на l-ой стадии поступления опасного вещества в атмосферу в i-ом сценарии (при различных l ), кг/с;

 принимается равным 0 кг/с, если количество опасного вещества в отсекаемом участке аварийного трубопровода составляет менее 20% общего количества выброса;

 - скорость выброса жидкого опасного вещества при истечении жидкого опасного вещества из разрушенного оборудования в сценарии 4, кг/с;

 - скорость выброса опасного вещества при истечении жидкого опасного вещества из разрушенного оборудования после отсечения аварийного участка трубопровода в сценарии 4, кг/с;

 

 - суммарный расход опасного вещества, находящегося в жидкой фазе (каплях), во вторичном облаке, образующемся на i-ой стадии поступления опасного вещества в атмосферу в l-ом сценарии (при различных l ), кг/с;

 - суммарный расход опасного вещества, находящегося в жидкой фазе (каплях), на месте эмиссии вторичного облака, образующегося на l-ой стадии поступления опасного вещества в атмосферу в i-ом сценарии (при различных l ), кг/с;

 - эффективный суммарный расход воздуха и опасного вещества (включая жидкую и газообразную фазы) во вторичном облаке, образующемся на l-ой стадии поступления опасного вещества в атмосферу в i-ом сценарии (при различных l ), кг/с;

k - константа Кармана, равна 0,41;

 - радиус центральной части (ядра) первичного облака в i-ом сценарии, м;

t - время, с;

 - составляющая времени формирования первичного облака от начала выброса до времени отсечения аварийного участка трубопровода в сценарии 4, с;

 - момент времени, для которого определяются размеры зон достижения 0,5 НКПВ и ВКПВ, с;

 - время осреднения при расчете дисперсии вдоль оси у (), с;

 - длительность поступления опасного вещества в атмосферу за счет истечения/испарения (время формирования соответствующего вторичного облака) на l-ой стадии поступления опасного вещества в атмосферу в i-ом сценарии (при различных l ), с;  принимается равным 0 с, если количество опасного вещества в отсекаемом участке аварийного трубопровода составляет менее 20% общего количества выброса;

 - время достижения максимальной концентрации опасного вещества в некоторой точке в i-ом сценарии, с;

 - максимально возможная длительность истечения газообразного опасного вещества из разрушенного оборудования в сценарии 4, с;

 - максимально возможная длительность истечения газообразного опасного вещества из разрушенного оборудования в сценарии 4 после испарения пролива, с;

 - длительность испарения пролива после окончания истечения жидкого опасного вещества для случая, если продолжается истечение газовой фазы, с;

 - вспомогательная величина при расчете , с;

 - вспомогательная величина при расчете , с;

 - время, в течение которого опасное вещество поступает в первичное облако из-за интенсивного кипения жидкого ОВ в проливе за счет теплопритока от подстилающей поверхности, с;

 - время ликвидации аварийного отверстия (разгерметизации) и пролива, с; если ликвидации не происходит, принимается равным бесконечности;

 - время отсечения аварийного участка трубопровода (время остановки компрессора (насоса)), с;

 - составляющая времени формирования первичного облака, с;

 - время экспозиции, с;

 - динамическая скорость, м/с;

 - эффективная скорость движения первичного облака в i-ом сценарии в начальный момент времени (на месте выброса), м/с;

 - эффективная скорость движения вторичного облака, образующегося на l-ой стадии поступления опасного вещества в атмосферу в i-ом сценарии (при различных l ) на месте выброса, м/с;

 - скорость ветра на высоте , м/с;

 - вспомогательная величина при расчете числа Ричардсона, м/с;

 

 - скорость подмешивания воздуха в облако за счет диффузии в вертикальном направлении, м/с;

 - эффективная скорость движения первичного облака в i-ом сценарии, м/с;

 - эффективная скорость движения вторичного облака, образующегося на l-ой стадии поступления опасного вещества в атмосферу в i-ом сценарии (при различных l ), м/с;

 - вспомогательная величина при расчете числа Ричардсона, м/с;

х - пространственная переменная (координата вдоль ветра), м;

 - расстояние от места выброса до плоскости, перпендикулярной направлению ветра, для которой определяются размеры (по у и по z) зон достижения 0,5 НКПВ и ВКПВ, м;

 - координата задней кромки вторичного облака, образующегося на l-ой стадии поступления опасного вещества в атмосферу в i-ом сценарии (при различных l ), м;

 - координата передней кромки вторичного облака, образующегося на l-ой стадии поступления опасного вещества в атмосферу в i-ом сценарии (при различных l ), м;

 - координата центра первичного облака в i-ом сценарии, м;

у - пространственная переменная (координата, перпендикулярная направлению ветра), м;

 - расстояние от оси выброса до перпендикулярной поверхности земли плоскости, для которой определяются размеры (по х и по z) зон достижения 0,5 НКПВ и ВКПВ; для плоскости проходящей через ось выброса  = 0, м;

z - пространственная переменная (координата высоты), м;

 - высота над поверхностью земли плоскости, для которой определяются размеры (по х и по у) зон достижения 0,5 НКПВ и ВКПВ, для поверхности земли  = 0, м;

 - стандартная высота, на которой задается скорость ветра, принимается равной 10 м;

 - характерный размер шероховатости поверхности, м;

 - соотношение, описывающее поверхность в пространстве с концентрацией ВКПВ;

 - соотношение, описывающее поверхность в пространстве с концентрацией 0,5 НКПВ;

Ф - безразмерная вспомогательная величина при расчете скорости подмешивания воздуха в облако;

- объемная доля газовой фазы в оборудовании;

 - показатель степенной зависимости скорости ветра от высоты;

 - вспомогательный коэффициент, ;

 - показатель адиабаты опасного вещества в газообразной фазе;

 - вспомогательная величина при расчете ;

 - коэффициент пропорциональности при расчете воздуха в облаке при подмешивании через боковую поверхность;

 - вспомогательная величина при расчете ;

 - вспомогательная величина при расчете ;

 - вспомогательная величина при расчете динамической скорости;

 - коэффициент теплопроводности подстилающей поверхности, на которую проливается опасное вещество, Вт/К/м;

 - молярная масса опасного вещества, кг/моль;

 - молярная масса воздуха, кг/моль;

 

 - эффективная молярная масса газообразной смеси опасного вещества с воздухом в первичном облаке в i-ом сценарии, кг/моль;

 - эффективная молярная масса газообразной смеси опасного вещества с воздухом во вторичном облаке, образующемся на l-ой стадии поступления опасного вещества в атмосферу в i-ом сценарии (при различных l ), кг/моль;

 - число, равное 3,14159...отношение длины окружности к диаметру;

 - плотность газообразного опасного вещества при температуре  и давлении , ;

 - плотность газовой фазы опасного вещества в оборудовании в i-м сценарии, ;

 - плотность воздуха в окружающей среде, ;

 - плотность жидкого опасного вещества, ;

 - плотность газообразного опасного вещества при температуре кипения и давлении , ;

 - плотность материала подстилающей поверхности, на которую проливается опасное вещество, ;

 -эффективная плотность среды в первичном облаке в i-ом сценарии, ;

 - эффективная плотность среды во вторичном облаке, образующемся на l-ой стадии поступления опасного вещества в атмосферу в i-ом сценарии (при различных l ), ;

 - плотность опасного вещества в первичном облаке в начальный момент (на месте выброса) времени в i-м сценарии, ;

 - плотность опасного вещества в начальный момент времени во вторичном облаке, образующемся на l-ой стадии поступления опасного вещества в атмосферу в i-ом сценарии (при различных l ), ;  принимается равной 0 , если количество опасного вещества в отсекаемом участке аварийного трубопровода составляет менее 20% общей массы выброса;

 - дисперсия вдоль оси у (в поперечном направлении), м;

Обозначение индексов

г - стадия аварии, на которой происходит истечение газообразного опасного вещества из оборудования при наличии пролива;

ги - стадия аварии, на которой происходит истечение газообразного опасного вещества из оборудования в отсутствие пролива;

е - стадия аварии, на которой происходит испарение опасного вещества, оставшегося в оборудовании (пролив отсутствует);

ж - стадия аварии, на которой происходит истечение жидкого опасного вещества из оборудования;

и - стадия аварии, на которой происходит испарение опасного вещества из пролива;

отс. выб - стадия аварии, на которой происходит истечение жидкого опасного вещества из разрушенного трубопровода после отсечения аварийного участка;

Обозначение функций

| | - модуль величины, равен самой величине, если величина больше нуля, и величине со знаком минус, если величина меньше нуля; например, 5 = |-5|;

sign - знак величины, равен 1, если величина больше нуля, минус 1, если величина меньше нуля, и 0, если величина 0; например, 1 = sign(5);

min - минимальное из всех значений, например, 3 = min{3, 5};

min sum() - разность величины  и суммы , если эта разность величина положительная, и 0 в противном случае;

 

;

 

например,

 

 

или

 

 

 - гамма-функция (Г-функции, интеграл Эйлера второго рода) при а>0.

Основные соотношения для Г-функции:

 

,

 

,

 

,

 

.

 

ехр(х) - экспонента действительного числа х (число е=2,71... в степени х, ), например, ехр(-0,3)=0,74081822068..., ехр(1,3)=3,6692966676...;

ln(х) - натуральный логарифм действительного числа х; например, ln(0,740818220)=0,3000..., ехр(3,669297)= 1,3...;

arctg(x) - арктангенс действительного числа х (в радианах), например, arctg(1)=0,785398....

Приложение N 3

Схемы распространения первичного и вторичного облаков (с указанием характеристик облаков)

 

Рис. 3.1. Схема распространения первичного облака

 

Рис. 3.2. Схема распространения вторичного облака

Приложение N 4

Возможные конфигурации оборудования и схемы его разрушения

1. Для емкости с газом или жидкой фазой возможно мгновенное разрушение (разрыв) емкости и выброс всего содержимого в окружающую среду (сценарий 1 или сценарий 3; в соответствии с рисунками 4.1, 4.2).

 

Рис. 4.1. Мгновенное разрушение емкости с газом (сценарий 1)

 

Рис. 4.2. Мгновенное разрушение емкости с жидкой фазой (сценарий 3)

 

2. Для емкости с газом или жидкой фазой возможно образование аварийного отверстия (разгерметизации) в стенке емкости и последующее истечение газа и (или) жидкости в окружающую среду (сценарий 2 или сценарий 4). При разгерметизации емкости с жидкой фазой возможно образование отверстия как выше, так и ниже уровня жидкости (в соответствии с рисунками 4.3 - 4.5).

 

Рис. 4.3. Разгерметизация емкости с газом (сценарий 2)

 

Рис. 4.4. Разгерметизация емкости с жидкой фазой выше уровня жидкости (сценарий 4)

 

Рис. 4.5. Разгерметизация емкости с жидкой фазой ниже уровня жидкости (сценарий 4)

 

3. Для емкости с газом или жидкой фазой с присоединенным трубопроводом возможно образование аварийного отверстия (разгерметизации) в стенке трубопровода либо полный разрыв трубопровода на некотором расстоянии от емкости (сценарий 2 или сценарий 4). При этом трубопровод может быть оснащен запорной арматурой, которая при срабатывании изолирует разгерметизированный (разрушенный) участок трубопровода от емкости. В этом случае в окружающую среду поступают газ и (или) жидкость и (или) двухфазный поток. На рисунках 4.6 - 4.8 отсекаемый участок аварийного трубопровода обозначен 1 и расположен справа от задвижки, которая, в свою очередь, расположена на трубопроводе около емкости.

 

Рис. 4.6. Разгерметизация трубопровода с газом, присоединенного к емкости (1 - отсекаемый участок аварийного трубопровода) (сценарий 2)

 

Рис. 4.7. Разгерметизация трубопровода с жидкой фазой, присоединенного к емкости (1 - отсекаемый участок аварийного трубопровода) (сценарий 4)

 

Рис. 4.8. Разгерметизация трубопровода с газовой фазой, присоединенного к емкости (1 - отсекаемый участок аварийного трубопровода) (сценарий 4)

 

4. Для трубопровода с газом или жидкой фазой с нагнетающим компрессором или насосом возможно образование аварийного отверстия (разгерметизации) в стенке трубопровода либо полный разрыв трубопровода на некотором расстоянии от компрессора (насоса) (сценарий 2 или сценарий 4). Возможны также разрушения (разгерметизации) самих компрессоров, насосов, в том числе по причине выдавливания сальников у электронасосов, неисправности запорной арматуры (вентилей) и т.д. При этом трубопровод может быть оснащен запорной арматурой, которая при срабатывании изолирует разгерметизированный (разрушенный) участок трубопровода от компрессора (насоса). В этом случае в окружающую среду поступают газ и (или) жидкость и (или) двухфазный поток. На рисунках 4.9, 4.10 отсекаемый участок аварийного трубопровода обозначен 1 и расположен справа от задвижки, которая, в свою очередь, расположена на трубопроводе около компрессора (насоса).

 

Рис. 4.9. Разгерметизация трубопровода с газом, присоединенного к компрессору (1 - отсекаемый участок аварийного трубопровода) (сценарий 2)

 

Рис. 4.10. Разгерметизация трубопровода с жидкой фазой, присоединенного к насосу (1 - отсекаемый участок аварийного трубопровода) (сценарий 4)

Приложение N 5

Возможные стадии развития аварийной ситуации

В общем случае можно выделить восемь возможных стадий развития аварийной ситуации:

- разрушение оборудования и образование первичного облака;

- истечение жидкой фазы до отсечения аварийного участка;

- истечение жидкой фазы из аварийного участка после его отсечения;

- истечение газа при наличии пролива жидкой фазы и испарение с пролива;

- истечение газа из разрушенного оборудования при отсутствии пролива жидкой фазы;

- испарение с пролива при отсутствии истечения жидкости или газа из разрушенного оборудования;

- испарение из емкости при отсутствии пролива;

- завершение аварии (ликвидация аварийного отверстия (разгерметизации) и пролива).

Каждая из вышеперечисленных стадий вносит свой вклад в суммарную массу выброса опасного вещества.

На каждой стадии аварии формируются свои облака опасного вещества в атмосфере (первичное и вторичное).

В зависимости от сценария, конфигурации оборудования, характера разрушения, свойств опасного вещества и действий по ликвидации аварии, отдельные стадии из приведенных выше, могут либо присутствовать, либо отсутствовать в той или иной аварийной ситуации.

Предполагается, что на каждой стадии процесс протекает стационарно.

Для более точных расчетов допускается разбиение перечисленных стадий на отдельные подстадии меньшей продолжительности. Для каждой подстадии в этом случае определяются входные данные, указанные в приложении N 6, с учетом изменений в системе, происшедших на предыдущих подстадиях.

Сценарий 1

Разрушение оборудования с выбросом всего объема опасного вещества, образование первичного облака, рассеяние первичного облака и воздействие на окружающую среду (в соответствии с рисунком 4.1).

Сценарий 2

Разрушение оборудования и истечение газа из разрушенного оборудования при отсутствии пролива жидкой фазы; рассеяние облака и воздействие на окружающую среду (в соответствии с рисунками 4.3, 4.6, 4.9).

При истечении газа из разрушенного трубопровода возможно отсечение аварийного участка трубопровода (либо в результате использования запорной арматуры, либо в результате остановки компрессоров, подающих опасные вещества в трубопровод, либо в результате и того и другого) и истечение опасного вещества из него.

Возможно прекращение выброса путем ликвидации аварийного отверстия (разгерметизации).

Сценарий 3

Разрушение оборудования с жидким опасным веществом, выброс опасного вещества в окружающую среду, при наличии перегрева у жидкой фазы, возможно ее вскипание с образованием в атмосфере газокапельного облака (в соответствии с рисунком 4.2). Часть жидкой фазы может пролиться на подстилающую поверхность - либо в обвалование, либо на неограниченную площадь. Если температура кипения жидкости при этом меньше температуры поверхности, то произойдет вскипание жидкости при ее соприкосновении с подстилающей поверхностью. Из газовой фазы, содержавшейся в оборудовании, из образовавшейся при вскипании за счет перегрева жидкой фазы газокапельной фазы и из газа, образующегося при кипении пролива, образуется первичное облако, которое рассеивается в атмосфере, воздействуя на окружающую среду.

Из пролива происходит испарение опасного вещества, в результате чего образуется вторичное облако, которое также рассеивается в атмосфере, воздействуя на окружающую среду.

Возможно прекращение поступления опасного вещества в окружающую среду путем ликвидации пролива.

Сценарий 4. Аварии на емкости

Разрушение оболочки емкости выше уровня жидкости и длительное истечение газа из разрушенного оборудования при отсутствии пролива жидкой фазы (если жидкость находится в перегретом состоянии, то происходит вскипание жидкости, в результате которого в дополнение к газовой фазе, содержащейся в емкости на момент начала аварии, добавится газовая фаза, образовавшаяся при кипении), рассеяние газового облака опасного вещества (вторичного) и воздействие его на окружающую среду (в соответствии с рисунками 4.4, 4.5). После спада давления в емкости до атмосферного поступление опасного вещества в окружающую среду будет обусловлено лишь испарением опасного вещества с поверхности жидкости в емкости. При этом в атмосфере образуется вторичное облако, состоящее из газообразного опасного вещества, поступающего из разгерметизированной емкости за счет испарения ОВ из нее. Вторичное облако будет формироваться на месте аварии до тех пор, пока не испарится все опасное вещество из емкости. Возможно прекращение выброса путем ликвидации аварийного отверстия (разгерметизации).

Разрушение оболочки емкости ниже уровня жидкости и истечение жидкой фазы из разрушенного оборудования, образование пролива на месте выброса.

Если жидкость в емкости находилась в перегретом состоянии, то происходит вскипание жидкости сразу после ее выброса из емкости и образование в атмосфере газокапельной взвеси. Затем, если температура кипения меньше температуры поверхности, происходит кипение жидкой фазы (той ее части, что не участвовала в формировании газокапельной взвеси в атмосфере) при проливе ее на подстилающую поверхность. При этом из газа, образовавшегося при кипении пролива, а также из газокапельной взвеси выброса, поступившего из емкости в атмосферу за время кипения пролива, формируется первичное облако, которое рассеивается в атмосфере и воздействует на окружающую среду.

При истечении перегретой жидкости, выброс жидкой фазы вскипает до выпадения на землю, образуя в атмосфере газокапельную взвесь опасного вещества. При этом в атмосфере образуется вторичное облако, состоящее из газообразного опасного вещества, испарившегося с пролива, и (при выбросе перегретой жидкости) из газокапельной взвеси, образующейся при вскипании ОВ сразу после выброса. Такое вторичное облако будет формироваться на месте аварии до тех пор, пока будет существовать возможность выброса жидкой фазы, т.е. до момента выброса из оборудования всей жидкой фазы, находившейся выше уровня разгерметизации. Причем, если в емкости находилась перегретая жидкость и если давление могло опуститься ниже давления насыщенного пара, то по мере вытекания жидкости возможно вскипание перегретого опасного вещества в самой емкости.

После окончания выброса жидкой фазы из емкости начинается истечение газовой фазы за счет наличия избыточного давления в емкости. При этом на стадии истечения газовой фазы продолжается испарение пролива. В результате в атмосфере образуется вторичное облако опасного вещества, состоящее из газообразного опасного вещества, испарившегося с пролива, и из газообразного опасного вещества, поступающего из разрушенной емкости за счет наличия избыточного давления в емкости. Такое вторичное облако будет формироваться на месте аварии до тех пор, пока будет существовать возможность выброса газовой фазы из емкости за счет избыточного давления в емкости и испарения из пролива. Причем, если в емкости находилась перегретая жидкость, то в формирующееся на месте аварии вторичное облако, будет поступать не только газовая фаза, находившаяся в емкости на начало аварии, но и газовая фаза, образующаяся при вскипании в емкости с перегретой жидкостью.

Если давление в емкости становится равным атмосферному, то газовая фаза из разгерметизированной емкости перестает поступать в окружающую среду за счет избытка давления. Если пролив опасного вещества при этом еще не испарился, то в атмосфере образуется вторичное облако опасного вещества, состоящее из газообразного опасного вещества, испарившегося с пролива. Такое вторичное облако будет формироваться на месте аварии до тех пор, пока будет существовать испарение опасного вещества из пролива.

Если после испарения пролива давление в емкости еще не стало равным атмосферному, то газовая фаза из разгерметизированной емкости продолжает поступать в окружающую среду за счет избыточного давления. В атмосфере при этом образуется вторичное облако опасного вещества, состоящее из газообразного опасного вещества. Такое вторичное облако будет формироваться на месте аварии до тех пор, пока будет существовать избыточное давление в емкости.

Если пролив опасного вещества на месте аварии испарился, и давление в емкости стало равным атмосферному, то поступление опасного вещества в окружающую среду будет обусловлено лишь испарением опасного вещества с поверхности жидкости в емкости. При этом в атмосфере образуется вторичное облако, состоящее из газообразного опасного вещества, поступающего из разгерметизированной емкости за счет испарения. Вторичное облако будет формироваться на месте аварии до тех пор, пока не испарится все опасное вещество из емкости.

Возможно прекращение поступления опасного вещества в окружающую среду путем ликвидации аварийного отверстия и пролива.

Сценарий 4. Аварии на трубопроводах, на входе которых стоит емкость

Разрушение трубопровода, выходящего из емкости выше уровня жидкости, и истечение газа из разрушенного оборудования при отсутствии пролива жидкой фазы (в соответствии с рисунками 4.7, 4.8). Если жидкость находится в перегретом состоянии, то при падении давления может происходить вскипание жидкости, в результате которого в дополнение к газовой фазе, содержащейся в емкости на момент начала аварии, добавится газовая фаза, образовавшаяся при кипении. При этом в атмосфере происходит рассеяние вторичного газового облака опасного вещества и воздействие его на окружающую среду. При наличии запорной арматуры возможно отсечение аварийного участка трубопровода и истечение опасного вещества только из этого аварийного участка. Если давление в емкости (или в отсеченном участке трубопровода) уменьшилось и стало равным атмосферному, то поступление опасного вещества в окружающую среду будет обусловлено лишь его испарением с поверхности жидкости в емкости и/или в отсеченном участке трубопровода. При этом в атмосфере образуется вторичное облако, состоящее из газа, поступающего из разгерметизированной емкости и/или отсеченного участка трубопровода за счет испарения. Вторичное облако будет формироваться на месте аварии до тех пор, пока не испарится все опасное вещество из емкости.

Возможно прекращение выброса путем ликвидации аварийного отверстия (разгерметизации).

При разрушении трубопровода, выходящего из емкости ниже уровня жидкости, стадии аварии будут аналогичны описанным в разделе Аварии на емкости, с двумя отличиями.

Во-первых, при существенном разрушении трубопровода в случае выброса перегретой жидкости, вскипание жидкости может происходить не только в воздухе, но и в самом трубопроводе.

Во-вторых, при наличии на трубопроводе запорной арматуры и срабатывании ее в ходе аварии, появляется этап - истечение из отсеченного участка трубопровода, который полностью совпадает по физической картине с описанным выше выбросом из емкости - Сценарий 4. Аварии на емкости.

Сценарий 4. Аварии на трубопроводах, на входе которых стоит насос

При разрушении трубопровода происходит истечение жидкой фазы и образование пролива на месте выброса (в соответствии с рисунком 4.10). Если жидкость в трубопроводе находилась в перегретом состоянии, то происходит вскипание жидкости либо сразу после ее выброса из трубопровода (случай, когда при сильном разрушении трубопровода место выброса находится вблизи насоса и случаи небольших отверстий разгерметизации), либо внутри трубопровода (случай, когда при сильном разрушении трубопровода место выброса находится вдали от насоса).

При выбросе перегретой жидкости в атмосфере образуется газокапельная взвесь, а затем происходит кипение жидкой фазы (той ее части, которая не участвовала в формировании газокапельной взвеси в атмосфере) при проливе на подстилающую поверхность, если температура кипения меньше температуры подстилающей поверхности. При этом из газа, образовавшегося при кипении пролива, а также из газокапельной взвеси выброса, поступившего из трубопровода в атмосферу за время кипения пролива, формируется первичное облако, которое рассеивается в атмосфере и воздействует на окружающую среду.

Продолжающийся выброс жидкой фазы идет в пролив, с которого происходит испарение опасного вещества. При выбросе перегретой жидкости, часть жидкой фазы вскипает до выпадения на землю, образуя в атмосфере газокапельную взвесь опасного вещества. При этом в атмосфере образуется вторичное облако опасного вещества, состоящее из газообразного опасного вещества, испарившегося с пролива, и (при выбросе перегретой жидкости) из газокапельной взвеси, образующейся при вскипании опасного вещества, либо сразу после выброса, либо в трубопроводе. Такое вторичное облако будет формироваться на месте аварии до тех пор, пока будет существовать возможность выброса жидкой фазы (двухфазной смеси), то есть до момента отсечения аварийного участка трубопровода и выброса из отсеченного участка трубопровода всей жидкой фазы, находящейся в нем выше уровня аварийного отверстия (разгерметизации).

После окончания выброса жидкой фазы из отсеченного участка трубопровода начинается истечение газовой фазы за счет наличия избыточного давления в нем, что возможно только в случае, если в трубопроводе находится перегретая жидкость. При этом на стадии истечения газовой фазы продолжается испарение пролива. В результате, в атмосфере образуется вторичное облако, состоящее из газообразного опасного вещества, испарившегося с пролива и из газообразного опасного вещества, поступающего из разрушенного трубопровода за счет наличия избыточного давления в нем. Такое вторичное облако будет формироваться на месте аварии до тех пор, пока будет существовать возможность выброса газовой фазы из трубопровода за счет избыточного давления в нем и испарения из пролива.

Если давление в отсеченном участке аварийного трубопровода становится равным атмосферному, то газовая фаза из разгерметизированного трубопровода перестает поступать в окружающую среду за счет избытка давления. Если пролив опасного вещества при этом еще не испарился, то в атмосфере образуется вторичное облако опасного вещества, состоящее из газообразного опасного вещества, испарившегося с пролива. Такое вторичное облако будет формироваться на месте аварии до тех пор, пока будет существовать испарение опасного вещества из пролива.

Если испарился пролив, а давление в отсеченном участке аварийного трубопровода осталось выше атмосферного, то газовая фаза из разгерметизированного трубопровода продолжает поступать в окружающую среду за счет избыточного давления. При этом, в атмосфере образуется вторичное облако, состоящее из газообразного опасного вещества, поступающего из отсеченного участка аварийного трубопровода за счет избыточного давления. Такое вторичное облако будет формироваться на месте аварии до тех пор, пока будет существовать избыточное давление в отсеченном участке аварийного трубопровода.

Если пролив опасного вещества на месте аварии испарился, и давление в отсеченном участке аварийного трубопровода стало равным атмосферному, то поступление опасного вещества в окружающую среду будет обусловлено лишь испарением опасного вещества с поверхности жидкости в трубопроводе. В атмосфере при этом образуется вторичное облако, состоящее из газообразного опасного вещества, поступающего из разгерметизированного трубопровода за счет испарения опасного вещества. Такое вторичное облако будет формироваться на месте аварии до тех пор, пока не испарится все опасное вещество из трубопровода.

Возможно прекращение поступления опасного вещества в окружающую среду путем ликвидации аварийного отверстия и пролива в любой момент времени.

Приложение N 6

Перечень данных, необходимых для проведения расчета по оценке последствий аварийных выбросов опасных веществ

Для проведения расчетов по любому из четырех сценариев необходимо знать следующие характеристики:

- тип местности, где происходит рассеяние выброса (необходим для определения  - характерного размера шероховатости подстилающей поверхности (Таблица 7.3.);

- показатель степенной зависимости скорости ветра от высоты ;

- скорость ветра на высоте 10 м;

- температура воздуха, плотность воздуха и удельная внутренняя энергия воздуха, атмосферное давление (при нормальных условиях принимается равным 101,325 кПа);

- класс устойчивости атмосферы или уровень инсоляции и облачности (необходим для определения класса устойчивости атмосферы);

- температура поверхности, над которой происходит рассеяние выброса;

- значения токсодоз и концентраций опасного вещества в воздухе, соответствующие тому или иному воздействию опасного вещества на человека, способ расчета пробит-функции токсического поражения человека;

- индивидуальные характеристики опасного вещества в газовой и жидкой фазах (молярная масса, показатель адиабаты, температура кипения, теплота испарения (кипения), теплоемкость газовой и жидкой фаз, плотность жидкой фазы, значения НКПВ и ВКПВ для пожаровзрывоопасных веществ);

- при наличии пролива в обвалование - площадь обвалования, ее высота и площадь возможного контакта жидкости с твердой поверхностью;

- при наличии пролива вскипающей жидкости - характеристики подстилающей поверхности (плотность, теплоемкость, теплопроводность) и температура подстилающей поверхности (на месте пролива);

- время экспозиции для человека, попадающего в область поражения.

Кроме того, для каждого сценария следует задать следующие данные:

1. Сценарий 1

Либо ,

либо ,

либо ,

либо ,

где Q - общая масса газообразного опасного вещества в оборудовании в кг;

 - объем оборудования (емкости), ;

 - давление в оборудовании (емкости), Па;

 - температура в оборудовании (емкости), К.

2. Сценарий 2

Либо ,

либо ,

либо ,

либо ,

где Q - общая масса газообразного опасного вещества в оборудовании в кг;

 - объем оборудования (емкости), ;

 - давление в оборудовании (емкости), Па;

 - температура в оборудовании (емкости), К;

 - общая масса опасного вещества в отсекаемом аварийном участке трубопровода, кг, необходима для расчета выбросов из трубопровода;

S - площадь аварийного отверстия (разгерметизации), ;

 - площадь поперечного сечения трубопровода, ;

 - производительность компрессора, кг/с, необходима при расчете выброса с трубопровода, на входе которого стоит компрессор, в случае, если площадь аварийного отверстия (разгерметизации) трубопровода превосходит 20% поперечного сечения трубопровода;

 - время ликвидации аварийного отверстия (разгерметизации), с.

3. Сценарий 3

Либо , где

 - давление в оборудовании, Па;

 - температура в оборудовании, К;

 - общая масса газообразного опасного вещества в оборудовании, кг;

либо  и ,

где  - объем оборудования, ;

 - объемная доля оборудования, заполненная газовой фазой;

 - масса жидкого опасного вещества в оборудовании, кг;

либо  и ,

где  - объем оборудования, ;

 - объемная доля оборудования, заполненная газовой фазой.

4. Сценарий 4

 - давление в оборудовании, Па;

 - температура в оборудовании, К;

 - плотность газовой фазы опасного вещества в оборудовании, ; может определяться по давлению  и температуре  в оборудовании;

Н - высота, м, столба жидкости опасного вещества в оборудовании над уровнем отверстия, через которое происходит истечение; при истечении из трубопровода, на входе которого стоит насос, принимается равной 0 м;

L - длина участка трубопровода от входа до места разгерметизации, м;

 - диаметр трубопровода, м;

 - производительность насоса, кг/с, необходима при расчете выброса с трубопровода, на входе которого стоит насос, в случае, если площадь аварийного отверстия (разгерметизации) трубопровода превосходит 20% поперечного сечения трубопровода;

S - площадь отверстий разгерметизации, ;

 - время ликвидации аварийного отверстия (разгерметизации), пролива, с;

 - время отсечения аварийного участка (время остановки насоса), с;

 - максимальная площадь поверхности жидкости в оборудовании, ;

 - масса, кг, жидкого опасного вещества в оборудовании (при истечении из трубопровода с насосом на входе равно  ), не включает в себя массу жидкого опасного вещества в аварийном участке отсекаемого трубопровода;

либо  и ,

где  - объем оборудования, ;

 - объемная доля оборудования, заполненная газовой фазой;

 - масса газообразного опасного вещества в оборудовании, кг;

либо  и ,

где  - объем оборудования, ;

 - объемная доля оборудования, заполненная газовой фазой;

 - масса жидкого опасного вещества в оборудовании выше уровня отверстия, через которое происходит истечение, кг (при истечении из трубопровода с насосом на входе принимается равным бесконечной величине; если аварийное отверстие (разгерметизация) выше уровня жидкости, то величина принимается равной нулю);

 - масса жидкого опасного вещества, способного поместиться в отсекаемом участке трубопровода, кг, определяется перемножением объема отсекаемого участка трубопровода на плотность жидкого опасного вещества;

 - высота столба жидкого опасного вещества в трубопроводе над уровнем отверстия, через которое происходит истечение на момент отсечения аварийного участка трубопровода, м; необходима только при истечении из трубопровода, если количество опасного вещества в отсекаемом участке трубопровода составляет более 20% общего количества выброса, в остальных случаях принимается равной нулю; определяется из геометрических характеристик оборудования, общего количества жидкого опасного вещества в оборудовании перед аварией и количества опасного вещества, вытекшего из оборудования до момента отсечения;

 - масса жидкого опасного вещества в аварийном участке трубопровода выше уровня отверстия, через которое происходит истечение, на момент начала аварии, кг; необходима только при истечении из трубопровода, если количество опасного вещества в отсекаемом участке трубопровода составляет более 20 % общего количества выброса; определяется из геометрических характеристик оборудования и общего количества жидкого опасного вещества в оборудовании перед аварией;

 - масса газообразного опасного вещества в отсекаемом участке трубопровода на момент отсечения, кг; необходима при истечении из трубопровода, если количество опасного вещества в отсекаемом участке трубопровода составляет более 20% общего количества выброса; определяется из геометрических характеристик оборудования, общего количества жидкого опасного вещества в оборудовании перед аварией, количества опасного вещества, вытекшего из оборудования до момента отсечения, и параметров газовой фазы в оборудовании;

 - масса жидкого опасного вещества в отсекаемом участке трубопровода на момент отсечения, кг; необходима при истечении из трубопровода, если количество опасного вещества в отсекаемом участке трубопровода составляет более 20% общего количества выброса; определяется из геометрических характеристик оборудования, общего количества жидкого опасного вещества в оборудовании перед аварией, количества опасного вещества вытекшего из оборудования до момента отсечения;

 - масса жидкого опасного вещества в аварийном участке трубопровода выше уровня отверстия, через которое происходит истечение, на момент отсечения аварийного участка трубопровода, кг; необходима при истечении из трубопровода, если количество опасного вещества в отсекаемом участке трубопровода составляет более 20% общего количества выброса; определяется из геометрических характеристик оборудования, общего количества жидкого опасного вещества в оборудовании перед аварией, количества опасного вещества, вытекшего из оборудования до момента отсечения и расположения аварийного отверстия (разгерметизации).

Приложение N 7

Характеристики подстилающих поверхностей, атмосферы и опасных веществ

 


Таблица 7.1 - Свойства опасных веществ

Вещество

Молярная масса m, г/моль

Плотность газа rг, кг/м3

Плотность жидк. rж, кг/м3

Темпе­ратура кип. Ткип, °С

Теплоем­кость газа Ср, кДж/ кг/°С

Коэффици­ент Ср/ Cv, g

Порого­вая токсо­доза PCt50, мг´мин/л

Смерте­льная токсодоза LCt50, мг´мин/л

Теплота испарения DНисп, кДж/кг

Pr=a+b´ln(С(п)´Т), где С - ррm, Т - мин.

НКПВ-ВКПВ, %об.

Стехио­-метриче­ская концент­рация, % об

Теплоем­кость жидкости Ср, кДж/кг/°С

а

b

n

Аммиак

17,0

0,80

681

-33,4

2,10

1,34

15,00

150,0

1360

-35,90

1,850

2,00

16,0-25,0

22,0

4,59

Фтористый водород

20,4

0,92

989

19,4

1,42

1,30

4,00

40,0

1560

-35,87

3,354

1,00

-

-

2,49

Хлористый водород

36,5

1,64

1191

-85,1

0,80

1,41

2,00

20,0

300

-16,85

2,000

1,00

-

-

1,75

Бромистый водород

80,9

3,50

1490

-67,8

0,36

1,42

2,40

24,0

217

-18,32

2,000

1,00

-

-

0,74

Цианистый водород

27,0

0,90

689

25,6

1,33

1,31

0,20

6,0

933

-9,56

1,000

2,40

6,0-41,0

14,3

2,62

Сероводород

34,1

1,50

964

-60,4

1,04

1,30

1,00

15,0

310

-31,42

3,008

1,43

4,3-45,0

12,3

2,01

Сероуглерод

76,1

6,00

1263

46,2

0,67

1,24

30,00

500,0

352

-46,62

4,200

1,00

1,3-50,0

6,5

1,00

Формальдегид

30,0

1,03

815

-19,3

1,32

1,30

0,60

6,0

273

-12,24

1,300

2,00

7,0-73,0

17,4

2,34

Фосген

98,9

3,48

1420

8,2

0,67

1,30

0,55

3,2

158

-19,27

3,686

1,00

-

-

1,02

Фтор

38,0

1,70

1512

-188,0

3,32

1,30

0,20

3,0

727

-10,34

1,000

2,00

-

-

1,51

Хлор

70,9

3,20

1553

-34,1

0,48

1,30

0,60

6,0

288

-8,29

0,920

2,00

-

-

0,93

Хлорциан

61,5

2,52

1258

12,6

0,73

1,30

0,75

11,0

208

-

-

-

-

-

1,49

Окись углерода

28,0

0,97

1000

-191,6

1,04

1,29

10,00

37,5

216

-37,98

3,700

1,00

12,5-74,0

30,0

2,19

Окись этилена

44,0

1,70

882

10,7

1,72

1,30

2,20

25,0

320

-6,21

1,000

1,00

3,0-100,0

7,8

2,00

Метан

16,0

0,68

161

-162,0

1,77

1,42

-

-

514

-

-

-

5,0-16,0

9,5

4,16

Пропан

44,0

1,86

509

-42,0

1,60

1,13

-

-

429

-

-

-

2,0-9,5

4,0

2,58

Бутан

58,0

2,46

584

-0,5

1,60

1,10

-

-

388,4

-

-

-

1,5-9,0

3,1

2,46

Пентан

72,0

3,20

612

36,0

1,60

1,08

-

-

376

-

-

-

1,3-8,0

2,6

2,36

Водород

2,0

0,09

31,5

-254,0

14,00

1,41

-

-

459

-

-

-

4,0-75,0

29,6

16,90

Бутадиен

54,0

2,30

628

-4,5

1,40

1,12

-

-

416

-

-

-

2,0-11,5

3,7

2,10

Бензол

78,0

3,50

883

80,0

1,00

1,12

60,00

250,0

396

-109,8 0

5,300

2,00

1,2-8,0

2,7

1,80

Диметиламин

45,0

1,95

661

7,0

1,50

1,14

1,00

-

591

-7,34

2,000

1,00

2,8-14,0

5,3

3,00

Этилен

28,0

1,19

212

-104,0

1,30

1,30

-

-

484

-

-

-

2,8-29,0

6,5

2,79

Метиловый спирт

32,0

1,36

809

64,0

1,30

1,24

-

-

120

-

-

-

6,0-36,5

12,2

2,50

Акрилонитрил

53,0

2,24

813

77,0

1,20

1,15

-

-

575

-14,97

1,900

1,00

2,4-17,0

5,3

2,03

Акролеин

56,0

2,37

844

53,0

1,10

1,16

0,20

-

538

-9,93

2,049

1,00

2,8-31,0

5,7

2,15

Пропилен

42,0

1,78

523

-48,0

1,50

1,16

-

-

349

-

-

-

2,0-11,0

4,4

2,57

Винилхлорид

62,5

2,64

900

-13,0

0,84

1,19

-

-

331

-

-

-

4,0-26,0

7,7

1,33

 


Таблица 7.2 - Связь вероятности поражения с пробит-функцией

р,%

0

1

2

3

4

5

6

7

8

9

0

 

2,67

2,95

3,12

3,25

3,38

3,45

3,52

3,59

3,66

10

3,72

3,77

3,82

3,86

3,92

3,96

4,01

4,05

4,08

4,12

20

4,16

4,19

4,23

4,26

4,29

4,33

4,36

4,39

4,42

4,45

30

4,48

4,50

4,53

4,56

4,59

4,61

4,64

4,67

4,69

4,72

40

4,75

4,77

4,80

4,82

4,85

4,87

4,90

4,92

4,95

4,97

50

5,00

5,03

5,05

5,08

5,10

5,13

5,15

5,18

5,20

5,23

60

5,25

5,28

5,31

5,33

5,36

5,39

5,41

5,44

5,47

5,50

70

5,52

5,55

5,58

5,61

5,64

5,67

5,71

5,74

5,77

5,81

80

5,84

5,88

5,92

5,95

5,99

6,04

6,08

6,13

6,18

6,23

90

6,28

6,34

6,41

6,48

6,55

6,64

6,75

6,88

7,05

7,33

99

7,33

7,37

7,41

7,46

7,51

7,58

7,65

7,75

7,88

8,09

Таблица 7.3 - Характерный размер шероховатости поверхности  в зависимости от типа местности, где происходит рассеяние

Характерный размер шероховатости поверхности zпов, м

Местность

Природный ландшафт

Антропогенный ландшафт

1,00´10(-5)

Лед, равнина, покрытая грязью

 

9,00´10(-5)

Равнины, покрытые снегом или укатанный грунт

 

1,00´10(-4)

Поверхность открытого моря при штиле

 

1,0´10 (-4) -1,00´10(-3)

Обширные водные поверхности

 

5,00´10(-4)

Ровная поверхность пустыни

 

9,00´10(-4)

Поверхность моря в прибрежной зоне при ветре с моря

 

2,00´10(-3)

Снежная целина (с/х угодья)

 

7,50´10(-3)

Равнинная местность: скошенная трава (примерно =30 см)

 

 

1,00´10(-2)

Равнинная местность: трава редкие деревья (зима, без листьев)

Равнинная местность, сельскохозяйственные угодья

Аэропорт - летное поле

2,20´10(-2)

Равнинная местность: некошеная трава

 

 

2,50´10(-2)

Равнинная местность: одиночные деревья

 

 

5,00´10(-2)

Равнинная местность: высокая трава (60 см)

 

Сельскохозяйственные угодья: неубранные посевы зерновых

5,50´10(-2)

Равнинная местность: редкие деревья (лето)

 

 

8,50´10(-2)

Холмистая местность

 

 

0,15 - 0,30

Деревья

Большое количество заборов, изгородей, редкие здания

0,40

Лесистая местность

Окраины города*

0,55

 

Центры малых городов*

0,65

 

Центры больших поселений и городов*

0,90

Леса

 

 

1,30

 

 

 

1,35

 

Центры больших городов, районы с высотными зданиями*

2,00

Крайне холмистая и гористая местность*

 

3,00

 

 

 

______________________________

* Неоднородный рельеф местности

Таблица 7.4 - Класс устойчивости атмосферы (модифицированные классы устойчивости по Паскуилу)

Скорость ветра, м/с

День*(1)

Сумерки*(2)

Ночь

Интенсивность солнечного излучения (Вт/м2)

Уровень облачности (восьмые доли)

сильная 0-600)

умеренная (300-600)

слабая «300)

сплошная облачность

0-3

4-7

8

£2

А

А-В

В

С

D

F

F

D

2-3

А-В

В

С

С

D

F

Е

D

3-5

В

В-С

С

С

D

Е

D

D

5-6

С

C-D

D

D

D

D

D

D

³6

С

D

D

D

D

D

D

D

______________________________

*(1) Период времени за исключением 1 часа после восхода солнца и 1 часа до заката.

*(2) Сумерки включают в себя 1 час после восхода солнца и 1 час до заката.

Таблица 7.5 - Величина коэффициента  в зависимости от класса устойчивости атмосферы для различных характерных размеров шероховатости

Характерный размер шероховатости zпов, м

Класс устойчивости атмосферы

А

В

С

D

Е

F

10(-5)

0,05/

0,05/

0,05/

0,08/

0,43/

0,44/

 

0,05/

0,05/

0,04/

0,08/

0,7/

0,71/

 

0,03

0,03

0,03

0,07

0,8

0,81

 

0,05/

0,05/

0,06/

0,09/

0,39/

0,43/

2 ´ 10(-5)

0,05/

0,05/

0,05/

0,09/

0,67/

0,7/

 

0,03

0,03

0,04

0,08

0,78

0,8

 

0,06/

0,06/

0,06/

0,09/

0,37/

0,42/

3 ´ 10(-5)

0,04/

0,05/

0,05/

0,09/

0,65/

0,69/

 

0,04

0,04

0,04

0,08

0,77

0,8

 

0,06/

0,06/

0,06/

0,09/

0,36/

0,42/

4 ´ 10(-5)

0,05/

0,06/

0,06/

0,09/

0,63/

0,69/

 

0,04

0,04

0,04

0,08

0,75

0,79

 

0,06/

0,06/

0,06/

0,1/

0,35/

0,41/

5 ´ 10(-5)

0,06/

0,06/

0,06/

0,09/

0,62/

0,68/

 

0,04

0,04

0,04

0,08

0,75

0,79

 

0,06/

0,06/

0,07/

0,10/

0,35/

0,41/

б ´ 10(-5)

0,06/

0,06/

0,06/

0,09/

0,61/

0,68/

 

0,04

0,04

0,04

0,08

0,74

0,79

7 ´ 10(-5)

0,06/

0,06/

0,07/

0,10/

0,34/

0,41/

 

0,06/

0,06/

0,06/

0,09/

0,60/

0,68/

 

0,04

0,04

0,04

0,08

0,73

0,79

9 ´ 10(-5)

0,06/

0,07/

0,07/

0,10/

0,33/

0,41/

 

0,06/

0,06/

0,05/

0,10/

0,59/

0,67/

 

0,04

0,04

0,04

0,09

0,72

0,78

1 ´10(-4)

0,07/

0,07/

0,07/

0,10/

0,33/

0,41/

 

0,05/

0,06/

0,07/

0,10/

0,58/

0,67/

 

0,04

0,04

0,04

0,09

0,72

0,78

2 ´ 10(-4)

0,07/

0,07/

0,08/

0,11/

0,31/

0,40/

 

0,07/

0,07/

0,07/

0,11/

0,55/

0,66/

 

0,04

0,04

0,05

0,09

0,69

0,77

3 ´ 10(-4)

0,08/

0,08/

0,07/

0,11/

0,30/

0,40/

 

0,07/

0,07/

0,08/

0,11/

0,53/

0,65/

 

0,04

0,05

0,05

0,1

0,68

0,77

4 ´ 10(-4)

0,08/

0,08/

0,09/

0,12/

0,29/

0,40/

 

0,06/

0,07/

0,08/

0,11/

0,51/

0,65/

 

0,05

0,05

0,05

0,10

0,67

0,76

5 ´ 10(-4)

0,08/

0,08/

0,09/

0,12/

0,29/

0,40/

 

0,07/

0,06/

0,08/

0,12/

0,50/

0,65/

 

0,05

0,05

0,05

0,10

0,66

0,76

6 ´ 10(-4)

0,08/

0,08/

0,09/

0,12/

0,29/

0,40/

 

0,08/

0,08/

0,08/

0,12/

0,49/

0,64/

 

0,05

0,05

0,06

0,10

0,65

0,76

 

0,08/

0,09/

0,10/

0,13/

0,29/

0,40/

7 ´ 10(-4)

0,06/

0,09/

0,09/

0,12/

0,49/

0,64/

 

0,05

0,05

0,06

0,10

0,65

0,76

 

0,08/

0,09/

0,10/

0,13/

0,28/

0,40/

8 ´ 10(-4)

0,08/

0,09/

0,10/

0,13/

0,28/

0,40/

 

0,08/

0,08/

0,08/

0,12/

0,48/

0,64/

 

0,05

0,05

0,06

0,10

0,64

0,76

9 ´ 10(-4)

0,09/

0,09/

0,10/

0,13/

0,29/

0,40/

 

0,08/

0,08/

0,09/

0,12/

0,48/

0,64/

 

0,05

0,05

0,06

0,11

0,64

0,76

 

0,09/

0,09/

0,10/

0,13/

0,28/

0,40/

1 ´ 10(-3)

0,09/

0,09/

0,09/

0,13/

0,47/

0,64/

 

0,05

0,05

0,06

0,11

0,63

0,76

 

0,10/

0,11/

0,11/

0,15/

0,28/

0,40/

2 ´ 10(-3)

0,09/

0,09/

0,10/

0,14/

0,45/

0,63/

 

0,06

0,06

0,07

0,12

0,61

0,75

3 ´ 10(-3)

0,11/

0,11/

0,12/

0,15/

0,28/

0,41/

 

0,10/

0,10/

0,10/

0,14/

0,43/

0,63/

 

0,06

0,06

0,07

0,12

0,59

0,75

4 ´ 10(-3)

0,11/

0,12/

0,13/

0,16/

0,28/

0,41/

 

0,10/

0,11/

0,12/

0,15/

0,42/

0,63/

 

0,06

0,07

0,08

0,12

0,58

0,74

5 ´ 10(-3)

0,12/

0,12/

0,14/

0,17/

0,28/

0,42/

 

0,11/

0,10/

0,12/

0,15/

0,42/

0,63/

 

0,07

0,07

0,08

0,13

0,58

0,74

6 ´ 10(-3)

0,12/

0,13/

0,14/

0,17/

0,29/

0,42/

 

0,11/

0,11/

0,12/

0,16/

0,41/

0,63/

 

0,07

0,07

0,08

0,13

0,57

0,74

7 ´ 10(-3)

0,13/

0,13/

0,14/

0,17/

0,29/

0,42/

 

0,11/

0,12/

0,13/

0,16/

0,41/

0,63/

 

0,07

0,07

0,08

0,13

0,57

0,74

8 ´ 10(-3)

0,14/

0,14/

0,15/

0,18/

0,29/

0,42/

 

0,11/

0,11/

0,14/

0,16/

0,41/

0,63/

 

0,07

0,08

0,09

0,13

0,56

0,74

9 ´ 10(-3)

0,13/

0,14/

0,15/

0,18/

0,29/

0,42/

 

0,12/

0,12/

0,13/

0,17/

0,41/

0,63/

 

0,07

0,08

0,09

0,14

0,56

0,74

1 ´ 10(-2)

0,13/

0,16/

0,16/

0,19/

0,29/

0,43/

 

0,12/

0,13/

0,14/

0,17/

0,41/

0,63/

 

0,07

0,08

0,09

0,14

0,56

0,74

 

0,15/

0,16/

0,18/

0,21/

0,31/

0,45/

2 ´ 10(-2)

0,11/

0,14/

0,15/

0,19/

0,40/

0,63/

 

0,08

0,09

0,1

0,15

0,54

0,74

 

0,17/

0,18/

0,20/

0,22/

0,32/

0,46/

3 ´ 10(-2)

0,16/

0,17/

0,17/

0,20/

0,40/

0,64/

 

0,09

0,10

0,11

0,16

0,53

0,74

 

0,18/

0,19/

0,21/

0,24/

0,33/

0,48/

4 ´ 10(-2)

0,13/

0,16/

0,16/

0,21/

0,40/

0,64/

 

0,10

0,10

0,12

0,17

0,53

0,74

 

0,19/

0,20/

0,22/

0,25/

0,34/

0,49/

5 ´ 10(-2)

0,16/

0,17/

0,18/

0,21/

0,40/

0,64/

 

0,10

0,11

0,13

0,17

0,52

0,74

 

0,20/

0,21/

0,23/

0,26/

0,34/

0,5/

6 ´ 10(-2)

0,17/

0,17/

0,19/

0,22/

0,41/

0,65/

 

0,11

0,11

0,13

0,17

0,52

0,74

 

0,21/

0,22/

0,25/

0,26/

0,35/

0,50/

7 ´ 10(-2)

0,17/

0,18/

0,21/

0,23/

0,41/

0,65/

 

0,11

0,12

0,14

0,18

0,52

0,75

8 ´ 10(-2)

0,21/

0,22/

0,24/

0,27/

0,36/

0,51/

 

0,18/

0,18/

0,2/

0,23/

0,41/

0,65/

 

0,11

0,12

0,14

0,18

0,52

0,75

9 ´ 10(-2)

0,22/

0,23/

0,25/

0,28/

0,36/

0,52/

 

0,18/

0,19/

0,22/

0,24/

0,41/

0,65/

 

0,12

0,13

0,14

0,19

0,52

0,75

1 ´ 10(-1)

0,23/

0,24/

0,26/

0,28/

0,37/

0,52/

 

0,19/

0,20/

0,21/

0,24/

0,41/

0,66/

 

0,12

0,13

0,15

0,19

0,52

0,75

2 ´ 10(-1)

0,30/

0,28/

0,3/

0,32/

0,41/

0,57/

 

0,22/

0,25/

0,24/

0,27/

0,43/

0,68/

 

0,15

0,16

0,18

0,21

0,52

0,76

3 ´ 10(-1)

0,30/

0,31/

0,34/

0,35/

0,44/

0,60/

 

0,24/

0,25/

0,26/

0,29/

0,45/

0,69/

 

0,17

0,18

0,2

0,23

0,52

0,77

4 ´ 10(-1)

0,33/

0,34/

0,36/

0,37/

0,47/

0,63/

 

0,27/

0,26/

0,28/

0,30/

0,46/

0,70/

 

0,19

0,19

0,22

0,24

0,52

0,77

5 ´ 10(-1)

0,35/

0,36/

0,38/

0,39/

0,49/

0,65/

 

0,27/

0,27/

0,29/

0,31/

0,47/

0,71/

 

0,21

0,21

0,23

0,25

0,53

0,78

6 ´ 10(-1)

0,38/

0,37/

0,40/

0,40/

0,50/

0,66/

 

0,28/

0,28/

0,30/

0,32/

0,48/

0,72/

 

0,22

0,22

0,21

0,26

0,53

0,78

7 ´ 10(-1)

0,39/

0,39/

0,41/

0,42/

0,52/

0,68/

 

0,34/

0,29/

0,31/

0,33/

0,49/

0,73/

 

0,24

0,23

0,22

0,27

0,54

0,79

 

0,41/

0,40/

0,43/

0,43/

0,53/

0,69/

8 ´ 10(-1)

0,31/

0,30/

0,32/

0,34/

0,50/

0,74/

 

0,25

0,25

0,22

0,28

0,54

0,79

 

0,43/

0,42/

0,44/

0,43/

0,54/

0,70/

9 ´ 10(-1)

0,32/

0,31/

0,32/

0,34/

0,51/

0,74/

 

0,22

0,22

0,23

0,28

0,55

0,80

 

0,45/

0,43/

0,45/

0,44/

0,55/

0,71/

1

0,33/

0,32/

0,33/

0,35/

0,51/

0,75/

 

0,23

0,22

0,24

0,29

0,55

0,80

 

0,63/

0,53/

0,53/

0,49/

0,63/

0,78/

2

0,45/

0,38/

0,39/

0,40/

0,57/

0,79/

 

0,33

0,28

0,28

0,34

0,59

0,83

 

0,92/

0,60/

0,58/

0,52/

0,68/

0,82/

3

0,62/

0,44/

0,43/

0,44/

0,61/

0,82/

 

0,47

0,33

0,32

0,38

0,62

0,85

4

1,04/

0,67/

0,61/

0,54/

0,71/

0,85/

 

1,03/

0,50/

0,46/

0,47/

0,64/

0,84/

 

0,74

0,39

0,35

0,41

0,64

0,87

5

0,00/

0,76/

0,64/

0,56/

0,74/

0,87/

 

0,00/

0,57/

0,48/

0,50/

0,66/

0,86/

 

0,00

0,45

0,38

0,43

0,66

0,88

6

0,06/

0,86/

0,67/

0,58/

0,76/

0,89/

 

0,00/

0,65/

0,51/

0,53/

0,69/

0,87/

 

0,00

0,51

0,40

0,46

0,68

0,89

7

0,17/

1,00/

0,69/

0,60/

0,78/

0,90/

 

0,10/

0,76/

0,53/

0,55/

0,71/

0,89/

 

0,01

0,59

0,42

0,48

0,69

0,90

8

0,23/

1,04/

0,70/

0,62/

0,80/

0,91/

 

0,10/

0,90/

0,55/

0,57/

0,72/

0,90/

 

0,01

0,69

0,44

0,49

0,71

0,90

9

0,27/

1,04/

0,72/

0,63/

0,81/

0,92/

 

0,13/

1,04/

0,57/

0,59/

0,74/

0,90/

 

0,01

0,84

0,46

0,51

0,72

0,91

 

0,30/

1,04/

0,73/

0,65/

0,82/

0,93/

10

0,19/

1,04/

0,58/

0,60/

0,75/

0,91/

 

0,01

1,04

0,47

0,52

0,73

0,92

 

Примечание - приведены значения коэффициента для трех высот распространения выброса до 20 м, до 50 м, свыше 50 м.

Таблица 7.6 - Величины коэффициентов  и р для вычисления масштаба Монина-Обухова

Класс устойчивости

А

В

С

Е

F

kL

-11,4

-26,0

-123,0

123,0

26,0

Р

0,10

0,17

0,30

0,30

0,17

Таблица 7.7 - Значения коэффициента  при различной устойчивости атмосферы

Класс устойчивости

А

В

С

D

Е

F

D 600

0,22

0,16

0,11

0,08

0,06

0,04

Таблица 7.8 - Значения характеристик подстилающих поверхностей

Тип поверхности

rп, кг/м3

lп, Вт/м/К

сп, Дж/кг/К

Асбест

2400

0,35

800

Асбестоцемент

1600

1,76

960

Асфальт

1100

0,72

920

Бетон на каменном щебне

2300

1,3

1000

Лед

920

2,23

2080

Песок

1380

0.97

840

Металлические поддоны

 

 

 

Медь

8960

380

380

Сталь

8000

52

500

Чугун

7600

56

550

Приложение N 8

Термодинамический расчет состояния смеси в облаке

При проведении термодинамического расчета состояния смеси опасного вещества с воздухом предполагается, что в воздухе нет паров и капель воды. Опасное вещество в облаке может находиться как в газовой, так и в жидкой фазах. Химические реакции между компонентами опасного вещества и воздуха, образование растворов газовой фазы одного вещества в жидкой фазе (в каплях) другого вещества не учитываются.

Предполагается, что объем, занимаемый жидкой фазой незначителен, при расчетах он полагается равным нулю.

Термодинамический расчет проводится для каждой рассматриваемой точки пространства.

Исходными данными для проведения термодинамического расчета являются:

- общая масса (в газообразной и жидкой фазах) опасного вещества в облаке ( - для первичного облака и  - для вторичных облаков);

- масса жидкой фазы в облаке в начальный момент времени ( - для первичного облака и  - для вторичных облаков);

- общая масса облака ( - для первичного облака и  - для вторичных облаков);

- полная внутренняя энергия смеси вещества в облаке ( - для первичного облака и  - для вторичных облаков;

- геометрические характеристики облаков (радиус и высота для первичного облака, полуширина и высота для вторичных).

Кроме того, необходимы данные об окружающей среде и физические характеристики воздуха и опасного вещества.

Перечисленные исходные данные получаются в результате решения уравнений (98)-(101), (104)-(110) для первичного облака или (115)-(118), (121)-(128) для вторичных облаков. В результате термодинамического расчета получаются:

- плотность смеси ( - для первичного облака или  - для вторичных облаков);

- температура смеси ( - для первичного облака или  - для вторичных облаков);

- масса опасного вещества в жидкой фазе ( - для первичного облака или  - для вторичных облаков);

- изменение геометрического размера облака - эффективная высота ( - для первичного облака или  - для вторичных облаков).

Далее приводятся формулы для термодинамического расчета состояния смеси в первичном облаке, для вторичных облаков все приведенные ниже формулы справедливы при замене соответствующих переменных, описывающих состояние в первичном облаке, на переменные, описывающие состояния во вторичных облаках, а именно:  на ,  на ,  на ,  на ,  на ,  на ,  на ,  на .

Термодинамическое состояние в облаке определяется из условия совпадения энергии системы и ее плотности, распределенной в объеме, с энергией облака и массой облака при давлении .

Сначала определяется доля жидкой фазы опасного вещества в облаке:

                         (142)

Если величина , то это означает, что в облаке находится капельная взвесь массой , тогда температура в облаке  полагается равной . Плотность (удельный объем) в облаке определяется по соотношениям:

,                        (143)

,                       (144)

,                         (145)

Если величина , то это означает, что в облаке находится только газовая смесь и массу капельной взвеси  следует полагать равной 0.

Температура в облаке в этом случае определяется из соотношения:

                 (146)

плотность (удельный объем) в облаке определяется по соотношениям:

,                        (147)

,                      (148)

,                                     (149)

После определения состояния в облаке производится определение геометрических размеров, изменение которых произошло за счет испарения жидкой фазы, а также за счет нагрева/охлаждения газовой фазы при смешении с воздухом.

Примеры расчетов последствий аварий с выбросом токсичных веществ при рассматриваемых выше условиях приведены в приложении N 9.

Приложение N 9

Примеры расчетов

Расчеты проводятся в соответствии со схемой, приведенной в приложении N 10.

а) Пример 1. В опорожненном шаровом резервуаре вместимостью 2000  находится хлорметан в газовой фазе при температуре окружающей среды (18°С) и давлении 1 атм. Резервуар расположен на товарно-сырьевой базе в равнинной местности, характерный размер шероховатости 0,018 м. Происходит разрушение емкости и выбрасывается все опасное вещество. Метеоусловия: скорость ветра на высоте 10 м - 3,2 м/с, безоблачная ночь.

Определить максимальные приземные концентрации хлорметана в атмосфере, размеры взрывопожароопасного облака смеси хлорметана с воздухом при его рассеянии до концентрации, соответствующей нижнему концентрационному пределу воспламенения (НКПВ) и его половине, а также зависимость площади, покрываемой облаком, от времени.

Решение:

1. При решении используем следующие характеристики хлорметана:

- молярная масса - 51 г/моль;

- показатель адиабаты - 1,25;

- температура кипения жидкой фазы при давлении окружающей среды (101325 Па) - -24°С;

- теплота испарения жидкой фазы -  Дж/кг;

- теплоемкость жидкой фазы -  Дж/кг/К;

- плотность жидкой фазы - 930 ;

- НКПВ - 8,1%.

2. По условиям хранения и характеру разрушения определяем тип сценария аварийной ситуации - 1.

3.По формулам (1) и (2) определяем количество хлорметана в первичном облаке  кг.

4. По формуле (6) с использованием формулы (2) определяем плотность опасного вещества в выбросе - 2,13 .

5. Учитывая, что хлорметан находится в сферической емкости, начальный диаметр первичного облака полагается равным его высоте. Они соответственно равны 13,6 м.

6. Характерный размер шероховатости принимается из исходных данных  м.

7. С использованием данных таблицы 7.4 определяем класс устойчивости атмосферы - Е.

8. С использованием данных таблиц 7.5 - 7.7 определяем коэффициенты, используемые при расчете дисперсии, скорости подмешивания воздуха в облако.

9. Для определения концентрации хлорметана в атмосфере (по формулам 102-103) численно решаем систему обыкновенных дифференциальных уравнений (формулы 104-112) с использованием уравнений 98 - 101. Результаты расчета приведены на рисунке 9.1.

 

Рис. 9.1. Максимальная приземная концентрация на оси облака (по направлению ветра) при выбросе хлорметана (пример 1)

 

10. С помощью соотношений 136 - 140 определяем размеры взрывопожароопасного облака смеси хлорметана с воздухом при его рассеянии рисунок 9.2.

 

"Рис. 9.2. Сечение зоны, ограниченной НКПВ и 0,5 НКПВ плоскостью *, z=0 (в направлении п ветру) при выбросе хлорметана (пример 1)"

 

11. Т.к. высота облака в пределах зоны, где рассматривается рассеяние (1000 м), не превосходит 20 м, то согласно п. 3.1.3 повторный расчет не требуется.

12. Для определения площади облака воспользуемся соотношением . Зависимость площади, покрываемой облаком, от времени приведена на рисунке 9.3.

 

Рис. 9.3. Изменение площади облака в зависимости от времени при выбросе хлорметана (пример 1)

 

б) Пример 2. Технологический трубопровод Ду200 с хлорцианом в газовой фазе расположен на эстакаде высотой 50 см. Трубопровод расположен на территории промышленной площадки в равнинной местности, характерный размер шероховатости 0,018 м. На входе трубопровода стоит компрессор, расход которого составляет 10,3 кг/с. Давление в трубопроводе 1,3 атм. Трубопровод не теплоизолирован. Ночью в нижней образующей трубопровода в результате разгерметизации возникает отверстие диаметром 10 см. Время ликвидации утечки составляет 400 сек. Метеоусловия: скорость ветра на высоте 10 м - 2,1 м/с, температура воздуха - 30°С, облачность - 50%. Профиль ветра апроксимируется степенной зависимостью с показателем - 0,22.

Определить концентрации хлорциана в атмосфере, а также распределение токсодозы в зоне химического заражения, где возможно смертельное поражение незащищенных людей на открытой местности.

Решение:

1. По условиям хранения и характеру разрушения определяем тип сценария аварийной ситуации - 2.

2. С учетом комментария к формуле (13) определяем расход выброса  кг/с.

3. Определяем плотность опасного вещества в выбросе по формуле (17) .

4. По формуле (15) определяем длительность выброса  с.

5. Поскольку выброс осуществляется с высоты 0,5 м и плотность выброса больше плотности воздуха, высота вторичного облака в начальном сечении была принята  м. Тогда по формуле (19) рассчитывается ширина сечения вторичного облака (шлейфа) в начальный момент времени (на месте выброса) -  м.

6. С использованием данных таблицы 7.4 определяем класс устойчивости атмосферы - Е.

7. С использованием данных таблиц 7.5-7.7 определяем коэффициенты, используемые при расчете дисперсии, скорости подмешивания воздуха в облако.

8. Для определения концентрации хлорциана в атмосфере (119) - (120) численно решаем систему обыкновенных дифференциальных уравнений (121) - (129) с использованием уравнений (115) - (118) для стадии истечения газа в отсутствие пролива.

9. По формулам (133) - (134) рассчитываем поле концентрации при выбросе газообразного хлорциана из трубопровода. Соответствующие значения концентрации на оси выброса приведены на рисунке 9.4.

 

Рис. 9.4. Максимальная концентрация на оси облака (в направлении по ветру) при выбросе хлорциана (пример 2)

 

10. В соответствии с п. 3.5 - 3.6 и по значению смертельной токсодозы для хлорциана 11  определяем размеры зоны смертельного поражения (рисунок 9.5, 9.6). Протяженность зоны смертельного поражения составляет - 905 м. Максимальная высота - 4,45 м на расстоянии 382 м. Максимальная ширина 407 м на расстоянии 566 м.

11. В соответствии с п. 3.5 - 3.6 и по значению пороговой токсодозы для хлорциана 0,75  размеры зоны порогового воздействия (рисунок 9.5, 9.6). Протяженность зоны порогового воздействия - 4077 м. Максимальная высота - 22,3 м на расстоянии 1677 м. Максимальная ширина 874 м на расстоянии 1844 м.

 

Рис. 9.5. Размеры зоны смертельного поражения в плоскости у=0 (вертикальное сечение через ось выброса) при выбросе хлорциана (пример 2)

 

Рис. 9.6. Размеры зоны смертельного поражения на поверхности земли при выбросе хлорциана (пример 2)

 

в) Пример 3. На объекте хранения опасного вещества, расположенном в пределах небольшого города, имеется емкость объемом 100 . Она на 50% заполнена сжиженным аммиаком под давлением. Аммиак в емкости имеет температуру окружающей среды - 30°С. Емкость стоит на бетонной поверхности.

Оценить, полагая наихудшие условия рассеяния, последствия аварии в случае мгновенного разрушения емкости. При оценке токсического поражения использовать время экспозиции - 30 мин.

Решение:

1. По условиям хранения и характеру разрушения определяем тип сценария аварийной ситуации - 3. Согласно п. 3.1.2 в качестве наихудших условий рассеяния принимается скорость ветра на высоте 10 м - 1,0 м/с, устойчивость атмосферы - класс F. Выбираем тип подстилающей поверхности, над которой происходит рассеяние, - центр малых городов, с характерным размером шероховатости 0,55 м.

2. Время экспозиции принимаем равным - 30 мин.

3. По формуле (23) определяем массу газовой фазы в емкости - 393,16 кг.

4. По объему емкости (100 ), степени заполнения (50%) и плотности жидкой фазы аммиака 681  определяем массу жидкой фазы в емкости - 34050 кг.

5. По формуле (24) определяем массу аммиака, поступающую в первичное облако в виде газа, образовавшегося при вскипании перегретой жидкой фазы - 6577,65 кг.

6. По формуле (25) определяем массу аммиака, поступающую в первичное облако в виде аэрозоля, образовавшегося при вскипании перегретой жидкой фазы - 6577,65 кг. Согласно (26) это же количество жидкого аммиака задаем в первичном облаке в начале рассеяния.

7. По формуле (28) определяем площадь пролива - 613,65 . Эту же величину согласно правилу, приведенному после формулы (28) принимаем в качестве площади контакта жидкой фазы с подстилающей поверхностью.

8. По формуле (30) давление насыщенных паров при температуре окружающего воздуха - 8718 мм. рт. ст.

9. По формуле (29) определяем время интенсивного кипения, в течение которого опасное вещество поступает в первичное облако из пролива - 13 с.

10. По формуле (27) определяем массу газа, поступившего в первичное облако от пролива при его кипении - 183,73 кг.

11. По формуле (22) определяем массу аммиака в первичном облаке - 13732,2 кг.

12. Согласно формуле (32) задаем равными 0 кг/с общие расходы аммиака и начальный расход жидкой фазы аммиака в следующих вторичных облаках:

- в облаке, образующемся при истечении жидкой фазы;

- в облаке, образующемся при истечении жидкой фазы после отсечения аварийного участка;

- в облаке, образующемся при истечении газовой фазы при наличии пролива;

- в облаке, образующемся при истечении газовой фазы в отсутствии пролива;

- в облаке, образующемся при испарении из оборудования.

Согласно формуле (34) также полагаем равным 0 секунд длительности выброса аммиака в соответствующих вторичных облаках.

Согласно формулам (37), (41) и (42) также полагаем равным нулю начальные плотности аммиака в этих же вторичных облаках, их полуширину и высоту.

13. По формуле (36) определяем плотность аммиака в газовой фазе (при давлении 101325 Па (1 атм) и температуре кипения -33.6 °С) - 0,865 кг/куб.м. Эта же величина полагается равной начальной плотности во вторичном облаке, образующемся при испарении с пролива. Начальную температуру в первичном и вторичном облаках определяем как температуру кипения 240 К.

14. По формуле (35) определяем начальную плотность первичного облака -1,76 кг/куб. м.

15. По формуле (38) определяем начальный радиус и высоту первичного облака, они равны 13,55 м.

16. По формуле (39) определяем полуширину вторичного облака, образующегося на стадии испарения аммиака из пролива в отсутствие газообразного выброса - 12,39 м.

17. По формуле (40) определяем высоту, она равна 1,19 м.

18. По формуле (31) определяем скорость испарения с поверхности пролива и расход аммиака во вторичном облаке, образующемся на стадии испарения из пролива, она равна 4,52 кг/с. При расчете испарения использовалась начальная эффективная скорость вторичного облака, образующегося на стадии испарения из пролива, которая равна 0,18 м/с. Согласно формуле (32) расход аммиака в жидкой фазе во вторичном облаке, образующемся на стадии испарения опасного вещества из пролива, полагается равным нулю.

19. По формуле (33) определяем время испарения пролива - 4580 с.

20. Характерный размер шероховатости, согласно п. 3.1.3, определяем по таблице 7.3 - 0,55 м - центры малых городов.

21. Согласно п. 3.1.3 определяем показатель степени в степенной зависимости скорости ветра от высоты - 0.655. С помощью этого показателя будет аппроксимироваться скорость в атмосферном слое 20 м над поверхностью земли.

22. По формуле (91) раздела 3.1.4 с использованием таблицы 7.6 определяем Масштаб Монина-Обухова - 23,49 м.

23. По формуле (92) определяем динамическую скорость 0.07 м/с.

24. С использованием таблицы 7.7 определяем коэффициент для расчета рассеяния.

25. Для определения концентраций аммиака в атмосфере при распространении первичного облака по формулам (102) - (103) численно решаем систему обыкновенных дифференциальных уравнений (104) - (112) с использованием уравнений (98) - (101).

26. На стадии испарения из пролива плотность аммиака в образующемся вторичном облаке 0.87 , что меньше плотности окружающего воздуха (1,16 ), поэтому для расчета концентраций во вторичном облаке используем соотношения из методики "ТОКСИ-2".

27. Согласно п. 3.6 сравнением с пороговыми и смертельными токсодозами для аммиака определяем расстояние, в пределах которого, будет наблюдаться соответствующее поражение.

На поверхности земли протяженность зоны смертельного поражения составляет 212 м в направлении ветра и 160 м в направлении против ветра. Ширина зоны смертельного поражения составляет 393 м на 40 м от места выброса.

На поверхности земли протяженность зоны порогового воздействия составляет 863 м в направлении ветра и - 385 м в направлении против ветра. Ширина зоны смертельного поражения составляет 1186 м на 360 м от места выброса.

Результаты расчета зон смертельного поражения и порогового воздействия приведены на рисунках 9.7, 9.8. На рисунке 9.7 показаны границы этих зон на поверхности земли, а на рисунке 9.8 в вертикальной плоскости, проходящей через ось выброса. Положению места выброса на этих рисунках соответствуют пространственные координаты (0,0,0).

 

Рис. 9.7. Зоны смертельного поражения и порогового воздействия на поверхности земли при выбросе аммиака (пример 3)

 

Рис. 9.8. Зоны смертельного поражения и порогового воздействия в вертикальной плоскости, проходящей через ось выброса, при выбросе аммиака (пример 3)

 

г) Пример 4. Происходит частичное разрушение трубопровода идущего от емкости с жидким пропаном. Трубопровод содержит жидкую фазу. В результате происходит выброс пропана.

Емкость содержит 4 тонны жидкого пропана. Трубопровод диаметром 5 см идет от нижней части емкости. Высота уровня жидкой фазы над трубопроводом 0,5 м. Давление в емкости 9,2 атм, температура - 18,5°С.

Аварийное отверстие (разгерметизация) в трубопроводе имеет эффективный диаметр 2 см (площадь 3,14 ). Место разрушения трубопровода находится на расстоянии 41 метр от емкости. Предполагается, что через 60 секунд после разрушения происходит отсечение аварийного участка.

Выброс происходит на песчаную почву, рассеяние происходит над ровным полем с травой высотой до 15 см. Температура воздуха и почвы 20,5°С. Скорость ветра на высоте 10 м - 6 м/с. Класс устойчивости атмосферы - D.

Оценить, размеры пожаровзрывоопасной зоны, возникающей в результате такой аварии.

Решение:

При решении используем характеристики пропана приведенные в таблице 7.1.

Выбираем тип подстилающей поверхности, над которой происходит рассеяние "трава до 15 см" с характерным размером шероховатости 0,01 м.

При расчете кипения пролива при выпадении жидкости на подстилающую поверхность согласно исходным данным в качестве поверхности пролива берется песок со свойствами, приведенными в таблице 7.8.

1. По условиям хранения и характеру разрушения определяем тип сценария аварийной ситуации - 4.

2. По формуле (36) определяем плотность газовой фазы пропана при 1 атм и температуре кипения - 2,29 .

3. В качестве вспомогательной величины определяем плотность газовой фазы пропана в оборудовании - 14,16 .

4. По вспомогательной формуле после формулы (43) определяем давление насыщенных паров пропана при существующей температуре в оборудовании - 774463 Па.

5. По вспомогательной формуле после формулы (43) определяем плотность насыщенных паров пропана при существующей температуре в оборудовании - 14,06 .

6. В качестве вспомогательной величины определяем плотность газовой фазы при температуре кипения и давлении насыщенного пара, соответствующем температуре жидкости в оборудовании - 17,76 .

7. По формуле (45) определяем общий (жидкости и газа) расход в выбросе из разрушенного оборудования (до отсечения аварийного участка) - 4,97 кг/с.

8. По формуле (46) определяем общий (жидкости и газа) расход в выбросе из разрушенного оборудования (после отсечения аварийного участка) - 4,95 кг/с.

9. По формуле (30) определяем давление насыщенных паров пропана при температуре окружающего воздуха 6125 мм. рт. ст.

10. По формуле (55) определяем расход газа, образовавшегося при вскипании перегретой жидкости, в выбросе из разрушенного оборудования (до отсечения аварийного участка) - 1,52 кг/с.

11. По формуле (55) определяем расход жидкости (в виде аэрозоля, образовавшегося при вскипании перегретой жидкости) в выбросе из разрушенного оборудования (до отсечения аварийного участка) - 1,52 кг/с. Эту же величину полагаем равной расходу пропана в жидкой фазе (в виде аэрозоля) в начальном сечении вторичного облака, образующегося на стадии истечения жидкой фазы (до отсечения аварийного участка).

12. С помощью формулы (50) выполняем предварительный расчет времени выравнивания скоростей кипения и испарения за счет тепломассобмена с воздухом - 1,8 с.

13. По формуле (58) определяем расход пропана в газовой фазе, образовавшейся при вскипании перегретой жидкости, в выбросе из разрушенного оборудования (после отсечения аварийного участка) - 1,51 кг/с.

14. По формуле (59) определяем расход жидкого пропана (в виде аэрозоля, образовавшегося при вскипании перегретой жидкости) в выбросе из разрушенного оборудования (после отсечения аварийного участка) - 1,51 кг/с. Эту же величину полагаем равной расходу пропана в жидкой фазе (в виде аэрозоля) в начальном сечении вторичного облака, образующегося на стадии истечения жидкой фазы (после отсечения аварийного участка).

15. Определяем время испарения из пролива всего выброшенного пропана, в т.ч. после отсечения аварийного участка - 651 с.

16. По формуле (52) проводим предварительный расчет времени формирования первичного облака на стадии истечения жидкости из разрушенного оборудования до отсечения аварийного участка - 1,8 с.

17. По формуле (53) делаем предварительный расчет времени формирования первичного облака на стадии истечения жидкости из разрушенного оборудования после отсечения аварийного участка - 0 с.

18. По формуле (51) определяем площадь пролива пропана на стадии формирования первичного облака - 0,14 . После формулы (53) приравниваем эту величину к площади контакта пролива с подстилающей поверхностью на стадии формирования первичного облака.

19. С помощью формулы (50) окончательно определяем время формирования первичного облака 0,12 с. Согласно расчету по формуле (52) первичное облако формируется на стадии истечения жидкости из разрушенного оборудования до отсечения аварийного участка. Время формирования первичного облака на стадии истечения жидкости из разрушенного оборудования после отсечения аварийного участка согласно формуле (53) равно 0 с.

20. По формуле (66) определяем длительность стадии истечения жидкости из разрушенного оборудования до отсечения аварийного участка - 59,88 с.

21. По формуле (66) определяем длительность стадии истечения жидкости из разрушенного оборудования после отсечения аварийного участка - 8,27 с.

22. По формуле (47) определяем массу пропана в первичном облаке - 0,38 кг. Согласно формуле (48) в начальный момент времени в первичном облаке находится 0,19 кг жидкого пропана. По формуле (76) рассчитываем начальную плотность первичного облака 4,56 . По формуле (81) определяем радиус и высоту первичного облака - 0,3 м. Начальная температура в первичном облаке составляет 231 К.

23. По формуле (69) определяем площадь пролива пропана - 5,17 .

24. По формуле (82), первый вариант, определяем полуширину вторичного облака, образующегося на стадии истечения пропана в жидкой фазе (до отсечения аварийного участка) - 1,13698 м. По формуле (85) определяем высоту этого облака 0,13 м.

25. По формуле (54) расход пропана во вторичном облаке, образующемся на стадии истечения жидкой фазы (до отсечения аварийного участка) составляет 3,14 кг/с. Начальный расход пропана в газовой фазе в этом вторичном облаке составляет 1,62 кг/с. Начальная скорость перемещения этого облака составляет - 2,37 м/с. По формуле (77) рассчитываем начальную плотность среды в этом облаке - 4,44 . Начальная температура во вторичном облаке составляет 231 К.

26. По формуле (83), первый вариант, определяем полуширину вторичного облака, образующегося на стадии истечения пропана в жидкой фазе (после отсечения аварийного участка) - 1,14 м. По формуле (86) определяем высоту этого облака 0,13 м.

27. По формуле (54) расход пропана во вторичном облаке, образующемся на стадии истечения жидкой фазы (после отсечения аварийного участка) составляет 3,13 кг/с. Начальный расход пропана в газовой фазе в этом вторичном облаке составляет 1,62 кг/с. Начальная скорость перемещения этого облака составляет - 2,37 м/с. По формуле (78) рассчитываем начальную плотность среды в этом облаке - 4,44 . Начальная температура во вторичном облаке составляет 231 К.

28. По формулам (70), (72) и (75) получаем, что длительности таких этапов как истечение из разрушенного оборудования газа при наличии пролива, истечение газа в отсутствие пролива и испарение из емкости равны нулю, т.е. эти стадии в рассматриваемой аварийной ситуации отсутствуют.

29. По формуле (84) определяем полуширину вторичного облака, образующегося на стадии испарения пропана из пролива в отсутствие выброса из оборудования - 1,14 м. По формуле (88) определяем высоту этого вторичного облака - 0,01 м. Средняя начальная скорость перемещения этого облака составляет - 1,46 м/с. По формуле (63) определяем расход пропана в этом облаке - 0,08 кг/с. Согласно формуле (60) жидкая фаза в этом вторичном облаке отсутствует. Согласно формуле (80) начальная плотность этого облака составляет - 2,29 . Начальная температура во вторичном облаке составляет 231 К.

30. По формуле (68) определяем время испарения пролива пропана после окончания истечения жидкой фазы - 1462 с.

31. Характерный размер шероховатости, согласно п. 3.1.3, определяем по таблице 8.1 - 0,01 м.

32. Согласно п. 3.1.3 определяем показатель степени в степенной зависимости скорости ветра от высоты - 0,19. С помощью этого показателя будет аппроксимироваться скорость в атмосферном слое 20 м над поверхностью земли.

33. По формуле (91) раздела 3.1.4 с использованием таблицы 7.6 определяем Масштаб Монина-Обухова - бесконечно большая величина.

34. По формуле (92) определяем динамическую скорость 0,35 м/с.

35. С использованием таблицы 7.7 определяем необходимый коэффициент для расчета рассеяния.

36. Для определения концентраций пропана в атмосфере при распространении первичного облака [(102) - (103)] численно решаем систему обыкновенных дифференциальных уравнений (104) - (112) с использованием уравнений (98) - (101).

37. Согласно п. 3.7 и 3.8 определяем размеры зон со взрывоопасной концентрацией.

Результаты расчета зон с концентрацией ВКПВ, НКПВ и 0,5 НКПВ представлены на рисунках 9.9, 9.10. На рисунке 9.9 показаны границы этих зон на поверхности земли, а на рисунке 9.10 в вертикальной плоскости, проходящей через ось выброса. Положению места выброса на этих рисунках соответствуют пространственные координаты (0,0,0).

 

Рис. 9.9. Зоны достижения концентрацией ВКПВ, НКПВ и 0,5 НКПВ на поверхности земли при выбросе пропана (пример 4)

 

Рис. 9.10. Зоны достижения концентрацией ВКПВ, НКПВ и 0,5 НКПВ в вертикальной плоскости, проходящей через ось выброса, при выбросе пропана (пример 4)

Приложение N 10

Блок-схема расчета последствий аварийного выброса опасных веществ

 

Рис. 10.1. Блок-схема расчета последствий аварийного выброса опасных веществ

Приложение N 11

Список использованных источников

1. Методика оценки последствий химических аварий (Методика "ТОКСИ"). М.:НТЦ "Промышленная безопасность", 1993, 19 с.

2. Методика оценки последствий химических аварий (Методика "ТОКСИ-2.2", утв. НТЦ "Промышленная безопасность", согл. Госгортехнадзором России) в сборнике "Методики оценки последствий аварий на опасных производственных объектах": Сборник документов. Серия 27. Выпуск 2 / Колл. авт. - 2-е изд., испр. и доп. - М.:ГУП НТЦ "Промышленная безопасность", 2002. - 208 с.

3. Общие правила взрывобезопасности для взрывопожароопасных химических, нефтехимических и нефтеперерабатывающих производств (ПБ 09-540-03).

4. The HGSYSTEM technical reference manual (HGSYSTEM version 3.0, Copyright c Shell Internationale Research Maatschappij BV, The Hague, 1988-1994).

5. Methods for the calculation of physical effects CPR 14E (Part 1, 2) "TNO Yellow book",  edition, TNO, The Netherlands, 1997.

6. ГОСТ Р 12.3.047-98 ССБТ. Пожарная безопасность технологических процессов. Общие требования. Методы контроля.

7. Van Ulden, A.P., "A new bulk model for dense gas dispersion: two-dimensional spread in still air, in "Atmospheric dispersion of heavy gases and small particles" (Ooms, G. and Tennekes, H., eds.), pp. 419-440, Springer-Verlag, Berlin, 1984.

8. McQuaid, J., "Some experiments on the structure of stably-stratified shear flows", Tech. Paper p. 21, Safety in Mines Research Establishment, Sheffield, UK, 1976.

9. Kranenburg, C, "Wind-induced entrainment in a stably stratified fluid", J. Fluid Mech. 145, pp. 253-273, 1984.

10. ESDU Data Sheet 74031, Characteristics of atmospheric turbulence near the ground - Part II. Single point data for strong winds (neutral atmosphere), Engineering Sciences Data Unit, London, 1974.

11. F. Pasquill, Atmosferic Diffusion, Ellis Horwood, Chichester,  edn., 1974.

12. В.Г. Мацак, Л.К. Хоцянов "Гигиеническое значение скорости испарения и давления пара токсических веществ, применяемых в производстве", М.:Медгиз, 1959, 231с.

13. Н.К. Fauske, M. Epstein "Source term consideration in connection with chemical accidents and vapor cloud modeling", J. Loss Prev. Process Ind., 1988, Vol. 1, April, pp. 75-83.

______________________________

*(1) При наличии достаточных обоснований допускается задание слоя разлития с глубиной отличной от 0,05 м, в частности в соответствии с нормами пожарной безопасности "Определение категорий помещений, зданий и наружных установок по взрывопожарной и пожарной опасности", утвержденными приказом Министерства Российской Федерации по делам гражданской обороны, чрезвычайным ситуациям и ликвидации последствий стихийных бедствий от 18.06.2003 г. N 314 (НПБ 105-03).

*(2) Данные и нижеследующие аналогичные обнуления не имеют физического смысла и необходимы для формализации подстановок в формулах; равенство на какой-либо стадии нулю начальных размеров облака, плотности и расхода (или количества опасного вещества) в нем, а также длительности поступления опасного вещества в атмосферу означает отсутствие данной стадии развития аварийной ситуации.

*(3) При расчете по формуле (6), а также по формулам (17), (35) - (36) и (76) - (80) при наличии достоверных данных о начальной плотности выброса допускается задание иной величины с приведением соответствующих обоснований.

*(4) В формуле (19), а также далее в формулах (29), (31), (40), (50), (54), (57), (61), (65), (68), (70), (71), (74), (77), (78), (82), (83), (85) - (90) и в соотношениях после формулы (53) используется величина , которая вычисляется согласно формуле (117).

*(5) При наличии достоверных исходных данных о геометрии и характеристиках поверхности, на которую происходит пролив, допускается задание иной площади пролива с приведением соответствующих обоснований.

*(6) При расчете интенсивности испарения из пролива по формулам (31), (54), (57), (61) и (63), а также при использовании интенсивности испарения в качестве вспомогательной величины в формулах (29), (50), (62), (64), (65), (68), равно как и в четырех ненумерованных формулах после формулы (53) допускается, при наличии достоверных данных, задание иных интенсивностей испарения с приведением соответствующих обоснований.

*(7) При наличии достоверных исходных данных о характере изменения скорости ветра с высотой допускается задание иной величины  с приведением соответствующих обоснований.

*(8) В следующих далее формулах используются переменные , , ,  и , для первичного облака эти переменные равны , , ,  и , а для вторичных облаков - , , ,  и .

*(9) в случае если величина  меньше 0,5 м, то в формуле (100) для расчета , используется величина , полученная по формуле (99) в предположении, что  = 0,5 м.

*(10) В случае если величина  меньше 0,5 м, то в формуле (117) для расчета  используется величина , полученная по формуле (116) в предположении, что  м.

 




Яндекс цитирования



   Copyright © 2007-2026,  www.tehlit.ru.

[ ѓосты, стандарты, нормативы, инструкции, правила, строительные нормы ]