//
|
|
Приказ Федеральной службы государственной статистики от 20 января 2009 г. N 7Об утверждении Методологических рекомендаций по наблюдению за уровнем и динамикой цен на рынке жильяВ соответствии с п. 5.2 Положения о Федеральной службе государственной статистики, утвержденного постановлением Правительства Российской Федерации от 02.06.2008 г. N 420, и п. 5.3.18 постановления Правительства Российской Федерации от 5 июня 2008 г. N 437 "О Министерстве экономического развития Российской Федерации" приказываю: 1. Утвердить прилагаемые "Методологические рекомендации по наблюдению за уровнем и динамикой цен на рынке жилья", согласованные с Министерством экономического развития Российской Федерации (письмо от 26.12.2008 г. N 20565-АК/ДОЗ), и ввести их в действие с отчета за I квартал 2009 года. 2. С введением п. 1 настоящего приказа признать утратившим силу постановление Госкомстата от 19.10.2000 г. N 100. Руководитель В.Л. Соколин Методологические рекомендации
| |||||||||||||||||||||||||||||||||||||||||||||||||||||||||||||||||||||||||||||||
|
Наименование |
Этап расчета |
|
Организации (крупные, средние, малые) и индивидуальные предприниматели, осуществляющие операции с недвижимостью в городах субъектов России |
Заполнение и расчет первичных показателей (средней цены и доли общей площади квартир каждого вида, являющихся объектом совершения рыночных операций) |
|
|
|
|
Научно-исследовательский и проектно-технологический институт статистической информационной системы Росстата (НИПИстатинформ Росстата) |
Программное обеспечение расчетов средних цен и индексов цен на рынке жилья |
|
|
|
|
Территориальные органы Федеральной службы государственной статистики |
Расчет сводных показателей по типам квартир (низкого качества, среднего качества (типовые), улучшенной планировки и элитного) и квартир с разным числом комнат по субъекту Российской Федерации |
|
|
|
|
Государственный Межрегиональный центр Росстата (ГМЦ Росстата) |
Расчет средних цен и индексов цен на рынке жилья в целом по России и по федеральным округам |
|
|
|
|
Росстат |
Методологическое обеспечение расчетов и анализ полученной информации |
Расчет средних цен и построение индексов цен на рынке жилья состоит из следующих этапов:
- отбор товаров-представителей, участвующих в расчетах средних цен и индексов цен;
- отбор городов для наблюдения за ценами и организаций, осуществляющих продажу жилья или предоставляющих посреднические услуги по продаже жилья;
- определение порядка регистрации и сбора информации о ценах;
- формирование базисных весов для исчисления средних цен и индексов цен на жилье различных уровней агрегации;
- расчет средних цен одного квадратного метра общей площади жилья;
- расчет индексов цен на рынке жилья.
Регистрация цен на рынке жилья по каждому типу квартир осуществляется отдельно на новые квартиры и на квартиры функционирующего жилищного фонда, находящиеся в собственности, если они являются объектами совершения рыночных сделок.
Под товаром-представителем, на который осуществляется регистрация цен на рынке жилья, понимается предназначенная для продажи на первичном или вторичном рынках жилья квартира определенного типа (низкого качества, среднего качества (типовые), улучшенной планировки и элитные) с определенным количеством комнат, в домах различного типа (крупнопанельном и крупноблочном, кирпичном или монолитном, в том числе монолитно-кирпичном).
Перечень товаров-представителей со стандартным описанием характеристик квартир формируется централизованно на федеральном уровне и доводится до специалистов территориальных органов Росстата, которые в обязательном порядке организуют наблюдение за ценами на квартиры, включенные в этот перечень.
Для наблюдения за ценами на первичном и вторичном рынках жилья отбираются квартиры с разным числом комнат в домах различного типа.
Специалистам территориальных органов Федеральной службы государственной статистики при отборе товаров-представителей с конкретными характеристиками для регистрации цен необходимо учитывать тот фактор, что отобранный для регистрации цен товар-представитель (квартира определенного типа на первичном или вторичном рынках жилья) должен участвовать в наблюдении постоянно в течение длительного периода времени.
Продажа участвующих в наблюдении типов квартир должна характеризоваться относительной стабильностью и отражать динамику цен того типа жилья, который они представляют.
Наблюдение охватывает только городской жилищный фонд.
Рынок коттеджного и деревянного жилья в наблюдении не участвует.
В статистическом наблюдении за ценами не участвует жилье, расположенное в сельской местности.
Первичным рынком жилья является рынок, на котором осуществляется передача в частную собственность нового (вновь построенного или реконструированного) жилья на возмездной основе правами, на реализацию которого обладают: государство в лице федеральных, территориальных и местных органов исполнительной власти; фирмы-застройщики, осуществляющие строительство (реконструкцию) объектов недвижимости; юридические и физические лица, официально уполномоченные осуществлять реализацию жилья.
На вторичном рынке жилья собственниками квартир могут выступать как физические, так и юридические лица. Объектом наблюдения на вторичном рынке жилья являются квартиры, находящиеся в частной или в государственной собственности и обладающие определенной степенью износа в результате эксплуатации. Кроме того, на вторичном рынке жилья регистрируются цены на вновь построенные (т.е. не бывшие в эксплуатации) или реконструированные квартиры, являющиеся объектом перепродажи как физическими, так и юридическими лицами.
Регистрация цен на рынке жилья для расчета средних цен и индексов цен осуществляется в центрах и отдельных городах всех субъектов Российской Федерации.
Перечень городов и количество организаций, для участия в наблюдении за ценами формируется на уровне субъекта Российской Федерации на выборочной основе.
Критерием отбора городов в субъекте служит:
- наличие организаций осуществляющих продажу или предоставляющих услуги по продаже жилья;
- наличие организаций осуществляющих строительство и продажу жилья (для первичного рынка).
При выборе городов необходимо руководствоваться тем, чтобы в обследование попали города, численность населения которых должна репрезентативно отражать ситуацию цен на рынке жилья.
Отбор организаций для наблюдения за уровнем и изменением цен на рынке жилья в городах производится из общего количества организаций осуществляющих продажу жилья. Территориальные органы Федеральной службы государственной статистики отбирают для регистрации цен организации, совершающие операции на рынке жилья таким образом, чтобы их ценовая информация в максимальной степени отражала специфику изменения цен на квартиры всего городского жилищного фонда субъекта.
При формировании перечня базовых организаций следует руководствоваться следующим:
- в составе базовых организаций, представляющих информацию об уровне цен на рынке жилья должны быть представлены не только крупные организации, осуществляющие большой объем сделок, но и организации с небольшим объемом сделок. Это связано с тем, что динамика цен в организациях с различным масштабом оборота может существенно различаться.
В случаях, если в отобранных городах операции по продаже жилья осуществляют всего 1 - 3 организации, они также должны быть включены в наблюдение.
В статистическом наблюдении за ценами участвуют юридические лица, а также граждане, осуществляющие предпринимательскую деятельность без образования юридического лица (индивидуальные предприниматели), обладающие законным правом на осуществление операций по купле-продаже недвижимости (далее - организации).
Статистическая информация о ценах одного квадратного метра общей площади жилья предоставляется ежеквартально юридическими лицами или индивидуальными предпринимателями, осуществляющими операции с недвижимостью.
Предоставление информации о цене одного квадратного метра общей площади квартир производится на бланках формы федерального статистического наблюдения N 1-РЖ "Сведения об уровне цен на рынке жилья", подписанных должностным лицом, ответственным за предоставление статистической информации (лицом, уполномоченным предоставлять статистическую информацию от имени юридического лица или от имени гражданина, осуществляющего предпринимательскую деятельность без образования юридического лица).
Первоначально контактная связь со специалистами организаций, предоставляющих отчет, может быть установлена с помощью письма, в котором сообщается, что на основании Федерального закона N 282-ФЗ от 29 ноября 2007 года "Об официальном статистическом учете и системе государственной статистики в Российской Федерации" и Постановления правительства РФ от 18 августа 2008 г. N 620 "Об условиях предоставления в обязательном порядке первичных статистических данных и административных данных субъектам официального статистического учета", организации должны предоставлять информацию по форме государственного статистического наблюдения N 1-РЖ "Сведения об уровне цен на рынке жилья". В письме должна быть четко и обоснованно изложена необходимость получения данных, подробно разъяснены цели и задачи использования и важности представляемой информации.
Регистрации подлежит сложившаяся на конец отчетного квартала средняя цена одного квадратного метра общей площади квартир отдельно на первичном и вторичном рынках жилья (с учетом налога на добавленную стоимость). Цены на жилье в бланке формы приводятся в рублях.
Все показатели рассчитываются по итогам сделок, по состоянию на 25 число последнего месяца отчетного квартала или на ближайшую дату в тех случаях, когда по состоянию на 25 число сделок не производилось.
В бланке формы проставляется цена одного квадратного метра общей площади квартир с указанием спецификации жилья в зависимости от его качества, числа комнат, материала стен домов, а также доля проданной общей площади квартир определенного типа в общем количестве реализованной площади в этой организации.
На первичном рынке жилья указываются цены одного квадратного метра общей площади квартир, проданных как с отделкой, так и без отделки или с частичной отделкой.
Квартиры с отделкой - это квартиры с полной готовностью под заселение.
Квартирами без отделки или с частичной отделкой (если это предусмотрено проектом или указывается при заключении договора купли-продажи) являются квартиры с разной степенью готовности для проживания, в которых необходимы работы, связанные с отделкой. Эти квартиры могут иметь следующие виды отделки:
- бетонную стяжку пола,
- оштукатуренные стены и потолок,
- разводку коммуникаций,
- сантехнику,
- плиты (газовые или электрические) и т.д.
Квартиры низкого качества - это квартиры в домах первых массовых серий застройки, пониженной этажности (включая 5-этажные дома). Такие дома отличаются небольшими по площади квартирами, низким качеством строительных материалов, изношенностью коммуникаций, неудобными планировками (часто были спроектированы как квартиры гостиничного (коридорного) типа с кухней и удобствами на этаже), с ограниченным набором инженерных коммуникаций (не имеющие хотя бы одного из следующих видов коммунальных удобств: водопровода, канализации, центрального отопления, горячего водоснабжения). К такому типу можно отнести и квартиры в кирпичных домах 18-19 веков с деревянными перекрытиями, ограниченным набором инженерных коммуникаций.
Следует иметь в виду, что цены на квартиры низкого качества регистрируются только на вторичном рынке.
Квартиры среднего качества (типовые квартиры) - это квартиры в кирпичных, крупнопанельных и крупноблочных домах, построенных по типовым проектам. Они имеют улучшенную планировку по сравнению с квартирами "низкого качества" (как правило, это квартиры с наличием небольших подсобных помещений, возможно со смежными комнатами и т.д.), но в силу невысокого качества строительства, уступающие качеству квартир современных домов.
Квартиры улучшенного качества - это квартиры в кирпичных, крупноблочных и крупнопанельных домах массовой типовой застройки с улучшенными бытовыми характеристиками: наличием всех видов коммунальных удобств, как правило, изолированными комнатами, наличием больших подсобных помещений (т.е. более удобные и просторные планировки квартир). К этому типу квартир относятся также квартиры в современных монолитных, в том числе монолитно-кирпичных домах. В таких домах выше качество применяемых строительных материалов и инженерных коммуникаций. За счет применения новых технологий может быть предусмотрена возможность изменения их планировок.
Элитные квартиры - это квартиры в кирпичных и монолитных, в том числе монолитно-кирпичных, домах повышенной комфортности, построенных по индивидуальным проектам, а также в домах, построенных в конце 19-го начале 20-го веков, с металлическими перекрытиями и (часто) лифтами зачастую расположенных в историческом центре и представляющих культурную и архитектурную ценность. К этому типу относятся также квартиры в "сталинских" домах, построенных незадолго до и десятилетие после Великой Отечественной войны. Это преимущественно кирпичные дома, с толстыми стенами, высокими потолками, большими просторными квартирами. Такие дома расположены либо непосредственно в центре города, либо вдоль основных магистралей.
Критерии отнесения жилья к какому-либо типу (низкого качества, среднего качества (типовое), улучшенного качества, элитное) определяются специалистами территориальных органов государственной статистики совместно с сотрудниками организаций, осуществляющих операции с недвижимостью. При определении типа продаваемой квартиры необходимо руководствоваться специфическими и экономическими условиями субъекта: этажность домов, наличие отдельных видов коммунальных услуг и т.п.
Цены на квартиры в центрах и отдельных городах субъектов Российской Федерации регистрируются в разбивке по различным классификационным признакам (качеству жилья, количеству комнат, материалу стен дома и т.д.) отдельно на первичном и вторичном рынках жилья.
Наибольшие трудности связаны с временным отсутствием продаж квартир какого-либо типа и регистрации цен на них.
В течение отчетного года в каждом субъекте Российской Федерации количество городов и отчитывающихся организаций в этих городах должно быть постоянным в пределах каждого из рынков жилья. В случае значительного повышения или снижения текущей цены по сравнению с ценой, приведенной в предыдущем отчете, специалисты организации, участвующей в наблюдении за ценами, должны указать конкретную причину изменения.
В случае не предоставления одной или несколькими организациями сведений об уровне цен на первичном или вторичном рынках жилья в одном или нескольких кварталах отчетного года специалисты территориальных органов статистики должны заполнить макеты входной информации по этим организациям. Наиболее распространенным способом учета недостающих показателей по ценам является использование для каждой организации расчетных (оценочных) значений до тех пор, пока не будут получены данные о фактических ценах.
Существует несколько основных методов исчисления расчетных цен, позволяющих обеспечить непрерывность индексных рядов:
- использование относительного изменения цен на аналогичный тип квартир в другой организации;
- использование среднего изменения цен по другим типам квартир на соответствующем рынке, в который входит временно исчезнувший из продажи тип квартиры;
- использование среднего изменения цен по всем типам квартир в субъекте.
В условиях высоких темпов инфляции не рекомендуется в случаях не предоставления базовыми организациями фактических цен использовать для индексных расчетов цены предыдущих периодов, не изменяя их в течение продолжительного времени. Цены предыдущих периодов можно использовать только в условиях стабильной динамики цен и лишь за один-два квартала по согласованию со специалистами организации, занимающейся продажей жилья.
Замена отобранных для наблюдения товаров-представителей с конкретными характеристиками на другие в течение отчетного года, как правило, не допускается. В исключительных случаях, когда продажа наблюдаемого типа квартир на определенном рынке в базовой организации прекращена, может быть осуществлена замена товара-представителя.
Для обеспечения сопоставимости индексных рядов цена одного квадратного метра общей площади квартиры, вновь включенной в наблюдение, должна быть получена за возможно более длительный предыдущий период. При этом замена товара-представителя должна быть осуществлена в соответствии с методологическими принципами, описанными ниже.
При полном прекращении продажи какого-либо типа квартир отчитывающейся организацией, а также при закрытии организации рекомендуется руководствоваться следующим.
Если закрытие организации или полное прекращение продажи квартир произошло в начале года, то необходимо проверить, есть ли в субъекте другая организация, занимающаяся реализацией жилья, но не попавшая в наблюдение. В случае наличия подобной организации следует произвести замену организации и наблюдаемых типов квартир на аналогичные. Если равноценной замены сделать невозможно, то этот тип квартир или организация исключается из наблюдения и, соответственно, пересчитываются сводные индексные ряды за предшествующие периоды. Для более точного осуществления процедуры замены исчезнувшей позиции рекомендуется помимо участвующих в наблюдении организаций, дополнительно осуществлять наблюдение за ценами в аналогичных организациях по типам квартир со сходными характеристиками.
Если закрытие организации или прекращение продажи определенного типа жилья произошло в середине года, то необходимо до конца отчетного года осуществлять исчисление "расчетных" (оценочных) цен на отсутствующую позицию, а в следующем году - заменить на другую организацию.
Расчет средних цен и индексов цен проводится на региональном и федеральном уровнях.
На уровне субъекта Российской Федерации при осуществлении расчетов используются два вида базисных весов:
- для расчета средних цен одного квадратного метра общей площади проданного жилья по городам субъекта в течение отчетного года, отдельно для первичного и вторичного рынков жилья, в качестве весов принимаются среднегодовые доли типов проданных квартир из общего объема продаж за предыдущий год, рассчитанные для каждого города;
- в качестве базисных весов для расчета средних цен и индексов цен на первичном и вторичном рынках жилья по субъекту Российской Федерации в течение отчетного года используется информация о численности городского населения на начало отчетного года в городах, которые участвуют в наблюдении в данном субъекте.
На федеральном уровне при расчете средних цен и индексов цен базисными весами являются:
- для первичного рынка жилья - данные о вводе в действие жилья (форма N С-1 "Сведения о вводе в эксплуатацию зданий и сооружений и реализации инвестиционных проектов") за предыдущий год;
- для вторичного рынка жилья - информация о численности городского населения субъекта на начало отчетного года.
Ввиду того, что при расчете средних цен по типам квартир в субъекте Российской Федерации используются постоянные веса для каждого типа квартир, в течение года наблюдение должно осуществляться по этим типам квартир.
Поскольку для расчета индекса цен в I квартале отчетного года необходима средняя цена 1 квадратного метра общей площади квартиры IV квартала предыдущего года, следует при расчете индексов цен за первый квартал обеспечить полное заполнение информации за IV квартал по всем типам квартир, по которым будет осуществляться наблюдение за ценами в отчетном году.
В том случае, если отобранная для наблюдения за ценами квартира ранее не участвовала в наблюдении, ее цену следует рассчитывать, используя приведенные выше рекомендации.
Средние цены и индексы цен (на уровне субъекта) рассчитываются только на те типы проданных квартир, по которым в базисном году имеется информация. Если в отчетном году в одной из наблюдаемых организаций была продана квартира, которая не продавалась в базисном году, то такой тип квартир не участвует в расчетах средних цен и индексов цен. В этом случае необходимо осуществлять наблюдение за ценами на этот тип квартир в текущем году для включения в расчет в следующем году.
Средняя цена одного квадратного метра общей площади квартир с определенным числом комнат каждого типа жилья в отчете каждой отобранной для наблюдения организации определяется на основании данных о фактических ценах сделок, совершенных в конце квартала, в расчете на один квадратный метр общей площади, взвешенных на количество общей реализованной площади квартир отдельно на первичном и вторичном рынках жилья.
Доля проданной общей площади квартир рассчитывается, как частное от деления площади квартир каждого типа на общее количество реализованной общей площади квартир всех типов.
Расчет средних цен по субъекту Российской Федерации проводится в два этапа.
На первом этапе рассчитывается средняя цена 1 кв. метра общей площади квартир по всем их типам (среднего качества (типовые), улучшенной планировки, элитные и низкого качества) и квартир с разным числом комнат (однокомнатные, двухкомнатные, трехкомнатные, 4-х и более комнатные) определенного типа дома (крупнопанельные и крупноблочные, кирпичные, монолитные, в т.ч. монолитно-кирпичные) на первичном и вторичном рынках жилья в каждом наблюдаемом городе субъекта.
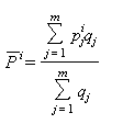
Вначале рассчитывается средняя цена одного квадратного метра общей площади квартир с разным числом комнат (однокомнатные, двухкомнатные, трехкомнатные, 4-х и более комнатные) в пределах каждого типа жилья (среднего качества (типовые), улучшенной планировки, элитное и низкого качества). Для каждого типа квартир она определяется как простая средняя арифметическая невзвешенная величина из цен всех участвующих в наблюдении базовых организаций этого города.
Затем рассчитывается средняя цена одного квадратного метра общей площади квартир по каждому типу квартир (среднего качества (типовые), улучшенной планировки, элитные и низкого качества) и по всем типам, а также квартир с определенным числом комнат (однокомнатные, двухкомнатные, трехкомнатные, 4-х и более комнатные) конкретного типа дома на первичном и вторичном рынках для каждого наблюдаемого города. Она определяется как средневзвешенная величина из цен одного квадратного метра общей площади квартир с разным числом комнат в пределах каждого типа дома и их доли в общем объеме реализованной общей площади по данному типу квартир. В качестве весов используются среднегодовые доли проданной общей площади жилых помещений по данному типу квартир за предыдущий год.
где:
- средняя цена одного квадратного метра общей
площади квартир по городу, рассчитанная по i-ому типу квартир;
i - идентификатор типа квартиры;
n - количество квартир с разным числом комнат в i-ом типе квартир;
k - вид квартиры с разным числом комнат в i-ом типе квартир;
- средняя цена одного квадратного метра общей
площади k-ого вида квартир с разным числом комнат в i-ом типе квартир;
- среднегодовая доля проданных квартир в
общем объеме реализованной общей площади k-ого вида квартиры с разным
числом комнат в i-ом типе квартир.
На втором этапе рассчитывается средняя цена одного квадратного метра общей площади квартир по всем типам (среднего качества (типовые), улучшенной планировки, элитные и низкого качества) и квартир с разным числом комнат (однокомнатные, двухкомнатные, трехкомнатные, 4-х и более комнатные) определенного типа дома в целом по субъекту Российской Федерации.
По субъекту средняя цена одного квадратного метра общей площади квартир каждого типа (среднего качества (типовые), улучшенной планировки, элитные и низкого качества) и квартир с разным числом комнат (однокомнатные, двухкомнатные, трехкомнатные, 4-х и более комнатные) определенного типа дома как на первичном, так и на вторичном рынках жилья рассчитывается на основании цен одного квадратного метра общей площади квартир, сложившихся в наблюдаемых городах субъекта Российской Федерации, и данных о численности городского населения этих городов.
Формула расчета средних цен одного квадратного метра общей площади квартир на первичном рынке жилья по субъекту по каждому из типов квартир имеет следующий вид:
,
где:
- средняя цена одного квадратного метра общей
площади квартир по субъекту, рассчитанная по i-ому типу квартир;
i - идентификатор типа квартиры;
z - идентификатор города в субъекте Российской Федерации,
n - число наблюдаемых городов в субъекте;
- средняя цена одного квадратного метра общей
площади i-ого типа квартир в z-ом городе субъекта Российской Федерации;
- численность городского постоянного
населения на начало отчетного года в z-ом городе субъекта Российской Федерации.
Аналогичным образом, исходя из данных по городам, определяются средние цены одного квадратного метра общей площади квартир на вторичном рынке жилья.
В целом по России и по федеральным округам средняя цена одного квадратного метра общей площади квартир каждого типа (среднего качества (типовые), улучшенной планировки, элитные) и квартир с разным числом комнат (однокомнатные, двухкомнатные, трехкомнатные, 4-х и более комнатные) определенного типа дома (крупнопанельные и крупноблочные, кирпичные, монолитные, в т.ч. монолитно-кирпичные) на первичном рынке жилья рассчитывается на основании цен одного квадратного метра общей площади квартир, сложившихся в субъектах Российской Федерации, и данных о вводе в действие жилья (форма N С-1 "Сведения о вводе в эксплуатацию зданий и сооружений и реализации инвестиционных проектов") за прошлый год.
Формула расчета средних цен одного квадратного метра общей площади квартир на первичном рынке жилья по федеральному округу по каждому из типов квартир имеет следующий вид:

где:
- средняя цена одного квадратного метра общей
площади квартир по федеральному округу, рассчитанная по j-ому типу квартир;
i - идентификатор типа квартиры;
j - идентификатор субъекта Российской Федерации, входящего в состав федерального округа;
m - число субъектов в составе федерального округа;
- средняя цена одного квадратного метра общей
площади i-ого типа квартир в j-ом субъекте Российской Федерации;
- введено в действие квадратных метров общей
площади в j-ом субъекте Российской Федерации в базовом периоде.
Аналогичным образом, исходя из данных по федеральным округам, определяются средние цены одного квадратного метра общей площади квартир на первичном рынке жилья по России.
На вторичном рынке жилья средняя цена одного квадратного метра общей площади квартир каждого типа (среднего качества (типовые), улучшенной планировки, элитные и низкого качества) и квартир с разным числом комнат (однокомнатные, двухкомнатные, трехкомнатные, 4-х и более комнатные) определенного типа дома по России и федеральным округам определяется на основании цен одного квадратного метра общей площади квартир, сложившихся в субъектах Российской Федерации, и численности городского населения (на начало отчетного года).
Формула расчета средних цен одного квадратного метра общей площади квартир на вторичном рынке жилья по федеральному округу по каждому из типов квартир приведена ниже:
,
где:
- средняя цена одного квадратного метра общей
площади квартир по федеральному округу, рассчитанная по i-ому типу квартир;
i - идентификатор типа квартиры;
j - идентификатор субъекта Российской Федерации, входящего в состав федерального округа;
m - число субъектов в составе федерального округа;
- средняя цена одного квадратного метра общей
площади i-ого типа квартир в j-ом субъекте Российской Федерации;
-
численность городского постоянного населения на начало отчетного года в j-ом
субъекте Российской Федерации.
Аналогичным образом, исходя из данных по федеральным округам, определяются средние цены одного квадратного метра общей площади квартир на вторичном рынке жилья по России в целом.
Исходя из особенностей развития экономики в переходный период, характеризующейся быстрой сменяемостью ассортимента и условий продажи квартир, в настоящее время при расчете индексов цен на рынке жилья применяется цепной метод расчета.
При данном методе расчета индекс цен за отчетный квартал определяется путем отнесения средней цены 1 кв. метра общей площади квартир на конец отчетного квартала к средней цене 1 кв. метра общей площади квартир на конец предыдущего квартала. Цепной индекс за длительный период времени определяется путем перемножения квартальных индексов цен.
Индивидуальные индексы цен определяются как частное от деления средних цен на отобранные для наблюдения квартиры в отчетном и базисном периодах по следующей формуле:
,
где:
- индекс цен на квартиры i-ого типа в отчетном
квартале по отношению к предыдущему кварталу;
- цена квартир i-ого типа в отчетном квартале;
- цена квартир i-ого типа в предыдущем квартале;
t - отчетный квартал
t-1 - предыдущий квартал
Индексы цен отчетного квартала к предыдущему по отдельным типам квартир рассчитываются путем деления их цен в отчетном квартале на цены в предыдущем квартале.
Сводные индексы цен на рынке жилья исчисляются по группам различной степени агрегации:
- по субъектам;
- по федеральным округам;
- по Российской Федерации в целом.
Для расчета сводных индексов цен на рынке жилья используются средние цены отчетного и предыдущего кварталов.
Сводные индексы цен на квартиры каждого типа (среднего качества (типовые), улучшенной планировки, элитные и низкого качества) и квартиры с разным числом комнат (однокомнатные, двухкомнатные, трехкомнатные, 4-х и более комнатные) определенного типа дома по субъектам, федеральным округам и Российской Федерации в целом последовательно формируются на основании информации о ценах на каждый тип квартир отчетного и предыдущего кварталов, а также данных о базисных весах. При расчете по субъектам в качестве базисных весов используются показатели "численность городского постоянного населения", по федеральным округам и Российской Федерации в целом - "введено в действие квадратных метров общей площади квартир" и "численность городского постоянного населения", при расчете.
При расчете сводных индексов цен к предыдущему кварталу по субъектам, федеральным округам и Российской Федерации в целом используется формула Ласпейреса. На первичном рынке жилья сводный индекс цен по федеральному округу формируется следующим образом:
,
где:
- сводный индекс цен отчетного квартала к предыдущему
кварталу по федеральному округу, рассчитанный по типу квартир i;
i - идентификатор типа квартиры с определенным количеством комнат;
j - идентификатор субъекта Российской Федерации, входящего в состав федерального округа;
m - число субъектов в составе федерального округа;
- средняя цена за отчетный квартал на квартиры
i-ого типа в j-ом субъекте Российской Федерации;
- средняя цена за предыдущий квартал на квартиры
i-ого типа в j-ом субъекте Российской Федерации;
- введено в действие квадратных метров общей площади
в j-ом субъекте Российской Федерации.
Подобным образом, исходя из данных по федеральным округам, определяются индексы цен на первичном рынке жилья по России в целом.
Индексы цен на вторичном рынке жилья исчисляются по аналогичным формулам. Однако в качестве весов в этом случае выступает численность городского населения в субъектах Российской Федерации.
По аналогичным формулам рассчитываются индексы цен по субъектам Российской Федерации исходя из средних цен городов, участвующих в наблюдении. В качестве весов на первичном и вторичном рынках жилья в этом случае используется численность населения этих городов.
Обновление системы весов, используемых при расчете средних цен и индексов цен на рынке жилья, проводится ежегодно.
Индекс цен за отчетный квартал к IV кварталу предыдущего года рассчитывается как произведение индекса цен предыдущего квартала к IV кварталу предыдущего года и индекса цен отчетного квартала к предыдущему кварталу:
,
где:
К - отчетный квартал
К-1 - предыдущий квартал
Т - отчетный год
Т-1 - предыдущий год
- сводный индекс цен отчетного квартала к IV кварталу
предыдущего года по федеральному округу, рассчитанный по квартирам типа i;
- сводный индекс цен предыдущего квартала к IV
кварталу предыдущего года по федеральному округу, рассчитанный по квартирам типа
i;
- сводный индекс цен отчетного квартала к предыдущему
кварталу по федеральному округу, рассчитанный по квартирам типа i.
Расчет индексов цен отчетного года к различным базисным периодам осуществляется на основе квартальных индексов цен за весь исследуемый период, приведенных к единой базе и исчисленных по единой структуре весов. Так, для сопоставления индексов цен отчетного года по отношению к предыдущему необходимо иметь ряд квартальных индексов цен за два смежных года, исчисленных к единой базе (например, к IV кварталу года предшествующего предыдущему, принятому за 100%) и пересчитанных по единой структуре весов (как правило, по используемой в отчетном году структуре).
При этом следует иметь в виду, что вновь исчисленные индексы цен предыдущего года используются только как вспомогательные. Официальными за предыдущий год остаются индексы цен, рассчитанные в течение предыдущего года.
Расчет индексов цен отчетного квартала к соответствующему кварталу предыдущего года производится по следующей формуле:
,
где:
- индекс цен отчетного квартала текущего года
(Т) к соответствующему кварталу предыдущего года (T-1);
- индекс цен IV квартала предыдущего года (Т-1)
к IV кварталу года, предшествующего предыдущему (T-2);
- индекс цен отчетного квартала текущего года
(Т) к IV кварталу предыдущего года (Т-1);
- индекс цен соответствующего квартала предыдущего
года (Т-1) к IV кварталу года, предшествующего предыдущему (T-2).
Индексы цен отчетного квартала к соответствующему кварталу прошлого года могут быть также получены цепным методом путем последовательного перемножения четырех квартальных индексов цен за этот период, пересчитанных по единой структуре весов.
При расчете индексов цен отчетного квартала текущего года к соответствующему кварталу предыдущего года следует обратить внимание на следующее:
- на точность расчетов влияет качество рассчитываемых квартальных индексов цен и участвующего в расчетах индекса "IV квартал отчетного года к IV кварталу предыдущего года", полученного путем перемножения квартальных индексов (цепным методом);
- особые трудности возникают в связи с заменой наблюдаемых типов квартир. Так, если в отчетном году наблюдение за ценами ведется по типам квартир, не участвовавшим в наблюдении в предыдущем году, то для обеспечения сопоставимости перечня типов квартир и цен на них в двух смежных периодах в качестве недостающей базисной информации за предыдущий год необходимо проставить расчетные цены.
Важнейшим методом определения правильности полученных агрегированных индексов цен по групповым позициям, рассчитанных цепным методом или по приведенному алгоритму, является прямое сопоставление цен одного квадратного метра общей площади отдельных типов квартир, входящих в эту подгруппу, за отчетный квартал к соответствующему кварталу предыдущего года.
Исчисление полугодовых и годовых индексов цен производится, исходя из квартальных индексов цен, рассчитанных к базисному периоду, принятому за 100%, по единой системе весов.
Расчет полугодовых индексов цен отчетного года к полугодиям предыдущего года производится исходя из квартальных индексов цен за эти два года, рассчитанных к единому базисному периоду - IV кварталу предшествовавшего предыдущему года, принятому за 100%, по единой структуре весов (как правило, используемой в отчетном году).
|
|
Индексы цен за предыдущий год (в процентах) |
Индексы цен за отчетный год (в процентах) |
||
|
к предыдущему кварталу |
к iv кварталу года, предшествующего предыдущему |
к предыдущему кварталу |
к IV кварталу года, предшествующего предыдущему |
|
|
I квартал |
101,08 |
101,08 |
105,04 |
106,62 |
|
II квартал |
98,75 |
99,82 |
102,68 |
109,48 |
|
III квартал |
99,56 |
99,38 |
108,44 |
118,72 |
|
IV квартал |
102,14 |
101,51 |
118,94 |
141,21 |
Квартальные индексы цен текущего года к IV кварталу года, предшествующего предыдущему, рассчитываются путем последовательного перемножения приведенных к единой структуре весов индекса цен IV квартала предыдущего года к IV кварталу года, предшествующего предыдущему, на квартальные индексы цен текущего года. Так, индекс цен отчетного квартала текущего года по отношению к IV кварталу года, предшествующего предыдущему, равен:
за I квартал - (101,51×105,04)/100= 106,62%,
за II квартал - (106,62×102,68)/100 = 109,48% и т.д.
Исходя из этих данных, производится расчет полугодовых индексов цен текущего года к полугодиям предыдущего года. Например, требуется определить изменение цен в I полугодии текущего года по сравнению с I полугодием предыдущего года. Расчет производится следующим образом:
![]()
Аналогично полугодовым индексам рассчитываются индексы цен за 9 месяцев отчетного года, отчетный год к соответствующему периоду предыдущего года (при этом число слагаемых числителя и знаменателя должно соответствовать числу кварталов сопоставляемых периодов).
В отдельных справочных материалах для характеристики роста цен за период (полугодие, год) используется индекс цен последнего квартала к последнему кварталу предыдущего периода.
Так, например, рост цен за II полугодие текущего года по сравнению с I полугодием может быть исчислен как отношение цен IV квартала к ценам II квартала и определен цепным методом, т.е. умножением индексов за III и IV кварталы. Исходя из этого, в обязательном порядке необходимо оговорить метод расчета, например: за год - IV квартал к IV кварталу, за I полугодие - II квартал к IV кварталу предыдущего года и т.д.
Разница между двумя описанными подходами к расчету индексов цен состоит в том, что первый вариант учитывает рост цен, усредненных за текущий интервал времени по сравнению с ценами, усредненными за базисный интервал, т.е. сопоставление производится между интервалами времени. Второй вариант учитывает рост цен по состоянию на текущий момент времени по сравнению с ценами по состоянию на базисный момент времени, т.е. сопоставление производится между моментами времени.
|
|
|
|