//
|
|
Приказ Минприроды России от 31 октября 2008 г. N 299 Об утверждении Административного регламента исполнения Федеральной службой по гидрометеорологии и мониторингу окружающей среды государственной функции по обеспечению функционирования на территории Российской Федерации пунктов гидрометеорологических наблюдений и системы получения, сбора и распространения гидрометеорологической информации В соответствии с постановлением Правительства Российской Федерации от 11 ноября 2005 г. N 679 "О порядке разработки и утверждения административных регламентов исполнения государственных функций (предоставления государственных услуг)" (Собрание законодательства Российской Федерации, 2005, N 47, ст. 4933; 2007, N 50, ст. 6285; 2008, N 18, ст. 2063) приказываю: Утвердить прилагаемый Административный регламент исполнения Федеральной службой по гидрометеорологии и мониторингу окружающей среды государственной функции по обеспечению функционирования на территории Российской Федерации пунктов гидрометеорологических наблюдений и системы получения, сбора и распространения гидрометеорологической информации.
Министр Ю.П. Трутнев
Зарегистрировано в Минюсте РФ 17 декабря 2008 г. Регистрационный N 12879
Административный
регламент
I. Общие положения1.1. Административный регламент исполнения государственной функции по обеспечению функционирования на территории Российской Федерации пунктов гидрометеорологических наблюдений и системы получения, сбора и распространения гидрометеорологической информации (далее - государственная функция) разработан на основании постановления Правительства Российской Федерации от 11 ноября 2005 года N 679 "О Порядке разработки и утверждения административных регламентов исполнения государственных функций и административных регламентов предоставления государственных услуг" (Собрание законодательства Российской Федерации, 2005, N 47, ст. 4933, 2007, N 50, ст. 6285). 1.2. Исполнение государственной функции по обеспечению функционирования на территории Российской Федерации пунктов гидрометеорологических наблюдений и системы получения, сбора и распространения гидрометеорологической информации осуществляется в соответствии с: Федеральным законом от 19 июля 1998 г. N 113-ФЗ "О гидрометеорологической службе" (Собрание законодательства Российской Федерации, 1998, N 30, ст. 3609; 2002, N 26, ст. 2516; 2004, N 35, ст. 3607; 2005, N 23, ст. 2203; 2006, N 6, ст. 638); Кодексом Российской Федерации об административных правонарушениях от 30 декабря 2001 г. N 195-ФЗ (Собрание законодательства Российской Федерации, 2002, N 1, ст. 1, N 18, ст. 1721, N 30, ст. 3029, N 44, ст. 4295, 4298; 2003, N 1, ст. 2, N 27, ст. 2700, N 27, ст. 2708, 2717, N 46, ст. 4434, 4440, N 50, ст. 4847, 4855, N 52, ст. 5037; 2004, N 19, ст. 1838, N 30, ст. 3095, N 31, ст. 3229, N 34, ст. 3529, 3533, N 44, ст. 4266; 2005, N 1, ст. 9, 13, 37, 40, 45, N 10, ст. 762, 763, N 13, ст. 1077, 1079, N 17, ст. 1484, N 19, ст. 1752, N 25, ст. 2431, N 27, ст. 2719, 2721, N 30 (ч. 1), ст. 3104, N 30 (ч. II), ст. 3124, 3131, N 40, ст. 3986, N 50, ст. 5247, N 52, ст. 5574, 5596; 2006, N 1, ст. 4, 10, N 2, ст. 172, 175, N 6, ст. 636, N 10, ст. 1067, N 12, ст. 1234, N 17, ст. 1776, N 18, ст. 1907, N 19, ст. 2066, N 23, ст. 2380, 2385, N 28, ст. 2975, N 30, ст. 3287, N 31, ст. 3420, 3432, 3433, 3438, 3452, N 43, ст. 4412, N 45, ст. 4633, 4634, 4641, N 50, ст. 5279, 5281, N 52, ст. 5498); Федеральным законом от 27 июля 2006 г. N 149-ФЗ "Об информации, информационных технологиях и защите информации" (Собрание законодательства Российской Федерации, 2006, N 31, ст. 3448); Федеральным законом от 7 июля 2003 г. N 126-ФЗ "О связи" (Собрание законодательства Российской Федерации, 2003, N 28, ст. 2895; N 52, ст. 5038; 2004, N 35, ст. 3607, N 45, ст. 4377; 2005, N 19, ст. 1752; 2006, N 6, ст. 636, N 10, ст. 1969, N 31, ст. 3431, ст. 3452; 2007, N 1, ст. 8, N 7, ст. 835, N 31,ст. 4002); Федеральным законом от 2 мая 2006 г. N 59-ФЗ "О порядке рассмотрения обращений граждан Российской Федерации" (Собрание законодательства Российской Федерации, 2006, N 19, ст. 2060); Законом Российской Федерации от 27 апреля 1993 г. N 4871-1 "Об обеспечении единства измерений" (Собрание актов Президента и Правительства Российской Федерации, 1994, N 8, ст. 598, Собрание законодательства Российской Федерации, 1996, N 3, ст. 191; 1999, N 41, ст. 4923; 2003, N 21, ст. 2009, N 39, ст. 3773); постановлением Правительства Российской Федерации от 23 января 2006 г. N 32 "Об утверждении правил оказания услуг связи по передаче данных" (Собрание законодательства Российской Федерации, 2006, N 5, ст. 553); постановлением Правительства Российской Федерации от 28 марта 2005 г. N 161 "Об утверждении правил присоединения сетей электросвязи и их взаимодействия" (Собрание законодательства Российской Федерации, 2005, N 14, ст. 1243); постановлением Правительства Российской Федерации от 13 августа 2006 г. N 497 "О лицензировании деятельности в области гидрометеорологии и смежных с ней областях, а также выполнения работ по активному воздействию на гидрометеорологические и геофизические процессы и явления" (Собрание законодательства Российской Федерации, 2006, N 34, ст. 3685); Положением о Федеральной службе по гидрометеорологии и мониторингу окружающей среды, утвержденным постановлением Правительства Российской Федерации от 23 июля 2004 г. N 372 (Собрание законодательства Российской Федерации, 2004, N 31, ст. 3262; 2005, N 50, ст. 5321; 2006, N 52, ст. 5587; 2008, N 22 ст. 2581); Положением о создании охранных зон стационарных пунктов наблюдений за состоянием окружающей природной среды, ее загрязнением, утвержденным постановлением Правительства Российской Федерации от 27 августа 1999 N 972 (Собрание законодательства Российской Федерации 1999, N 36, ст. 4405; 2005, N 7, ст. 560); постановлением Правительства Российской Федерации от 12 февраля 1994 г. N 100 "Об организации работ по стандартизации, обеспечению единства измерений, сертификации продуктов и услуг" (Собрание актов Президента и Правительства Российской Федерации, 1994, N 8, ст. 598, Собрание законодательства Российской Федерации, 1996, N 3, ст. 191, 1999, N 41, ст. 4923, 2003, N 21, ст. 2009, N 39, ст. 3773); постановлением Госстандарта России от 30 января 2004 г. N 4 "О национальных стандартах Российской Федерации", зарегистрировано в Минюсте России 13 февраля 2004 г., регистрационный номер 5546 (Бюллетень нормативных актов федеральных органов исполнительной власти, 2004, N 8); постановлением Правительства Российской Федерации от 08 февраля 2002 г. N 94 "О мерах по обеспечению выполнения обязательств Российской Федерации по международному обмену данными гидрометеорологических наблюдений и осуществлению функций Мирового метеорологического центра в г. Москве (Собрание законодательства Российской Федерации 2002, N 7, ст. 693); постановлением Правительства Российской Федерации от 15 ноября 1997 г. N 1425 "Об информационных услугах в области гидрометеорологии и мониторинга окружающей среды" (Собрание законодательства Российской Федерации 1997, N 47, ст. 5410, 2008, N 13, ст. 1314); приказом Росгидромета от 17 октября 2000 г. N 150 "Об утверждении Перечня работ федерального назначения в области гидрометеорологии и смежных с ней областях", регистрационный номер 2462 (Бюллетень нормативных актов федеральных органов исполнительной власти, 2000, N 49); Типовым положением о территориальном органе Федеральной службы по гидрометеорологии и мониторингу окружающей среды, утвержденным приказом Росгидромета от 17 апреля 2007 г. N 123, регистрационный номер 9534 (Бюллетень нормативных актов федеральных органов исполнительной власти, 2007, N 28 ); приказом Росгидромета от 21 января 2000 г. N 13 "Об утверждении Положения о порядке организации, учета и функционирования ведомственной сети", регистрационный номер 2141 (Бюллетень нормативных актов федеральных органов исполнительной власти, 2000, N 10; приказом Росгидромета от 28 февраля 2007 г. N 61 "О внесении изменений в некоторые нормативные правовые акты Росгидромета", регистрационный номер 9212 (Бюллетень нормативных актов федеральных органов исполнительной власти, 2007, N 17). 1.3. Государственную функцию исполняет Федеральная служба по гидрометеорологии и мониторингу окружающей среды (далее - Росгидромет), ее территориальные органы и подведомственные федеральные государственные учреждения (далее - ФГУ Росгидромета). Перечень территориальных органов и ФГУ Росгидромета приведен в приложении N 16 к настоящему Административному регламенту. В Росгидромете ответственными за исполнение указанной государственной функции являются Управление гидрометеорологии и кадров (далее - УГМК), Управление геофизического мониторинга, активных воздействий и государственного надзора (далее - УГМАВ), Управление планирования, финансирования, учета и отчетности, федерального имущества (далее - УПФ) и Организационно-правовое управление (далее - ОПУ). 1.4. Административный регламент исполнения государственной функции направлен на регулирование деятельности пунктов наблюдений государственной наблюдательной сети, которая, согласно статье 1 Федерального закона "О гидрометеорологической службе", является наблюдательной сетью федерального органа исполнительной власти в области гидрометеорологии и смежных с ней областях, то есть наблюдательной сетью Росгидромета. Административный регламент разработан в целях повышения качества и эффективности административно-управленческого процесса в Росгидромете по выполнению указанной государственной функции участниками ее исполнения: структурными подразделениями центрального аппарата Росгидромета, территориальными органами и подведомственными учреждениями. Результатом исполнения государственной функции является сбор первичных данных с пунктов гидрометеорологических наблюдений ФГУ Росгидромета, распространение их по информационно-телекоммуникационной сети Росгидромета участникам деятельности гидрометеорологической службы и для международного обмена данными гидрометеорологических наблюдений в рамках Всемирной Службы Погоды Всемирной метеорологической организации (далее - ВСП ВМО). Юридическим фактом, которым заканчивается исполнение государственной функции, являются акт передачи ФГУ Росгидромета гидрометеорологических бюллетеней со сводками данных наблюдений в информационно-телекоммуникационную сеть Росгидромета для распространения получателям информации. Способ фиксации выполнения административного действия по сбору и распространению информации осуществляется в электронных системах аппаратно-программным методом, а также диспетчерскими записками о прохождении информации. 1.5. Получателями данных наблюдений в форме метеорологических бюллетеней являются: участники деятельности гидрометеорологической службы, осуществляющие подготовку и предоставление потребителям прогностической, аналитической и расчетной информации о состоянии окружающей среды; национальные гидрометеорологические службы, участвующие в международном обмене данными гидрометеорологических наблюдений в рамках ВСП ВМО. От имени получателя информации выступает руководитель или уполномоченное лицо. II. Требования к порядку исполнения государственной функции2.1. Информация, относящаяся к исполнению государственной функции, в том числе о правилах ее исполнения, размещается в официальных электронных средствах (на официальном сайте сети Интернет www.meteorf.ru и http://grmc.mecom.ru), а также доводится до получателей информации по их запросу в устной или письменной форме. На официальных сайтах Росгидромета, его территориальных органов и подведомственных ФГУ в сети Интернет размещаются перечни документов, необходимых для исполнения государственной функции, и документов, представляемых заявителями для получения информации в рамках исполнения государственной функции при осуществлении административной процедуры сбора и распространения гидрометеорологической информации, а также требования к таким документам. Прием заявлений и документов для получения гидрометеорологической информации, распространяемой по информационно-телекоммуникационной сети Росгидромета, в том числе с использованием сети Интернет, а также выдача документа о предоставлении услуг передачи гидрометеорологической информации (договор о предоставлении услуг передачи данных) производится ФГУ Росгидромета. Сведения о местах нахождения, справочных телефонах, адресах сайтов в сети Интернет, адресах электронной почты территориальных органов и ФГУ Росгидромета указаны в приложениях N 6 и N 16 к настоящему Административному регламенту. Адрес Росгидромета: 123995, г. Москва, Д-242, ГСП-5, Нововаганьковский переулок, д. 12. Официальный сайт Росгидромета: www.meteorf.ru. Режим работы Росгидромета, его территориальных органов и ФГУ Росгидромета: с понедельника по четверг с 9-00 до 18-00, в пятницу - с 9-00 до 16-45. В выходные и праздничные дни осуществляется дежурство руководства Росгидромета и руководителей структурных подразделений. Ответственные дежурные Росгидромета работают круглосуточно, тел. 8-495-252-00-54. УГМК, Отдел наблюдательной сети и территориальных органов, телефон 8-495-255-21-81, факс 8-495-255-21-20, usnk@mcc.mecom.ru. usnk2@mcc.mecom.ru. УГМАВ, Отдел технического развития наземных и космических систем, телефон 8-495-255-53-04, факс 8-495-252-18-06, ovch@mcc.mecom.ru. УПФ, телефон 8-495-255-20-99, факс 8-495-252-16-21, upfplan@mcc.mecom.ru. ОПУ, Отдел делопроизводства и контроля, телефон 8-495-255-20-27, факс 8-495-255-61-31, vvu@mecom.ru. 2.2. Рассмотрение документов и принятие решения о возможности предоставления услуг передачи данных осуществляется в месячный срок со дня получения от заявителя полного комплекта документов, предусмотренных в пункте 3.8 настоящего Административного регламента. ФГУ Росгидромета в течение 10 рабочих дней со дня принятия решения о возможности предоставления гидрометеорологической информации направляет заявителю проект договора о предоставлении услуг передачи данных по указанному заявителем почтовому или электронному адресу. Срок исполнения отдельных административных процедур, необходимых для исполнения государственной функции, должностные лица, ответственные за их выполнение, результат исполнения, способ фиксации результата выполнения административного действия, представлены в разделе 3 административных процедур настоящего Административного регламента. 2.3. Исполнение государственной функции при осуществлении действия по передаче данных гидрометеорологических наблюдений, а также подтверждение факта получения информации осуществляется в виде электронных сообщений, поэтому необходимость личного присутствия получателя информации и наличия соответствующего места приема не требуется. 2.4. Для получения данных по информационно-телекоммуникационной сети Росгидромета заявителем самостоятельно или ФГУ Росгидромета (оператор связи) организуется дополнительный канал. Оператор связи осуществляет монтаж и наладку средств связи, образующих точку присоединения, непосредственное присоединение канала связи. Для подключения к системе циркулярного распространения информации (СЦРИ) необходимо приобретение терминала СЦРИ и выполнение процедур авторизации и предоставления права доступа к каналам спутникового вещания. Для получения данных через Интернет из оперативной базы данных или банка данных необходимо подключение заявителя к сети Интернет и обеспечение стандартными средствами доступа к WEB-серверу ФГУ Росгидромета. Способ получения данных заявителем объявляется оператором связи с учетом возможностей подключения к информационно-телекоммуникационной сети Росгидромета. 2.5. Для подключения к информационно-телекоммуникационной сети Росгидромета заявитель направляет в ФГУ Росгидромета запрос в письменной или электронной форме с приложением указанных ниже документов с целью получения информации по территории деятельности данного ФГУ. В случае, если необходимая информация или технические возможности в ФГУ Росгидромета отсутствуют, запрос направляется в Государственное учреждение "Главный радиометеорологический центр" (ГУ "ГРМЦ"). 2.6. Запрос заявителя должен содержать следующие документы: заявление в произвольной форме; документ, подтверждающий его полномочия (доверенность или соответствующее решение единоличного исполнительного органа) и документ, удостоверяющий его личность - для индивидуального предпринимателя; копию свидетельства о государственной регистрации юридического лица и копию свидетельства о государственной регистрации в качестве индивидуального предпринимателя - для индивидуального предпринимателя; технические характеристики программно-аппаратного комплекса приема информации заявителя для подключения его к сети информационно-телекоммуникационной сети Росгидромета; вид и объем запрашиваемой информации; адрес, по которому можно направить ответ. 2.7. ГУ "ГРМЦ" принимает решение о заключении договора на оказываемые заявителю услуги связи по передаче данных после получения письменного подтверждения от территориального органа или ФГУ Росгидромета отсутствия у них необходимой заявителю информации или технических возможностей ее передачи, а также с учетом наличия запрашиваемой информации в оперативной базе данных или банке данных ГУ "ГРМЦ". 2.8. Отказ в подключении к информационно-телекоммуникационной сети Росгидромета может быть дан в случае несоответствия технических характеристик программно-аппаратного комплекса приема информации заявителя для подключения к информационно-телекоммуникационной сети Росгидромета, отсутствия запрашиваемых данных наблюдений в каталоге метеобюллетеней, передаваемых по каналам автоматизированной системы передачи данных (АСПД) Росгидромета (каталог метеобюллетеней), лицензии на осуществление деятельности в области гидрометеорологии и смежных с ней областях (далее - лицензия). В случае несогласия заявителя с отказом он может направить жалобу в Росгидромет. 2.9. В договоре о предоставлении услуг передачи данных между заявителем и ФГУ Росгидромета, распространяемых по информационно-телекоммуникационной сети Росгидромета, должны быть указаны следующие данные: дата и место заключения договора; наименование ФГУ Росгидромета; реквизиты расчетного счета ФГУ Росгидромета; сведения о заявителе: фамилия, имя, отчество, дата, место рождения, реквизиты документа, удостоверяющего личность, - для гражданина; наименование (фирменное наименование), место нахождения - для юридического лица; реквизиты документа, удостоверяющего личность, и свидетельство о государственной регистрации в качестве индивидуального предпринимателя - для индивидуального предпринимателя; адрес установки оборудования; вид (тип) оборудования; технические показатели, характеризующие качество услуг по передаче данных (в том числе полосу пропускания линии связи в сети передачи данных, потери потоков информации, временные задержки при передаче пакетов информации, достоверность передачи информации); способ доставки счета за оказание услуги связи по передаче данных; права, обязанности и ответственность сторон; обязанность ФГУ Росгидромета по соблюдению сроков и порядка устранения неисправностей, препятствующих пользованию услугами связи по передаче данных; срок действия договора. В договоре должны быть указаны существенные условия: используемые абонентские интерфейсы и протоколы передачи данных; оказываемые услуги связи по передаче данных; системы оплаты услуг связи по передаче данных; порядок, сроки и форма расчета. В оказываемые услуги по передаче данных включаются услуги, технологически неразрывно связанные с услугами по передаче данных (предоставление доступа к сети передачи данных) при соблюдении требований, установленных Правилами оказания услуг связи по передаче данных. Гидрометеорологическая информация общего назначения передается получателю информации бесплатно и в стоимость услуг по передаче данных не входит. 2.10. Стоимость услуги за присоединение заявителя к информационно-телекоммуникационной сети Росгидромета и (или) услуги по пропуску трафика определяется ФГУ Росгидромета*. 2.11. Основанием для приостановления или отказа в предоставлении услуг передачи данных конкретному получателю информации является несоблюдение им условий договора и требований по защите информации, прекращение действия лицензии. 2.12. Для получения письменного ответа о порядке исполнения государственной функции заявитель направляет в адрес Росгидромета письменный запрос. Запрос может быть направлен по почте, посредством факсимильной, электронной или другой связи, либо иным способом, позволяющим установить достоверность документа. 2.13. Информация о порядке исполнения государственной функции считается доведенной до сведения заявителей в устной форме, если такая информация получена им на личном приеме в Росгидромете или посредством телефонной связи. Информация о порядке исполнения государственной функции может быть получена посредством телефонной связи ежедневно в следующие часы: понедельник, вторник, среда, четверг - с 9.00 до 18.00, пятница - с 9.00 до 16.45. В случае обращения заявителя за информацией посредством телефонной связи, предельное время ожидания ответа составляет 10 минут. Ответственное должностное лицо обязано сообщить заявителю график личного приема лиц при исполнении государственной функции, точный почтовый адрес Росгидромета (при необходимости способ проезда к зданию, в котором размещается центральный аппарат Росгидромета), требования к письменному запросу об исполнении государственной функции. Информация о порядке исполнения государственной функции считается доведенной до сведения заявителей в письменной форме, если такая информация содержится в документе, оформленном на бумажном носителе, и получена заявителем посредством использования факсимильной, электронной или другой связи, либо иным способом, позволяющим установить достоверность документа. 2.14. Информация о порядке исполнения государственной услуги доводится до заявителей ответственным должностным лицом УГМК и (или) УГМАВ. Информация о порядке исполнения государственной функции также размещается на сайте Росгидромета. 2.15. Заявители, желающие получить информацию о порядке исполнения государственной функции в устной форме, могут записаться на личный прием по телефонам, указанным ниже. При личном приеме заявитель и (или) уполномоченное им лицо должны предъявить документ, удостоверяющий его личность, и (или) документ, подтверждающий его полномочия. В ходе личного приема заявителю и (или) уполномоченному им лицу может быть отказано в дальнейшем рассмотрении обращения, если ему ранее был дан ответ по существу поставленных вопросов. III. Административные процедуры3.1. Основанием для исполнения государственной функции являются: Положение о Федеральной службе по гидрометеорологии и мониторингу окружающей среды, утвержденное постановлением Правительства Российской Федерации от 23.07.2004 N 372; постановление Правительства Российской Федерации от 08.02.2002. N 94 "О мерах по обеспечению выполнения обязательства Российской Федерации по международному обмену данными гидрометеорологических наблюдений и осуществления функций Мирового метеорологического центра в г. Москве". 3.2. Исполнение государственной функции осуществляется следующими административными процедурами: 3.2.1 планирование; 3.2.2 ведение учета программ и видов гидрометеорологических наблюдений; 3.2.3 получение гидрометеорологической информации; 3.2.4 методическое руководство наблюдениями за состоянием окружающей среды, сбором и распространением гидрометеорологической информации; 3.2.5 охрана пунктов наблюдений; 3.2.6 сбор и распространение гидрометеорологической информации; 3.2.7 получение и анализ информации о состоянии выполнения планов наблюдений за состоянием окружающей среды, сбора и распространения гидрометеорологической информации. Схема взаимосвязи административных процедур при осуществлении государственной функции приведена в приложении N 1 к настоящему Административному регламенту. 3.3. Описание последовательности действий при осуществлении процедуры выполнения планирования 3.3.1. Юридическим фактом, являющимся основанием для осуществления процедуры планирования, является приказ Росгидромета об утверждении и введении в действие макета задания на выполнение работ и оказание государственных услуг в области гидрометеорологии и смежных с ней областях, мониторинга окружающей среды, ее загрязнения. 3.3.2. Основной целью планирования производства наблюдений, сбора и распространения гидрометеорологической информации является обеспечение полноты и качества проводимых наблюдений и работ, оперативная передача результатов наблюдений, в том числе экстренной информации об опасных природных явлениях, ФГУ Росгидромета и иным участникам деятельности гидрометеорологической службы, осуществляющим подготовку прогностической, аналитической и расчетной информации о состоянии окружающей среды. Планирование осуществляется всеми исполнителями указанной государственной функции. 3.3.3. В центральном аппарате Росгидромета в рамках данной процедуры: - ответственными исполнителями по сбору и анализу предложений территориальных органов и ФГУ Росгидромета по учету пунктов и программ наблюдений, их техническому оснащению и финансовому обеспечению функционирования наблюдательных подразделений являются сотрудники УГМК, УГМАВ и УПФ; - ответственным исполнителем по формированию и подготовке к утверждению ежегодных сводных заданий территориальным органам и ФГУ Росгидромета является сотрудник УПФ; - ответственным исполнителем по разработке и утверждению Плана ведомственных методических инспекций сетевых организаций в рамках работы научно-исследовательских учреждений (НИУ) Росгидромета по научно-методическому руководству (далее - инспекции НИУ Росгидромета) является сотрудник УГМК; - ответственным исполнителем по разработке и подготовке к утверждению ежегодных планов приобретения приборов и оборудования, не входящих в сметы строек, для оснащения пунктов наблюдений является сотрудник УГМАВ; - ответственным исполнителем по разработке и подготовке к утверждению Плана радиозондирования атмосферы на аэрологической сети Росгидромета является сотрудник УГМК; - ответственными исполнителями по формированию и ведению каталога метеобюллетеней, передаваемых по каналам автоматизированной передачи данных (АСПД) Росгидромета (далее - каталог метеобюллетеней), являются сотрудники УГМК и УГМАВ. 3.3.4. Ответственными исполнителями по подготовке и представлению предложений в Росгидромет являются руководители территориальных органов и ФГУ Росгидромета. 3.3.5. Подразделения центрального аппарата Росгидромета анализируют представленные предложения и разрабатывают сводные проекты задания территориальным органам и ФГУ Росгидромета. Проекты заданий, разработанные на основе указанных выше предложений, а также с учетом выделенных объемов бюджетного финансирования, представляются начальником УПФ на утверждение Руководителю Росгидромета в сроки, установленные приказом Росгидромета. Задание, в части обеспечения функционирования пунктов наблюдений государственной наблюдательной сети, включает в себя следующие разделы: оперативно-производственные работы; план информационной работы; план приобретения приборов и оборудования; задание на инспектирование пунктов наблюдений. В состав оперативно-производственных работ входят обобщенные по территориальному органу, ФГУ Росгидромета показатели по видам и программам наблюдений, первичной обработке и контролю результатов наблюдений по всем пунктам наблюдений, методическому, техническому и метрологическому обеспечению наблюдений. В плане информационной работы устанавливается объем передаваемой информации, сроки и способы передачи информации с пунктов наблюдений. На основе предложений территориальных органов и ФГУ Росгидромета, с учетом выделенных на эти цели объемов финансирования, УГМАВ совместно с УГМК Росгидромета формируют годовые планы приобретения приборов и оборудования. Заместитель начальника УГМАВ представляет проект плана на утверждение Руководителю Росгидромета в декабре года, предшествующего планируемому году, организуют их реализацию. Задание на инспектирование пунктов наблюдений включает в себя количество инспекций по видам наблюдений подразделений государственной наблюдательной сети ФГУ Росгидромета. 3.3.6. Проект плана инспекций НИУ Росгидромета составляется не позднее, чем за месяц, предшествующий календарному году, по форме, приведенной в приложении N 2 к настоящему Административному регламенту. Указанный проект плана разрабатывается с учетом предложений НИУ, головных по видам наблюдений, в соответствии с требованиями руководящих документов о периодичности проведения инспекций, и представляется начальником УГМК на утверждение Руководителю Росгидромета. 3.3.7. Ежегодный план радиозондирования атмосферы на аэрологической наблюдательной сети Росгидромета утверждается Руководителем Росгидромета на основании предложений территориальных органов и ФГУ Росгидромета в декабре предшествующего года по представлению начальника УГМК. 3.3.8. Для создания единой базы данных и осуществления контроля за своевременным и полным сбором и распространением информации создается каталог метеобюллетеней, который является планом передачи гидрометеорологической информации из ФГУ Росгидромета в информационно-телекоммуникационную сеть Росгидромета для распространения получателям информации. Ведение электронной версии каталогов метеобюллетеней, осуществляется ГУ "ГРМЦ" и размещается в сети Интернет на сайте http://grmc.mecom.ru. 3.3.8.1. Каталог метеобюллетеней включает в себя: наименования подведомственного Росгидромету ФГУ и пункта наблюдения, которые осуществляют ввод данных в АСПД; сокращенный заголовок гидрометеорологического бюллетеня в соответствующем формате; кодовую форму данных наблюдений; сроки наблюдений; контрольные сроки передачи данных; количество пунктов наблюдений, входящих в один бюллетень; перечни пятизначных индексов пунктов наблюдений. 3.3.8.2. ГУ "Гидрометцентр России" совместно с ГУ "ГРМЦ" на основании предложений территориальных органов и ФГУ Росгидромета осуществляет подготовку проекта каталога метеобюллетеней, согласовывает его с УГМАВ и представляет его на утверждение в УГМК. Изменения в каталоги метеобюллетеней вносятся ежеквартально. 3.3.8.3. Территориальные органы и ФГУ Росгидромета представляют первого числа очередного квартала в ГУ "Гидрометцентр России" и ГУ "ГРМЦ" предложения по внесению изменений в каталог метеобюллетеней. 3.3.8.4. ГУ "Гидрометцентр России" и ГУ "ГРМЦ" в двухнедельный срок после получения предложений рассматривает и направляет согласованные с УГМАВ предложения о внесении изменений в каталог метеобюллетеней в УГМК. Изменения в каталог метеобюллетеней утверждаются начальником УГМК. При необходимости внесения изменений в списки станций Росгидромета, объявленные в публикации ВМО, представляется также перечень необходимых изменений в публикациях ВМО N 9, том С, часть 1 (Каталог метеорологических наблюдений), том А (Наблюдательные станции). Изменения в метеобюллетени, содержащие аэрологические данные, вносятся в соответствии с утвержденным Планом радиозондирования атмосферы на аэрологической сети Росгидромета. До утверждения изменений все метеобюллетени передаются в соответствии с действующим каталогом метеобюллетений. 3.3.8.5. ГУ "ГРМЦ" устанавливает дату и время введения в действие всех изменений в каталог метеобюллетеней и извещает об этом получателей информации за 10 дней до введения в действие изменений. Ответственным за организацию работ по ведению каталога метеобюллетеней является сотрудник УГМК. 3.3.9. В территориальном органе и ФГУ Росгидромета в рамках данной процедуры: функции структурных подразделений, ответственных за подготовку планов, осуществляют подразделения территориальных органов и ФГУ Росгидромета в соответствии с положениями об этих структурных подразделениях; ответственными сотрудниками по подготовке наблюдательным подразделениям плана-задания, составляемого на основе сводного задания, являются сотрудники структурных подразделений, на которых в соответствии с должностными регламентами (должностными инструкциями) возложены эти функции; ответственными сотрудниками по подготовке плана ведомственных инспекций пунктов наблюдений ФГУ Росгидромета (далее - план инспекций ФГУ Росгидромета) являются сотрудники структурных подразделений, на которых соответствии с должностными инструкциями возложены эти функции. План-задание наблюдательному подразделению включает следующие разделы: производство наблюдений в соответствии с программами наблюдений; информационная работа (сроки и вид представления материалов наблюдений в центры сбора данных); установка и сервисное обслуживание (поверка и ремонт) приборов и оборудования; административно-хозяйственные работы и отчетность (с указанием наименования материалов, адреса и сроков отправки); участие в мероприятиях по повышению квалификации; ремонт гидрометеорологических сооружений; смету расходов и штатно-окладное расписание; план снабжения. 3.3.9.1. Аэрологические наблюдения в пунктах наблюдений производятся в соответствии с Планом радиозондирования атмосферы на аэрологической сети Росгидромета и включаются также в план-задание с указанием программы радиозондирования атмосферы. 3.3.9.2. План-задание утверждается начальником ФГУ Росгидромета, доводится до пунктов наблюдений начальником соответствующего структурного подразделения в сроки, обеспечивающие их получение не позднее 1 января. На основе плана-задания начальником наблюдательного подразделения составляются и утверждаются месячные планы работ. В месячные планы включаются все виды гидрометеорологических наблюдений и работ, командировки (стажировки, инспекции и т.п.), проведение первичной обработки и технического контроля данных наблюдений, профилактический осмотр и уход за приборами, оборудованием (включая текущий ремонт), сроки отправки приборов на поверку, хозяйственные работы (включая подготовку к зиме, проведение санитарных мероприятий в служебном помещении и на территории пункта наблюдения, мелкие ремонтные работы и т.д.), ведение архива станции. 3.3.9.3. План инспекций ФГУ Росгидромета составляется с учетом требований законодательства Российской Федерации об обеспечении единства измерений и требований при проведении наблюдений за состоянием окружающей среды, сборе и распространении информации. В плане инспекций ФГУ Росгидромета указываются пункт и инспектируемый вид наблюдений, отдел (специалист), выполняющий инспекцию, продолжительность инспекции, источник финансирования и затраты на проведение инспекции. План инспекций ФГУ Росгидромета утверждается руководителем территориального органа и ФГУ Росгидромета в декабре года, предшествующего планируемому. В утвержденный план инспекций ФГУ Росгидромета вносятся изменения, необходимость которых вызвана обнаружением грубых нарушений методики производства наблюдений. 3.3.10. Схема осуществления планирования по обеспечению функционирования пунктов гидрометеорологических наблюдений, системы получения, сбора и распространения гидрометеорологической информации приведена в приложении N 3 к настоящему Административному регламенту. 3.4. Описание последовательности действий при осуществлении процедуры ведения учета программ и видов гидрометеорологических наблюдений 3.4.1. Юридическим фактом, являющимся основанием для осуществления процедуры ведения учета программ и видов гидрометеорологических наблюдений, является задание территориальным органам и ФГУ Росгидромета, утвержденное Руководителем Росгидромета. 3.4.2. В рамках действия по осуществлению процедуры ведения учета программ и видов гидрометеорологических наблюдений осуществляется формирование и централизованный статистический учет программ и видов гидрометеорологических наблюдений, осуществляемых в пунктах наблюдений. 3.4.3. В центральном аппарате Росгидромета в рамках данной административной процедуры: ответственным структурным подразделением, осуществляющим сводный учет по программам и видам гидрометеорологических наблюдений государственной и ведомственной наблюдательной сети, является УГМК; ответственным исполнителем по приему, учету и хранению оригиналов учетных документов по пунктам гидрометеорологических наблюдений государственной наблюдательной сети на бумажных носителях является сотрудник УГМК; ответственным сотрудником по обеспечению функционирования автоматизированной системы учета программ и видов пунктов государственной наблюдательной сети является сотрудник УГМК; ответственным сотрудником по подготовке данных ведомственной статистической отчетности по программам и видам гидрометеорологических наблюдений государственной и ведомственной наблюдательной сети является сотрудник УГМК; 3.4.4. В территориальных органах и ФГУ Росгидромета в рамках данной административной процедуры: функции структурных подразделений, ответственных за ведение учета по программам и видам наблюдений государственной и ведомственной наблюдательных сетей по территории своей деятельности, осуществляют структурные подразделения территориальных органов и ФГУ Росгидромета в соответствии с положениями об этих структурных подразделениях; ответственным сотрудником по оформлению учетных документов пунктов наблюдений государственной наблюдательной сети для направления оригиналов в Росгидромет и их копий в ГУ "ВНИИГМИ-МЦД" являются сотрудники, на которых должностными регламентами (должностными инструкциями) возложены эти обязанности; ответственными сотрудниками за ведение учета пунктов наблюдений государственной наблюдательной сети по видам наблюдений являются сотрудники НИУ Росгидромета, на которых должностными инструкциями возложены эти обязанности; ответственным сотрудником по взаимодействию с ФГУ Росгидромета и ведению автоматизированной системы учета пунктов наблюдений государственной и ведомственной наблюдательных сетей по программам и видам наблюдений, а также представлению ежеквартальных и годовых данных в Росгидромет, является сотрудник ГУ "ВНИИГМИ-МЦД", на которого должностной инструкцией возложены эти обязанности. 3.4.5. Административная процедура по ведению учета программ и видов гидрометеорологических наблюдений осуществляется постоянно в соответствии с приведенной в приложении N 4 к настоящему Административному регламенту схемой. 3.5. Описание последовательности действий при осуществлении процедуры получения гидрометеорологической информации 3.5.1. Юридическим фактом осуществления процедуры получения гидрометеорологической информации является утвержденное план-задание по пункту наблюдений. 3.5.2. Система получения данных о состоянии окружающей среды обеспечивает выполнение различных видов наблюдений в пунктах наблюдений, расположенных на суше и на море, на стационарных и подвижных платформах, методами точечных измерений, визуальных наблюдений или пространственного зондирования. Получение данных осуществляется путем проведения наблюдений с учетом обеспечения единства измерений и однородности рядов наблюдений, соблюдения методик выполнения наблюдений, а также требований по размещению пунктов наблюдений, обеспечению режима работы в охранных зонах вокруг пунктов наблюдений, а также требований к эксплуатации технических средств и установок. 3.5.3. В центральном аппарате Росгидромета в рамках данной административной процедуры ответственным структурным подразделением по контролю за выполнением планов наблюдений является УГМК. 3.5.4. В территориальных органах и ФГУ Росгидромета в рамках данной административной процедуры: ответственным сотрудником по выполнению планов наблюдений (всех видов) является начальник наблюдательного подразделения под методическим и техническим руководством отделов наблюдательной сети (далее - ОНС), служб средств измерений (далее - ССИ), служб автоматизированной системы передачи информации (далее - САСПД) ФГУ Росгидромета; ответственными исполнителями по осуществлению первичной обработки результатов наблюдений, первичному техническому контролю и оперативной передаче информации, в том числе об обнаруженных опасных природных явлениях, резких изменениях погоды, в сроки, объемах и в порядке, установленных в плане-задании пункта наблюдений, является сотрудник наблюдательного подразделения в соответствии с должностной инструкцией; ответственным исполнителем по осуществлению критического (смыслового) контроля являются специалисты ФГУ Росгидромета, осуществляющие обработку данных гидрометеорологических наблюдений; ответственным исполнителем по осуществлению технического и метрологического обеспечения наблюдений в пунктах гидрометеорологических наблюдений государственной наблюдательной сети являются сотрудники ССИ ФГУ Росгидромета, на которых в соответствии с должностной инструкцией возложено выполнение этих работ. 3.5.5. Основными формами контроля полноты получения и достоверности результатов наблюдений являются первичный технический и критический (смысловой) контроль. Первичный технический контроль заключается в проверке правильности оформления записи результатов наблюдений и вычислений, производимых при преобразовании первичных данных (определение поправок к отсчетам, получение значений гидрометеорологических величин с использованием вспомогательных таблиц и графиков), а также в проверке правильности обработки записей регистраторов и кодирования результатов наблюдений в установленных форматах сообщений. Критический (смысловой) контроль заключается в проверке данных наблюдений на соответствие их реальным значениям, а также с учетом результатов автоматизированного контроля информации. По результатам проверки направляется заключение по качеству и полноте данных наблюдений в пункты наблюдений и предложения для принятия соответствующих мер. 3.5.6. Техническое и метрологическое обеспечение наблюдений в пунктах гидрометеорологических наблюдений государственной наблюдательной сети осуществляется в соответствии с требованиями законодательства об обеспечении единства измерений. Метрологическое обеспечение наблюдений осуществляется путем установления и применения научных основ, технических средств, правил и норм, необходимых для достижения единства и требуемой точности данных о состоянии окружающей среды. Техническое и метрологическое обеспечение, в том числе ведомственный метрологический контроль в пунктах наблюдений, включает в себя: разработку планов оснащения пунктов наблюдений новыми средствами измерения (СИ); внедрение новых СИ, автоматизированных комплексов и автоматических станций в соответствии с планами технического оснащения; выполнение планового и внепланового ремонта СИ, других технических средств, проведение регламентных работ в пунктах наблюдений; разработку ведомственных и локальных поверочных схем; разработку нормативно-технической документации на методику поверки; поверку используемых в пунктах наблюдений рабочих СИ и измерительных комплексов, а также поверку эталонных СИ в соответствии с установленными межповерочными интервалами; присвоение разряда образцовым средствам измерений; обучение поверителей на курсах повышения квалификации и семинарах. В процессе поверки используются технические средства: эталоны, образцовые средства, поверочные установки и вспомогательные устройства. Неисправные средства измерения изымаются из употребления. 3.5.7. Для получения согласованных результатов наблюдений в странах - членах ВМО за переменными гидрометеорологическими характеристиками, СИ которых не имеют абсолютных образцов (эталонов), Росгидромет принимает участие в периодически проводимых в рамках ВМО взаимных сравнениях приборов и наблюдательных систем на следующих уровнях: международные сравнения; региональные взаимные сравнения; многосторонние и двусторонние взаимные сравнения; национальные взаимные сравнения внутри Российской Федерации. 3.5.8. В связи с большим разнообразием наблюдаемых характеристик, определяющих состояние окружающей среды, различием измеряемых величин, точности и частоты их измерения, периодов осреднения, а также из-за особенностей применения технических средств наблюдений, наблюдательные сети классифицируются по видам наблюдений, приведенным в приложении N 5 к настоящему Административному регламенту. 3.5.9. Выполнение процедуры осуществляется постоянно, и ответственными за ее выполнение являются руководители территориальных органов, ФГУ Росгидромета, их структурных и обособленных подразделений наблюдательной сети. 3.6. Описание последовательности действий при осуществлении процедуры выполнения методического руководства наблюдениями за состоянием окружающей среды, получением, сбором и распространением гидрометеорологической информации 3.6.1. Юридическими фактами осуществления процедуры методического руководства наблюдениями за состоянием окружающей среды, получением, сбором и распространением гидрометеорологической информации (далее - методическое руководство) являются: план инспекций НИУ Росгидромета в рамках работ по научно-методическому руководству государственной наблюдательной сетью; план инспекций ФГУ Росгидромета в рамках работ по оперативно-методическому руководству государственной наблюдательной сетью. 3.6.2. Основной целью методического руководства является обеспечение единства, сопоставимости методов и качества наблюдений за состоянием окружающей среды, сбора и распространения полученной в результате наблюдений информации. 3.6.3. В центральном аппарате Росгидромета в рамках данной административной процедуры: ответственным структурным подразделением по контролю выполнения плана ведомственных инспекций НИУ Росгидромета является УГМК; ответственным исполнителем по контролю за соблюдением сроков проведения проверок, подготовки сводного отчета по результатам проверок и заключения о работе наблюдательной сети, а также подготовку предложений по внесению изменений в план инспекций НИУ Росгидромета, является сотрудник УГМК. 3.6.4. В территориальных органах и ФГУ Росгидромета в рамках данной административной процедуры: функции структурных подразделений, ответственных за осуществление методического руководства, осуществляют структурные подразделения ФГУ Росгидромета в соответствии с положениями об этих структурных подразделениях; ответственными сотрудниками по проведению ведомственных инспекций, подготовке акта проверки и представлению отчета о выполнении плана ведомственных инспекций являются сотрудники, назначаемые приказом руководителя ФГУ Росгидромета; ответственными сотрудниками по осуществлению контроля за устранением недостатков, отмеченных в акте проверки, являются сотрудники ФГУ Росгидромета, на которых в соответствии с должностными инструкциями возложены эти функции. 3.6.5. При осуществлении методического руководства НИУ Росгидромета также осуществляются: подготовка разъяснений, рекомендаций по отдельным видам наблюдений и работ, направление их в территориальные органы и ФГУ Росгидромета; переписка с территориальными органами и ФГУ Росгидромета по вопросам производства наблюдений и работ, контроля и передачи данных. 3.6.6. Методическое руководство осуществляется путем проведения научно-методических и оперативно-методических инспекций НИУ и ФГУ Росгидромета. Ведомственные инспекции осуществляются как в плановом, так и во внеплановом порядке, при этом их продолжительность не должна превышать один месяц. Решением руководителя территориального органа и ФГУ Росгидромета, подписавшего приказ о проведении ведомственной инспекции, срок может быть продлен в случае, когда необходимо проведение дополнительных мероприятий. Плановые ведомственные инспекции осуществляются не реже одного раза в пять лет. Внеплановые ведомственные инспекции проводятся в случаях обнаружения фактов ухудшения качества наблюдений, уменьшения объема информации или ее отсутствия, установленных в результате мониторинга полноты и качества данных наблюдений. 3.6.7. При проведении инспекции НИУ Росгидромета, головных по видам наблюдений, должностное лицо (должностные лица) осуществляет проверку: состояния выполнения плана наблюдений и работ; соблюдения методик выполнения измерений, технологий, нормативных документов; состояния пунктов наблюдений, а также технических средств и установок, квалификации персонала; обеспечения методического и технического руководства наблюдательными пунктами со стороны ФГУ Росгидромета. По результатам проведения инспекции НИУ Росгидромета осуществляется: оценка репрезентативности пунктов наблюдений, сохранения однородности рядов наблюдений, качества наблюдений и работ, а также разработка мер по устранению имеющихся недостатков; подготовка и направление в территориальные органы и ФГУ Росгидромета годовых заключений о состоянии наблюдений и работ на наблюдательной сети с необходимыми рекомендациями. Перечень НИУ Росгидромета по закрепленным видам наблюдений представлен в приложении N 6 к настоящему Административному регламенту. 3.6.8. Территориальные органы и ФГУ Росгидромета осуществляют оперативно-методическое руководство пунктами наблюдений по территории их деятельности. План инспекций утверждается руководителями территориальных органов и ФГУ Росгидромета по территории их деятельности. При проведении ведомственной оперативно-методической инспекции территориальными органами и ФГУ Росгидромета должностное лицо (должностные лица) осуществляет: контроль за выполнением требований нормативных документов, проведением эксплуатационных испытаний новых методов и технических средств наблюдений (измерений); контроль полноты и качества оперативной информации, включая замечания служб АСПД и оперативных прогностических подразделений, устранение причин, вызвавших появление недостоверной информации; оценку соответствия объема выполняемых наблюдений требованиям нормативно-методических документов Росгидромета, утвержденному плану-заданию наблюдательному пункту, выявление пропусков в наблюдениях и учет их продолжительности; выборочный контроль книжек для записи результатов; контроль сроков поступления материалов наблюдений для занесения на технические носители и своевременности их обработки; контроль подготовки данных для автоматизированной обработки; выполнение критического контроля результатов наблюдений; составление заключений по итогам проверок результатов наблюдений и их обработки; оценку работы пунктов наблюдений, ведение учета оценок и качества работы пунктов наблюдений; контроль соблюдения сроков подачи оперативной информации по данным АСПД, журналам оперативных, в том числе штормовых, сообщений, а также по результатам методических инспекций; регулярную проверку полноты и качества оперативных сообщений, включая штормовые; учет допущенных ошибок в информации; оценку информационной работы (план и качество) пунктов наблюдений; внедрение новых средств измерений, автоматизированных комплексов и автоматических станций в соответствии с планами технического оснащения; контроль состояния СИ в пунктах наблюдений путем сбора и анализа сведений об их наличии и исправности; внедрение в пунктах наблюдений новых методических и руководящих документов, регламентирующих производство наблюдений, обработку и контроль; поверку используемых в пунктах наблюдений рабочих СИ и измерительных комплексов; контроль за соблюдением размеров и закреплением границ охранных зон вокруг пунктов наблюдений; контроль за соблюдением режима ограничения хозяйственной деятельности в пределах охранной зоны, которая может отразиться на достоверности информации о состоянии окружающей среды. 3.6.9. По результатам проведения инспекции должностное лицо, осуществляющее инспекцию, составляет акт по форме, приведенной в приложениях N 7 и N 8 к настоящему Административному регламенту. В акте должны указываться сведения об ознакомлении или об отказе в ознакомлении с актом представителя проверяемого территориального органа или ФГУ Росгидромета, а также лиц, присутствующих при проведении инспекции, их подписи или отметка об отказе от подписи. Акт по результатам инспекции представляется должностным лицом (руководителем инспекции), осуществляющим инспекцию, руководителю территориального органа или ФГУ Росгидромета в трехдневный срок после подписания его проверяемым. В недельный срок после утверждения руководителем НИУ Росгидромета акт представляется в Росгидромет. 3.6.10. Сводный отчет за год о выполнении плана инспекций НИУ Росгидромета с предложениями и рекомендациями по устранению выявленных недостатков НИУ Росгидромета, головных по видам наблюдений, представляются в Росгидромет в первом квартале года, следующего за отчетным годом. После рассмотрения его Росгидрометом сводный отчет направляется в территориальные органы и ФГУ Росгидромета для принятия мер по устранению недостатков в работе пунктов наблюдений. 3.6.11. Методическое руководство ФГУ Росгидромета по сбору и распространению информации осуществляет ГУ "ГРМЦ" и ГУ "Гидрометцентр России". 3.6.12. Административная процедура методического руководства наблюдениями за состоянием окружающей среды, получением, сбором и распространением гидрометеорологической информации осуществляется постоянно в соответствии со схемой, представленной в приложении N 9 к настоящему Административному регламенту. 3.7. Описание последовательности действий при осуществлении процедуры охраны пунктов наблюдений 3.7.1. Юридическим фактом начала осуществления процедуры по охране пунктов наблюдений государственной наблюдательной сети является принятие решения о создании пункта наблюдений. 3.7.2. В центральном аппарате Росгидромета в рамках данной административной процедуры: ответственным структурным подразделением по контролю за выполнением мероприятий по охране пунктов наблюдений государственной наблюдательной сети является УГМК; ответственным исполнителем, осуществляющим координацию работ по закреплению выделенных в соответствии с законодательством Российской Федерации земельных участков и охранных зон вокруг пунктов наблюдений, а также ведению реестра земельных участков является сотрудник УПФ; ответственным исполнителем по контролю за установлением охранных зон вокруг пунктов наблюдений и соблюдению режима хозяйственной деятельности в их пределах является сотрудник УГМК. 3.7.3. В территориальных органах и ФГУ Росгидромета в рамках данной административной процедуры: функции структурного подразделения, ответственного за организацию работ по обеспечению охраны пунктов наблюдений, выполняет отдел сети территориального органа и ФГУ Росгидромета по территории деятельности; ответственными за разработку и утверждение схем размещения пунктов наблюдений являются руководители территориальных органов и ФГУ Росгидромета; ответственными сотрудниками по оформлению закрепления выделенных земельных участков и установлению охранных зон стационарных пунктов наблюдений в соответствии с законодательством Российской Федерации являются сотрудники, на которых должностными регламентами (должностными инструкциями) возложены эти функции. 3.7.4. Действие по обеспечению охраны пунктов наблюдений включает в себя: разработку схем размещения пунктов наблюдений, определяющих местоположение стационарных пунктов наблюдений всех видов, согласование их с НИУ Росгидромета, головным по видам наблюдений, и утверждение; подготовку, согласование с соответствующими органами исполнительной власти субъектов Российской Федерации и получение правоустанавливающих документов на земельные участки (свидетельств о государственной регистрации права постоянного (бессрочного) пользования) в соответствии с законодательством Российской Федерации; оформление в соответствии с законодательством Российской Федерации закрепления охранных зон, действующих и вновь открываемых стационарных пунктов наблюдений (обозначение их на генеральных планах населенных пунктов и на местности); обеспечение соблюдения в пределах охранных зон стационарных пунктов наблюдений ограничений на хозяйственную деятельность. 3.7.5. В целях получения достоверной информации о состоянии окружающей среды вокруг стационарных пунктов наблюдений (кроме метеорологического оборудования, устанавливаемого на аэродромах) создаются охранные зоны в виде земельных участков и частей акваторий, ограниченных на плане местности замкнутой линий, отстоящей от границ этих участков на расстоянии, как правило, 200 метров во все стороны. 3.7.6. Разработка схем размещения пунктов наблюдений включает в себя подготовку перечней, графической схемы размещения стационарного пункта наблюдения и охранной зоны вокруг него. Размеры и границы охранных зон стационарных пунктов наблюдений определяются в зависимости от рельефа местности и других условий (в зависимости от вида пункта наблюдений, сложившейся застройки вокруг пункта наблюдений и требований к обеспечению достоверности данных наблюдений). 3.7.7. На основании утвержденных схем размещения стационарных пунктов наблюдений осуществляется взаимодействие ответственных работников ФГУ Росгидромета с органами исполнительной власти субъектов Российской Федерации. При взаимодействии решаются вопросы согласования выделения земельных участков для пунктов наблюдений, проведения в соответствии с земельным законодательством Российской Федерации необходимых мероприятий по их закреплению в федеральной собственности, установления границ охранных зон пунктов наблюдения. 3.7.8. В случае обнаружения нарушений режима охранных зон вокруг стационарных пунктов наблюдений и их уничтожении, повреждении или сносе руководители территориальных органов Росгидромета и их заместители составляют протокол об административном правонарушении и рассматривают дела об административных правонарушениях в соответствии с Кодексом Российской Федерации об административных правонарушениях. 3.8. Описание последовательности действий при осуществлении процедуры сбора и распространения гидрометеорологической информации 3.8.1. Юридическими фактами осуществления процедуры сбора и распространения гидрометеорологической информации являются: каталог метеобюллетеней; планы информационной работы пункта наблюдений; договор на предоставление услуг по передаче данных. 3.8.2. В центральном аппарате Росгидромета в рамках данной административной процедуры: ответственным структурным подразделением по обеспечению ведения каталога метеобюллетеней является УГМК; ответственным исполнителем по контролю за выполнением плана сбора и распространения данных наблюдений, подготовку аналитических материалов по поступлению данных в информационно-телекоммуникационную сеть Росгидромета является сотрудник УГМАВ; ответственным исполнителем по подготовке предложений о внесении изменений в каталог метеобюллетеней и представление их на утверждение является сотрудник УГМК; 3.8.3. В территориальных органах и ФГУ Росгидромета в рамках данной административной процедуры: функции структурного подразделения, ответственного за ведение каталога метеобюллетеней, выполняют отделы информации ГУ "Гидрометцентр России" и ГУ "ГРМЦ"; ответственными сотрудниками по проведению анализа поступления данных наблюдений, подготовке предложений, согласованию с ГУ "ГРМЦ" и УГМАВ, представлению изменений в каталог метеобюллетеней в УГМК на утверждение, являются сотрудники ГУ "Гидрометцентр России", на которых должностными инструкциями возложены эти обязанности; функции структурного подразделения, ответственного за обеспечение функционирования информационно-телекоммуникационной сети Росгидромета, выполняет ГУ "ГРМЦ"; ответственными исполнителями по сбору и распространению информации, ведению электронной версии каталога метеобюллетеней являются сотрудники ГУ "ГРМЦ", на которых должностными инструкциями возложены эти обязанности; функции структурного подразделения, ответственного за сбор данных наблюдений, комплектование метеобюллетеней и передачу их в информационно-телекоммуникационную сеть Росгидромета, выполняют службы АСПД ФГУ Росгидромета; ответственным сотрудником за выполнение плана информационной работы пункта наблюдений является начальник наблюдательного подразделения ФГУ Росгидромета. 3.8.4. Выполнение действий по сбору и распространению информации осуществляется в рамках информационно-телекоммуникационной сети Росгидромета. Топология информационно-телекоммуникационной сети Росгидромета приведена в приложении N 10 к настоящему Административному регламенту. 3.8.5. Сбор информации обеспечивается через адресную передачу сообщений (сводок) в кодовой форме с пунктов наблюдений по сети связи общего пользования (телефонная, телеграфная связь, абонентский телеграф, сотовая связь и пр.), а также по ведомственным сетям проводной связи и радиосвязи в центры сбора данных ФГУ Росгидромета. Указатели видов информации для сводок, поступающих от наблюдательной сети, приведены в приложении N 11 к настоящему Административному регламенту. 3.8.6. Распространение данных наблюдений обеспечивается через доставку первичной информации в кодовой форме максимально эффективным и доступным способом (данные наблюдений в виде скомплектованных метеобюллетеней) в системы обработки, а также передачу информации на рабочие места получателей информации. Форма распространения данных наблюдений представлена в приложениях N 12-13 к настоящему Административному регламенту. При осуществлении указанной процедуры в рамках настоящего Административного регламента абонентами информационно-телекоммуникационной сети Росгидромета являются локальные вычислительные сети и автоматизированные рабочие места специалистов, к которым подключены серверы и автоматизированные рабочие места сотрудников ФГУ Росгидромета. Кроме того, сеть обеспечивает доступ к гидрометеорологической информации различных внешних абонентов (ВСП ВМО и других получателей информации) в установленном настоящим Административным регламентом порядке. 3.8.7. Распространение данных наблюдений, в зависимости от объема запрашиваемой информации и технического оснащения получателей информации, осуществляется при подключении их к следующим сетям: транспортной корпоративной компьютерной сети (ТККС) МЕКОМ по каналам АСПД Росгидромета; системе циркулярного распространения информации через каналы спутникового вещания (СЦРИ); интерфейсу с сетью Интернет. Распространение данных гидрометеорологических наблюдений осуществляется по мере поступления их в информационно-телекоммуникационную сеть Росгидромета, а также по запросу получателя информации из оперативной базы данных или банка данных. Нумерация пунктов приводится в соответствии с источником 3.8.9. Административная процедура по сбору и распространению гидрометеорологической информации осуществляется постоянно в соответствии с приведенной в приложении N 14 к настоящему Административному регламенту схемой. 3.9. Получение и анализ информации о состоянии выполнения планов наблюдений и работ за состоянием окружающей среды, получением, сбором и распространением гидрометеорологической информации 3.9.1. Юридическим фактом, являющимся основанием для исполнения процедуры получения и анализа информации о состоянии выполнения планов наблюдений и работ за состоянием окружающей среды, получением, сбором и распространением гидрометеорологической информации, являются утверждение: плана основных мероприятий Росгидромета; плана работы коллегии Росгидромета. 3.9.2. В целях обеспечения максимальной полноты получения, сбора и распространения гидрометеорологической информации осуществляется постоянный мониторинг выполнения планов наблюдений за состоянием окружающей среды, сбора и распространения гидрометеорологической информации. 3.9.3. В центральном аппарате Росгидромета в рамках данной административной процедуры: ответственным структурным подразделением, осуществляющим постоянный мониторинг выполнения планов наблюдений за состоянием окружающей среды, является УГМК; ответственным структурным подразделением, осуществляющим постоянный мониторинг выполнения планов сбора и распространения данных наблюдений, является УГМАВ; ответственными исполнителями по анализу состояния производства наблюдений и подготовке информации о выполнении планов гидрометеорологических наблюдений являются сотрудники УГМК; ответственным исполнителем по анализу состояния сбора и распространения данных наблюдений, подготовке информации о выполнении планов сбора и распространения данных наблюдений является сотрудник УГМАВ; 3.9.4. В территориальных органах и ФГУ Росгидромета в рамках данной административной процедуры: функции структурных подразделений, ответственных за подготовку и представление в Росгидромет информации о состоянии выполнения планов наблюдений, сбора и распространения гидрометеорологической информации, осуществляют структурные подразделения территориальных органов и ФГУ Росгидромета в соответствии с положениями об этих структурных подразделениях; ответственными сотрудниками по осуществлению учета, контроля, анализа своевременности и полноты обмена информацией, подготовки аналитических материалов по территории деятельности являются сотрудники ФГУ Росгидромета, на которых в соответствии с должностными инструкциями возложены эти обязанности; ответственными сотрудниками по обеспечению анализа полноты и своевременности поступления и распространения данных наблюдений, представление в Росгидромет ежемесячных, ежеквартальных и годовых статистических сведений о состоянии сбора и распространения информации являются сотрудники ГУ "ГРМЦ", на которых в соответствии с должностными инструкциями возложены эти обязанности; ответственными сотрудниками по обеспечению анализа качества поступающих данных наблюдений являются сотрудники ГУ "Гидрометцентр России", на которых в соответствии с должностными инструкциями возложены эти обязанности. 3.9.5. Сводный анализ сведений о выполнении планов наблюдений за состоянием окружающей среды, получения, сбора и распространения гидрометеорологической информации производится Отделом наблюдательной сети и территориальных органов УГМК совместно с УГМАВ. Результаты анализа и предложения по улучшению работы пунктов наблюдений ежемесячно, ежеквартально рассматриваются на заседании коллегии Росгидромета. 3.9.6. Административная процедура получения и анализа информации о состоянии выполнения наблюдений за состоянием окружающей среды, получением, сбором и распространением гидрометеорологической информации осуществляется постоянно в соответствии с приведенной в приложении N 15 к настоящему Административному регламенту схемой осуществления административной процедуры. IV. Порядок и формы контроля за исполнением государственной функции4.1. Текущий контроль за соблюдением последовательности действий, определенных Административным регламентом, осуществляется заместителем руководителя Росгидромета, курирующим структурные подразделения, ответственные за исполнение государственной функции. 4.2. Текущий контроль осуществляется путем проведения заместителем руководителя Росгидромета проверок соблюдения и исполнения должностными лицами Административного регламента. 4.3. Должностные лица, ответственные за исполнение государственной функции, несут персональную ответственность за соблюдение порядка исполнения государственной функции. 4.4. Персональная ответственность должностных лиц управлений центрального аппарата, ответственных за исполнение государственной функции, закрепляется в их должностных регламентах в соответствии с требованиями законодательства. 4.5. Должностными лицами, осуществляющими текущий контроль, являются начальник и заместитель начальника УГМК, начальник отдела наблюдательной сети и территориальных органов УГМК, заместитель начальника УГМАВ. 4.6. Текущий контроль осуществляется путем проведения должностным лицом, ответственным за организацию работы по исполнению государственной функции, проверок соблюдения и исполнения специалистами положений Административного регламента, иных нормативных правовых актов Российской Федерации, а также в период проведения ведомственных инспекций организаций и подразделений наблюдательной сети. Периодичность осуществления текущего контроля устанавливается руководителем Росгидромета и территориального органа Росгидромета. 4.7. Центральный аппарат организует и осуществляет контроль за исполнением государственной функции территориальными органами и ФГУ Росгидромета. Контроль за полнотой и качеством исполнения государственной функции включает в себя проведение проверок, выявление и устранение нарушений прав заявителей, рассмотрение, принятие решений и подготовку ответов на обращения заявителей, содержащих жалобы на действия (бездействие) должностных лиц центрального аппарата, территориальных органов и ФГУ Росгидромета. По результатам проведенных проверок в случае выявления нарушений прав заявителей виновные лица привлекаются к ответственности в порядке, установленном законодательством Российской Федерации. 4.8. Проверки могут быть плановыми (осуществляться на основании годовых планов работы Росгидромета) и внеплановыми. При проведении проверки могут рассматриваться все вопросы, связанные с исполнением государственной функции (комплексные проверки), или вопросы, связанные с исполнением той или иной административной процедуры (тематические проверки). Проверка также может проводиться по конкретному обращению заявителя. По результатам проведенных проверок в случае выявления нарушений прав заявителей виновные лица привлекаются к ответственности в порядке, установленном законодательством Российской Федерации. V. Порядок обжалования действия (бездействия) должностного лица, а также принимаемого им решения при исполнении государственной функции5.1. Заявитель вправе обжаловать действия (бездействия) и решения должностных лиц Росгидромета, осуществляемые (принятые) в ходе исполнения государственной функции. 5.2. Порядок обжалования действия и решений, принятых в ходе исполнения функции, выполняется в соответствии с административным и трудовым законодательством Российской Федерации и установленным порядком в системе Росгидромета. 5.3. Заявления и жалобы направляются в Росгидромет, а на деятельность должностных лиц - руководителю Росгидромета. 5.4. Порядок обжалования включает: прием и регистрацию заявлений, жалоб, предложений и т.п.; определение органа или должностного лица для рассмотрения и выявления причин возникновения заявления, жалобы; анализ причин, приведших к возникновению заявления, жалобы; подготовка заключения (решения) о степени виновности (невиновности) ответственного должностного лица; доведение принятых решений по факту действия (бездействия) до заявителя. 5.5. Заявитель вправе обратиться лично или в письменной форме, или по информационной системе общего пользования. Обращение, полученное по информационной системе общего пользования, рассматривается в том же порядке, что и письменное обращение. 5.6. Заявитель может сообщить о нарушении своих прав и законных интересов, противоправных решениях, действиях или бездействии должностных лиц Росгидромета и территориальных органов Росгидромета, нарушении положений Административного регламента, некорректном поведении или нарушении служебной этики: по номерам телефонов, содержащимся в разделе 4 Административного регламента; по сети Интернет и по электронной почте органов, исполняющих государственную функцию. 5.7. Заявитель в письменном обращении в обязательном порядке указывает либо наименование органа, в который направляет письменное обращение, либо фамилию, имя, отчество соответствующего должностного лица, либо должность соответствующего должностного лица, а также свои фамилию, имя, отчество (последнее - при наличии), почтовый адресу по которому должен быть направлен ответ или уведомление о переадресовании обращения, излагает суть предложения, заявления или жалобы, ставит личную подпись и дату. Дополнительно в обращении могут быть также указаны: обстоятельства, на основании которых заявитель считает, что нарушены его права, свободы и законные интересы, созданы препятствия для их реализации; иные сведения, которые заявитель считает необходимым сообщить. В случае необходимости в подтверждение своих доводов заявитель прилагает к письменному обращению документы и материалы либо их копии. 5.8. Если в письменном обращении не были указаны фамилия заявителя, направившего обращение, и почтовый адрес, по которому должен быть направлен ответ, ответ на обращение не дается. Центральный аппарат (управление) при получении письменного обращения, в котором содержатся нецензурные либо оскорбительные выражения, угрозы жизни, здоровью и имуществу должностного лица, а также членов его семьи, вправе оставить обращение без ответа по существу поставленных в нем вопросов и сообщить заявителю, направившему обращение, о недопустимости злоупотребления правом. Если текст письменного обращения не поддается прочтению, ответ на обращение не дается, о чем сообщается заявителю, направившему обращение, если его фамилия и почтовый адрес поддаются прочтению. Если ответ по существу поставленного в обращении вопроса не может быть дан без разглашения сведений, составляющих государственную или иную охраняемую федеральным законом тайну, заявителю, направившему обращение, сообщается о невозможности дать ответ по существу поставленного в нем вопроса в связи с недопустимостью разглашения указанных сведений. Если причины, по которым ответ по существу поставленных в обращении вопросов не мог быть дан, в последующем были устранены, заявитель вправе вновь направить обращение в Росгидромет (управление) или к соответствующему должностному лицу Росгидромета (управления). 5.9. Обращение, в котором обжалуется судебное решение, возвращается гражданину, направившему обращение, с разъяснением порядка обжалования данного судебного решения. 5.10. Письменная жалоба должна быть рассмотрена в течение 30 дней с момента ее регистрации. 5.11. Если в результате рассмотрения жалоба признана обоснованной, то в соответствии с законодательством Российской Федерации руководителем Росгидромета принимается решение о привлечении к ответственности должностного лица, ответственного за действия (бездействия) и решения, осуществляемые (принятые) в ходе исполнения государственной функции на основании Административного регламента и повлекшие за собой жалобу заявителя. 5.12. Если в ходе рассмотрения жалоба признана необоснованной, заявителю направляется сообщение о результатах рассмотрения жалобы с указанием причин, почему она признана не обоснованной. 5.13. Все обращения об обжаловании действий (бездействий) и решений должностных лиц Росгидромета, осуществляемых (принятых) в ходе исполнения государственной функции на основании Административного регламента, фиксируются в журнале обращений. Ведение журнала обращений осуществляет ОПУ. В журнале указывается информация о: принятых решениях; проведенных действиях по предоставлению сведений и (или) применении административных мер ответственности к должностному лицу, ответственному за действия (бездействие) и решения, принятые в ходе исполнения государственной услуги, повлекшие за собой жалобу заявителя. 5.14. Обращения считаются разрешенными, если рассмотрены все поставленные в них вопросы, приняты необходимые меры и даны письменные ответы. 5.15 Действия и решения, принятые в ходе рассмотрения жалобы, могут быть обжалованы в Росгидромете или в суде общей юрисдикции и арбитражном суде в соответствии с законодательством Российской Федерации. _____________________________ * Федеральный закон "О связи" от 07.07.2003 N 126-ФЗ (пункт 3 статьи 18) Приложение 1
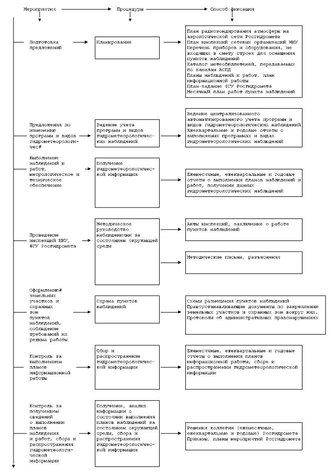
Блок-схема административных процедур исполнения государственной функции по обеспечению функционирования на территории Российской Федерации пунктов гидрометеорологических наблюдений и системы получения, сбора и распространения гидрометеорологической информации. Приложение 2Форма плана инспекций сетевых организаций в рамках работ НИУ по научно-методическому руководству на ______ год
Приложение 3Росгидромет
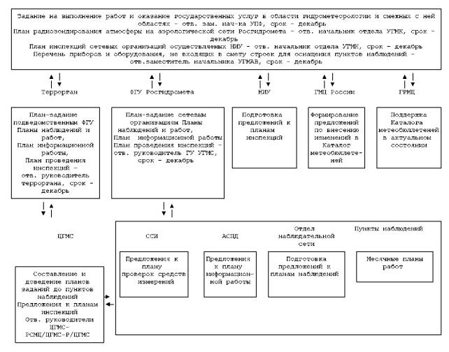
Схема выполнения административной процедуры планирования Приложение 4
Схема выполнения административной процедуры ведения учета программ и видов гидрометеорологических наблюдений Приложение 5Структура наблюдательных сетей по видам наблюдений- авиаметеорологические; - агрометеорологические; - актинометрические; - аэрологические (радиозондирование); - воднобалансовые; - гелиогеофизические; - гидрологические на болотах; - гидрологические на реках и каналах; - гидрометеорологические на озерах и водохранилищах; - гляциологические; - ионосферные; - магнитные; - метеорологические; - метеорологические радиолокационные (МРЛ) - морские гидрометеорологические (в прибрежной зоне, в устьевой части рек, в открытой части, включая морскую судовую и экспедиционную сети); - селестоковые; - снеголавинные; - озонометрические; - теплобалансовые; - за атмосферным электричеством; - за испарением с поверхности воды, почвы, снега. Приложение 6Список
| |||||||||||||||||||||||||||||||||||||||||||||||||||||||||||||||||||||||||||||||||||||||||||||||||||||||||||||||||||||||||||||||||||||||||||||||||||||||||||||||||||||||||||||||||||||||||||||||||||||||||||||||||||||||||||||||||||||||||||||||||||||||||||||||||||||||||||||||||||||||||||||||||||||||||||||||||||||||||||||||||||||||||||||||||||||||||||||||||||||||||||||||||||||||||||||||||||||||||||||||||||||||||||||||||||||||||||||||||||||||||||||||||||||||||||||||||||||||||||||||||||||||||||||||||||||||||||||||||||||||||||||||||||||||||||||||||||||||||||||||||||||||||||||||||||||||||||||||||||||||||||||||||||||||||||||||||||||||||||||||||||||||||||||||||||||||||||||||||
|
N п/п |
Наименование НИУ и ее реквизиты |
Виды наблюдений и работ |
|
1 |
Государственное учреждение "Арктический и антарктический Научно-исследовательский институт" (ГУ "ААНИИ") Почтовый адрес: 199397 г. Санкт-Петербург, ул. Беринга, д. 38 Телеграфный адрес: САНКТ-ПЕТЕРБУРГ ААНИИ AT, телекс: 122493 SNEG, 321669 NILAS Код города: 812 Факс: 352-26-88 Электронная почта: aaricoop@aari.nw.ru Интернет: http://www.aari.nw.ru |
Все виды наблюдений в Арктике (кроме загрязнений окружающей среды) и Антарктике, в том числе ледовые наблюдения в морских устьях рек, на реках и озерах арктической зоны; функции УГМС в Антарктиде. Сбор экстренной гидрометеорологической информации общего назначения по районам Арктики и Антарктики, в том числе с автономных пунктов приема спутниковой информации |
|
2 |
Государственное учреждение "Высокогорный геофизический институт" (ГУ "ВГИ") Почтовый адрес: 360030 Кабардино-Балкарская Республика, г. Нальчик, пр. Ленина, д. 2 Телеграфный адрес: НАЛЬЧИК-30 ГРАД AT, телекс: 257211 ЛАВИНА Код города: 8662 Факс: 47-00-24 Электронная почта: vgikbr@rambler.ru Интернет: http://www.vgi.stikhiya.ru |
Снеголавинные, селестоковые и гляциологические наблюдения |
|
3 |
Государственное учреждение "Всероссийский научно-исследовательский институт гидрометеорологической информации - мировой центр данных" (ГУ "ВНИИГМИ-МЦД") Почтовый адрес: 249035 Калужская обл., г. Обнинск, ул. Королева, д. 6 Телеграфный адрес: ОБНИНСК КАЛУЖСКОЙ ВНИИГМИ AT, телекс: 183563 CENTR.RU Код города: 48439 Факс: (495) 255-22-25, (48439) 6-86-11 Электронная почта: wdcb@meteo.ru Интернет: http://www.meteo.ru |
Ведение централизованного автоматизированного учета программ и видов гидрометеорологических наблюдений государственной наблюдательной сети, разработка и внедрение современных методов и технологий сбора гидрометеорологической информации |
|
4 |
Государственное учреждение "Всероссийский научно-исследовательский институт сельскохозяйственной метеорологии" (ГУ "ВНИИСХМ") Почтовый адрес: 249038 Калужская обл., г. Обнинск, пр. Ленина, д. 82 Телеграфный адрес: ОБНИНСК КОЛОС Код города: 48439 Факс: 4-43-88 Электронная почта: cxm@mecom.ru Интернет: http://cxm.obninsk.org |
Агрометеорологические наблюдения, агрогидрологические работы |
|
5. |
Государственное учреждение "Государственный гидрологический институт" (ГУ "ГГИ") Почтовый адрес: 199053 г. Санкт-Петербург, В.О., 2-я линия, д. 23 Телеграфный адрес: САНКТ-ПЕТЕРБУРГ В-53, ГГИ Код города: 812 Факс: 323-10-28 Электронная почта: ggi@hotmail.ru |
Гидрологические наблюдения на реках и каналах, гидрометеорологические наблюдения на озерах и водохранилищах (включая ледовые наблюдения на реках, озерах и водохранилищах вне арктической зоны), гидрологические наблюдения на болотах, воднобалансовые наблюдения, а также наблюдения за испарением с поверхности воды, почвы и снега |
|
6 |
Государственное учреждение "Главная геофизическая обсерватория им. А.И. Воейкова" (ГУ "ГГО") Почтовый адрес: 194021 г. Санкт-Петербург, ул. Карбышева, д. 7 Телеграфный адрес: САНКТ-ПЕТЕРБУРГ-21 ГГО AT, телекс: 122612 РАПАН Код города: 812 Факс: 297-86-61 Электронная почта: director@main.mgo.rssi.ra Интернет: http://www.mgo.rssi.ru |
Метеорологические, актинометрические, теплобалансовые, авиаметеорологические, метеорологические радиолокационные наблюдения, озонометрические и попутные судовые наблюдения |
|
7 |
Государственное учреждение "Гидрометеорологический научно-исследовательский центр Российской Федерации" (ГУ "Гидрометцентр России") Почтовый адрес: 123242 г. Москва, Большой Предтеченский пер., д. 11-13 Телеграфный адрес: МОСКВА ГИДРОМЕТЦЕНТР РОССИИ Код города: 495 Факс: 255-15-82 Электронная почта: hmc@mecom.ru Интернет: http://meteoinfo.ru |
Попутные и судовые добровольные наблюдения (совместно с ГГО, ГОИН; ААНИИ, ДВНИИ). Сбор экстренной гидрометеорологической информации |
|
8 |
Государственное учреждение "Государственный океанографический институт" (ГУ "ГОИН") Почтовый адрес: 119034 г. Москва, Кропоткинский пер., д. 6 Код города: 495 Факс: 246-72-88 Электронная почта: adm@soi.msk.ru Интернет: http://www.oceanography.ru |
Морские береговые и устьевые гидрометеорологические и гидрологические наблюдения, включая ледовые (кроме Арктики и Антарктики) наблюдения на морях |
|
9 |
Государственное учреждение "Институт прикладной геофизики им. акад. Е.К. Федорова" (ГУ "ИПГ") Почтовый адрес: 129128 г. Москва, ул. Ростокинская, д. 9 AT, телекс: МОСКВА ЗЕМЛЯ Телекс: 411914 ZEMLA RU Код города: 495 Факс: 187-81-86 Электронная почта: geophys@hydromet.ru |
Ионосферные и магнитные наблюдения (исключая зону Арктики), гелиогеофизические наблюдения |
|
10 |
Государственное учреждение "Центральная аэрологическая обсерватория" (ГУ "ЦАО") Почтовый адрес: 141700 Московская обл., г. Долгопрудный, ул. Первомайская, .д. 3 Телеграфный адрес: ДОЛГОПРУДНЫЙ МОСКОВСКОЙ ЗОНД AT, телекс: 112279 ЗОНД Код города: 495 Факс: 576-33-27 Электронная почта: caohead@cao-rhms.ru Интернет: http://www.cao-rhms.ru |
Аэрологические (радиозондовые), автоматизированные метеорологические радиолокационные наблюдения |
|
11 |
Государственное учреждение "Главный радиометеорологический центр" (ГУ "ГРМЦ") Почтовый адрес: 123242 г. Москва, а/я 51 Телеграфный адрес: МОСКВА ГРМЦ AT, телекс: 111937 POGD RU, 411117 RUMS RU Код города: 495 Факс: 255-55-04, 253-94-84 Электронная почта: bez@mecom.ru |
Осуществляет сбор и распространение гидрометеорологической информации как внутри страны, так и за ее пределы по каналам Глобальной системы телесвязи (ГСТ) ВМО и выполняет функции регионального узла ГСТ ВМО и Главного центра национальной сети по обмену оперативной гидрометеорологической информацией |
|
____________________________________________________________________________ (наименование организации и административной принадлежности) по разделу ________________________________________________________ наблюдений (вид наблюдений) ____________________________________________________________________________ (наименование головного НИУ) ______________________________ _____________________________________________ (место составления Акта) (год и дата инспекции)
Состав инспектирующих: _____________________________ (ф.и.о., должность) _____________________________ (ф.и.о., должность) _____________________________ (ф.и.о., должность)
Раздел 1. Перечень разделов работы и структурных подразделений, проверяемых в ходе инспекции головным НИУ. Раздел 2. Характеристика пункта наблюдения. Раздел 3. Техническое и метрологическое обеспечение пункта наблюдений Раздел 4. Методическое руководство прикрепленными пунктами наблюдений. Раздел 5. Информационная работа. Раздел 6. Выводы по результатам инспекции. Раздел 7. Предложения в адрес инспектируемой организации
Подписи инспектирующих __________________________________ (ф.и.о., должность) __________________________________ (ф.и.о., должность) __________________________________ (ф.и.о., должность)
С актом ознакомлены:
|
|
____________________________________________________________________________ (наименование ФГУ Росгидромета, пункта наблюдений) _________________________ ___________________________________________________ (место составления Акта) (год и дата инспекции)
Раздел 1. Перечень разделов работы проверяемых подразделений (ГУ УГМС, ЦГМС-Р, ЦГМС-РСМЦ, ЦГМС, пункта наблюдений). Раздел 2. Организация труда Раздел 3. Обеспеченность кадрами и их квалификация. Раздел 4. Выполнение плана наблюдений и работ. Раздел 5. Соблюдение персоналом методик производства наблюдений и выполнения измерений, правил первичной обработки и контроля результатов наблюдений. Раздел 6. Состояние пункта наблюдения. Раздел 7. Взаимодействие с руководящим органом, местными органами власти и потребителями. Раздел 8. Информационная работа. Раздел 9. Состояние техучебы. Раздел 10. Выводы по результатам инспекции. Раздел 11. Предложения в адрес инспектируемой организации
Подпись инспектирующего ___________________________________ (ф.и.о., должность)
С актом ознакомлены:
|

Схема исполнения административной процедуры методического руководства наблюдениями за состоянием окружающей среды, получением, сбором и распространением гидрометеорологической информации

Топология информационно-телекоммуникационной сети Росгидромета
|
Группа автоматического опознавания |
Кодовая форма |
Указатель типа данных |
Группа MjMjMjMj |
Вид информации |
|
ЩЭСМЮ |
КН-01 |
СМ |
ААХХ |
Синоптические сводки за основные сроки |
|
ЩЭСИД |
КН-01 |
СИ |
AAXY |
Синоптические сводки за промежуточные сроки |
|
ЩЭСНЦ |
КН-01 |
СН |
ААХХ |
Синоптические сводки за нестандартные сроки |
|
ЩЭКЛД |
КН-19 |
ЗЦ |
ДЕКАДА |
Климатические сводки за декаду |
|
ЩЭКЛЫ |
КН-19 |
ЦС |
КЛИМАТ |
Климатические сводки за месяц |
|
ЩЭКЛВ |
FM 71-X |
CS |
CLIMAT |
Климатические сводки за месяц (ВМО) |
|
ЩЭСУА |
КН-01 с |
СМ |
ВВХХ |
Синоптические сводки с судов (VA) |
|
ЩЭСУБ |
КН-01 с |
СМ |
ВВХХ |
Синоптические сводки с судов (VB) |
|
ЩЭСУЦ |
КН-01 с |
СМ |
ВВХХ |
Синоптические сводки с судов (VC) |
|
ЩЭСУД |
КН-01 с |
СМ |
ВВХХ |
Синоптические сводки с судов (VD) |
|
ЩЭСУЕ |
КН-01 с |
СМ |
ВВХХ |
Синоптические сводки с судов (VE) |
|
ЩЭСУФ |
КН-01 с |
СМ |
ВВХХ |
Синоптические сводки с судов (VF) |
|
ЩЭСУЙ |
КН-01 с |
СМ |
ВВХХ |
Синоптические сводки с судов (VJ) |
|
ЩЭСУО |
КН-01 с |
СМ |
ВВХХ |
Синоптические сводки с судов (VX) |
|
ЩЭРАМ |
КН-04 |
УС |
ТТАА |
Аэрологические сводки, часть А (ГМС) |
|
ЩЭРБН |
КН-04 |
УК |
ТТВВ |
Аэрологические сводки, часть Б (ГМС) |
|
ЩЭРЦО |
КН-04 |
УЛ |
ТТСС |
Аэрологические сводки, часть Ц (ГМС) |
|
ЩЭРДХ |
КН-04 |
УЕ |
TTDD |
Аэрологические сводки, часть Д (ГМС) |
|
ЩЭТАА |
FM 35-IX |
US |
ТТАА |
Аэрологические сводки, часть A (WMO) |
|
ЩЭТБА |
FM 35-IX |
UK |
ТТВВ |
Аэрологические сводки, часть Б (WMO) |
|
ЩЭТЦА |
FM 35-IX |
UL |
ТТСС |
Аэрологические сводки, часть Ц (WMO) |
|
ЩЭТДА |
FM 35-IX |
UE |
TTDD |
Аэрологические сводки, часть Д (WMO) |
|
ЩЭПАМ |
КН-03 |
УП |
РРАА |
Сводки ветрового зондирования, часть А |
|
ЩЭПБН |
КН-03 |
УГ |
РРВВ |
Сводки ветрового зондирования, часть Б |
|
ЩЭПЦО |
КН-03 |
УХ |
РРСС |
Сводки ветрового зондирования, часть Ц |
|
ЩЭПДХ |
КН-03 |
УЯ |
PPDD |
Сводки ветрового зондирования, часть Д |
|
ЩЭСЛА |
СЛОЙ |
ЗВ |
СЛОЙ |
Сводки о среднем ветре |
|
ЩЭРХБ |
КН-13 |
ЗГ |
РХОБ |
Сводки о загрязнении атмосферы |
|
ЩЭАНА |
КН-21 |
ЗЕ |
ААЕЕ |
Агрометеорологические ежедневные сводки |
|
ЩЭАГЬ |
КН-21 |
ЗД |
AADD |
Агрометеорологические сводки за декаду |
|
ЩЭАОД |
КН-21 |
ЗН |
OODD |
Агро сводки за декаду по районам отгонного животноводства |
|
ЩЭАОЕ |
КН-21 |
ЗК |
ООЕЕ |
Агро сводки ежедневно по районам отгонного животноводства |
|
ЩЭАСО |
КН-11 м |
ЗО |
SSDD |
Агро сводки по районам северного оленеводства |
|
ЩЭСГЙ |
КН-24 |
ЗС |
HHSS |
Гидрологические сводки "снег" |
|
ЩЭРЕИ |
КН-15 |
3P |
HHZZ |
Гидрологические сводки "вода" |
|
ЩЭГУН |
КН-15 |
ЗР |
HHZZ |
Гидрологические сводки с данными учащенных наблюдений |
|
ЩЭМРА |
КН-02 |
ЗМ |
МОРЕ |
Гидрологические сводки "море" |
|
Группа автоматического |
Кодовая форма |
УКАЗАТЕЛЬ ТИПА |
ГРУППА MJMJMJMJ |
Вид информации |
|
ЩЭОЗК |
ОЗОН |
ЗЗ |
ОЗОН |
Озонометрические сводки |
|
ЩЭВОФ |
КРА-4 |
ЗЙ |
ВОЗДУХ |
Сводки "воздух" |
|
ЩЭФБЗ |
FM 20 |
СД |
FFBB |
Радиолокационные сводки |
|
ЩЭБТХ |
КН-06 |
СО |
JJXX |
Океанографические сводки с судов "BATHY" |
|
ЩЭТЕО |
КН-05 |
СО |
ККХХ |
Океанографические сводки с судов "TESAC" |
|
ЩЭБУЙ |
КН-26 |
СС |
ZZXX |
Сводки с дрейфующих буев |
|
ЩЭОЯЮ |
|
ВВ |
|
Сводки штормовых оповещений (открытый текст) |
|
ЩЭШРВ |
|
ВО |
|
Сводки штормовых оповещений (открытый текст) |
|
ЩЭШТЯ |
|
ВО |
|
Сводки штормовых оповещений (открытый текст) |
|
ЩЭШТО |
WAREP |
WW |
WAREP |
Сводки штормовых оповещений |
|
ЩЭОТМ |
WAREP |
WO |
WAREP |
Сводки штормовых оповещений |
USIY01 LIIB 060000
ТТАА 55231 16044
99014 06227 00000 00211 09256 03506 92854 06256 30504
85541 01224 26507 70089 05950 32009 50564 22963 30031
40724 3515731033 30917 50950 32040 25034 59750 31549
20172 59161 32042 15354 56978 29031 10608 59977 28026
88214 63750 32036 88134 60177 30533
77999=
ТТАА 55231 16080
99012 04223 00000 00204 07438 24505 92-846-0666122504
85536 02673 26006 70084 05157 26014 50566 21560 29521
40726 34926 30543 30920 49956 31045 25036 59736 31049
20174 62756 30051 15355 59981 30037 10609 61181 30030
88230 62935 31056
77999=
ТТАА 55231 16113
99980 00312 20505 00219 ///// ///// 92858 05259 35003
85546 04473 18502 70109 03565 32522 50569 21543 30029
40729 34748 31035 30923 499// 30554 25040 585// 30556
20178 635// 30549 15358 575// 30037 10610 635// 30033
88215 631//31055 88107 635//29542
77999
31313 48106 82300=
ТТАА 56001 16144
99026 00402 25001 00220 09649 31507 92863 06021 28004
85551 01416 16004 70099 04358 34013 50566 22562 32524
40726 35164 31029 30920 51137 32042 25036 59547 32550
20174 62948 31549 15355 57782 31033 10609 62979 28024
88211 64937 32043
77999
31313 48106 82300=
ТТАА 55231 16245
99020 06623 35006 00203 09446 00513 92846 05839 32511
85538 03857 30003 70101 03966 33514 50567 21765 32524
40727 34563 33033 30921 50556 34054 25038 59556 34059
20177 57168 32537 15360 56378 32025 10614 62776 29524
88223 61956 34556 88102 62976 30024
77238 34567 41529=
16320 NIL=
16429 NIL=
ТТАА 55231 16560
99028 08029 31004 00230 10029 33511 92873 06459 32021
85568 06899 32017 70140 02362 30514 50573 20563 33529
40734 33169 35024 30930 49556 34545 25047 57559 33551
20186 62161 34049 15368 58177 33023 10620 60777 31022
88202 62561 34054 88135 61177 30029
77215 33562 41224=
SMRA14 RUHB 060600
ААХХ 06061
21802 41993 52809 11327 21358 39974 40001 53010 73873 85020=
24125 41997 83107 11177 21189 39759 40050 52030 73632 86037=
24143 41995 81807 11234 21266 39965 40018 57026 77173 8802/=
24266 42999 80000 11375 21405 39895 40094 57018 80007=
24329 42599 62702 11130 21165 39774 40081 52003 81509=
24343 41496 81904 11262 21287 39937 40066 57013 77173 8662/
333 84711=
24382 42999 00000 11384 21407 39851 40135 53001=
24639 41999 22406 11104 21140 39985 40141 53002-73673-82600=
24641 41999 32803 11133 21160 39966 40113 57002 73631 82031=
24652 41996 81305 11259 21284 30029 40162 57005 77172 86037=
24656 41997 81702 11299 21330 30074 40187 57002 77172 85037=
24671 42999 83201 11403 21432 39651 40235 57004 80001=
24688 41999 02801 11431 21455 39215 40277 57002 70400=
24724 41999 22409 11132 21159 39625 40172 58004 73631 80001
333 91014 91114=
24738 41999 32205 11105 21158 39994 40174 52003 73631 80001
333 91110=
24768 42998 70802 11300 21335 39918 40176 57005 80001=
24923 41999 52308 11118 21170 39932 40251 52001 73732 80001
333 91114=
24944 41599 82508 11116 21151 39909 40209 53001 73687 85537 333
91112=
24951 41998 82704 11110 21146 39998 40170 56002 77173 8807/
333 91111=
24959 41957 80401 11299 21323 30030 40173 57003 77172 82031=
24962 41998 80000 11289 21313 39973 40178 57003 70272 85037=
24966 41999 80201 11307 21336 39951 40193 53001 72272 80007=
25400 42999 81901 11326 21342 30037 40099 53001 80001=
30054 41998 21906 11116 21169 30068 40319 57004 73631 80001 333
91111=
30393 41599 83204 11152 21172 39147 40237 57002 70282 83901=
30493 41699 80201 11142 21185 39146 40235 54000 70272 82501=
31004 41697 82603 11143 21178 39347 40217 58005 77173 82537=
31137 NIL=

Схема исполнения административной процедуры сбора и распространения гидрометеорологической информации

Схема исполнения административной процедуры получения и анализа информации о состоянии выполнения планов наблюдений за состоянием окружающей среды, получения, сбора и распространения гидрометеорологической информации
|
N п/п |
Наименование территориального органа и их реквизиты |
Наименование ФГУ и их реквизиты |
Территория деятельности |
|
1. |
Верхне-Волжское межрегиональное территориальное управление Федеральной службы по гидрометеорологии и мониторингу окружающей среды (Верхне-Волжское УГМС) Почтовый адрес: 603650 г. Нижний Новгород, ГСП-1 ул. Бекетова, 10 Телеграфный адрес: НИЖНИЙ НОВГОРОД ГИМЕТ AT: 151051 POGD RU Код города: 8312 Факс: 39-58-72 Электронная почта: vvugms@nnow.mecom.ru vvugms@meteo.nnov.ru WWW - сервер: www.meteo.nnov.ru |
ГУ "Нижегородский ЦГМС-Р" Почтовый адрес: 603650, г. Нижний Новгород, ГСП-1, ул. Бекетова, 10 Телеграфный адрес: НИЖНИЙ НОВГОРОД ПОГОДА AT, телекс: POGOD RU Код города: 8312 Факс: 39-58-72 Электронная почта: saspd@nnow.mecom.ru saspd@meteo.nnov.ru WWW - сервер: www.nnov.ru |
Нижегородская область |
|
|
|
ГУ "Кировский ЦГМС" Почтовый адрес: 610014 г. Киров, ул. Тихая, 8 Телеграфный адрес: КИРОВ ПОГОДА AT, телекс: 172452 POGOD RU Код города: 8332 Факс: 50-04-11 Электронная почта: kirov@kirov.mecom.ru kcgms@pogoda.kiriv.ru |
Кировская область |
|
|
|
ГУ "Марийский ЦГМС" Почтовый адрес: 424000 Республика Марий-Эл, г. Йошкар-Ола, ул. Советская, 173 Телеграфный адрес: ЙОШКАР-ОЛА ПОГОДА AT, телекс: 220319 TUMAN RU Код города: 8362 Факс: 45-54-95 Электронная почта: ioshk@mts2.nnow.mecom.ru meteocgms@mail.ru |
Республика Марий Эл |
|
|
|
ГУ "Мордовский ЦГМС" Почтовый адрес: 430032: Республика Мордовия, г. Саранск, ул. Щорса, 39 Телеграфный адрес: САРАНСК ПОГОДА AT, телекс: 256263 GROM RU Код города: 8342 Факс: 35-15-14 Электронная почта: sarah@nnow.mecom.ru |
Республика Мордовия |
|
|
|
ГУ "Удмуртский ЦГМС" Почтовый адрес: 426068 Удмуртская Республика, г. Ижевск, ул. Сабурова, 25 Телеграфный адрес: ИЖЕВСК ПОГОДА AT, телекс: 255119 POGOD RU Код города: 3412 Факс: 21-60-28, 46-59-64 Электронная почта: operator@izhevsk.mecom.ru meteo@udm.ru |
Удмуртская Республика |
|
|
|
ГУ "Чувашский ЦГМС" Почтовый адрес: 429955 Республика Чувашия, г. Новочебоксарск, ул. Промышленная, 37 Телеграфный адрес: НОВОЧЕБОКСАРСК ЧУВАШСКОЙ ПОГОДА AT, телекс: 158675 POGDA RU Код города: 8352 Факс: 73-74-01 Электронная почта: cgms@novocheboksarsk.mecom.ru, meteo@cao.ru |
Чувашская Республика |
|
2. |
Дальневосточное межрегиональное территориальное управление Федеральной службы по гидрометеорологии и мониторингу окружающей среды (Дальневосточное УГМС) Почтовый адрес: 680000 г. Хабаровск, ул. Ленина, 18 Телеграфный адрес: ХАБАРОВСК ГИМЕТ AT, телекс: 141538 SNEG RU Код города: 4212 Факс: 23-37-52 Электронная почта: kanc@hbrw.mecom.ru. ugms@dvugms.kht.ru |
ГУ "Хабаровский ЦГМС - РСМЦ" Почтовый адрес: 680000 Хабаровский край, г. Хабаровск, ул. Ленина, 18 Телеграфный адрес: ХАБАРОВСК ГИМЕТ AT, телекс: 141538 SNEG RU Код города: 4212 Факс: 23-29-60 Электронная почта: pcgms@hbrw.mecom.ru kanc@hbfw.mecom.ru |
Хабаровский край и прилегающие к нему территории Охотского и Японского морей |
|
|
|
ГУ "Амурский ЦГМС" Почтовый адрес: 675025 Амурская обл., г. Благовещенск, ул. Чайковского, 7 Телеграфный адрес: БЛАГОВЕЩЕНСК АМУРСКОЙ ПОГОДА AT: 154983 Код города: 4162 Факс: 44-55-90 Электронная почта: meteo@amur.ru. meteo@umas1.bgwk.mecom.ru |
Амурская область Еврейская автономная область |
|
3. |
Забайкальское межрегиональное территориальное управление Федеральной службы по гидрометеорологии и мониторингу окружающей среды (Забайкальское УГМС) Почтовый адрес: 672038 г. Чита-38, ул. Новобульварная, 165 Телеграфный адрес: ЧИТА ГИМЕТ AT: 225311 KART RU Код города: 302 2 Факс: 41-54-25 Электронная почта: meteo@mts1.zbkl.mecom.ru zabugms@mail.chita.ru WEB-сервер: http:WWW.chita/ru/~zabmeteo |
ГУ "Читинский ЦГМС-Р" Почтовый адрес: 672038 г. Чита, ул. Новобульварная, 165 Телеграфный адрес: ЧИТА, ГИМЕТ Код города: 3022 Факс: 41-54-25 Электронная почта: meteo@mts1.zbkl.mecom.ru. zabugms@mail.chita.ru |
Читинская область Агинский Бурятский автономный округ |
|
|
|
ГУ "Бурятский ЦГМС" Почтовый адрес: 670034 Республика Бурятия г. Улан-Удэ, ул. Пушкина, 2а Телеграфный адрес: УЛАН-УДЭ ПОГОДА AT: 219218 GRAD RU Код города: 301 2 Электронная почта: zab@mts1.zbkl.mecom.ru |
Республика Бурятия |
|
4. |
Западно-Сибирское межрегиональное территориальное управление Федеральной службы по гидрометеорологии и мониторингу окружающей среды (Западно-Сибирское УГМС) Почтовый адрес: 630099 г. Новосибирск-99 ул. Советская, 30 Телеграфный адрес: НОВОСИБИРСК ГИМЕТ AT, телекс: 133899 GIMET RU Код города: 383 Факс: 222-63-47 Электронная почта: adm@meteo nso.ru mts@fax1.nwsb.mecom.ru |
ГУ "Новосибирский ЦГМС-РСМЦ" Почтовый адрес: 630099, г. Новосибирск, ул. Советская, 30 Телеграфный адрес: НОВОСИБИРСК ГИМЕТ Код города: 383 Факс: 222-25-55 Электронная почта: rsmc@meteo nso.ru mts@fax1.nwsb.mecom.ru |
Новосибирская область |
|
|
|
ГУ "Алтайский ЦГМС" Почтовый адрес: 656015 г. Барнаул-15, пр. Ленина, 81 Телеграфный адрес: БАРНАУЛ ПОГОДА Код города: 3852 Факс: 61-92-24 Электронная почта: meteo@ab.ru |
Алтайский край |
|
|
|
ГУ "Горно-Алтайский ЦГМС" Почтовый адрес: 649000 Республика Алтай, г. Горно-Алтайск, ул. Чорос - Гуркина, 38 Телеграфный адрес: ГОРНО-АЛТАЙСК ПОГОДА Код города: 38822 Факс: 2-25-89 Электронная почта: gagmc@mail.gornv.ru |
Республика Алтай |
|
|
|
ГУ "Кемеровский ЦГМС" Почтовый адрес: 650060 г. Кемерово, бульвар Строителей, 34 Телеграфный адрес: КЕМЕРОВО ПОГОДА Код города: 3842 Факс: 51-81-44 Электронная почта: meteo@kuzbass.net |
Кемеровская область |
|
|
|
ГУ "Томский ЦГМС" Почтовый адрес: 634050 г. Томск-50, ул. Гагарина, 3а Телеграфный адрес: ТОМСК ПОГОДА Код города: 3822 Факс: 53-30-01 Электронная почта: pogoda@mail.tomsknet.ru |
Томская область |
|
5. |
Иркутское межрегиональное управление Федеральной службы по гидрометеорологии и мониторингу окружающей среды (Иркутское УГМС) Почтовый адрес: 664047 г. Иркутск, ул. Партизанская, 76 Телеграфный адрес: ИРКУТСК ГИМЕТ AT, телекс: 231122 LAVR RV Код города: 3952 Факс: 25-10-77, 29-08-76 Электронная почта: irkt@irkt.mecom.ru, cks@irmeteo.ru |
ГУ "Иркутский ЦГМС-Р" Почтовый адрес: 664047 г. Иркутск, ул. Партизанская, 76 Телеграфный адрес: ИРКУТСК ГИМЕТ AT, телекс: 231122 LAVR RV Код города: 3952 Факс: 25-10-77, 29-08-76, 20-99-45 Электронная почта: irkt@irkt.mecom.ru, cks@irmeteo.ru |
Иркутская область, Республика Бурятия (прибрежная зона и акватория озера Байкал, бассейны рек Иркут и Ока) |
|
|
|
ГУ "Усть-Ордынский ЦГМС" Почтовый адрес: 669001 Усть-Ордынский Бурятский АО, Эхирит-Булагатский район, пгт. Усть-Ордынский, ул. Шувалова, 50 Телеграфный адрес: УСТЬ-ОРДЫНСКИЙ ИРКУТСКОЙ ПОГОДА ШАРЛАНОВУ Код города: 39541 Факс: 3-19-09 Электронная почта: uo-gidromet@irmail.ru |
Усть-Ордынский Бурятский автономный округ |
|
6. |
Обь-Иртышское межрегиональное территориальное управление Федеральной службы по гидрометеорологии и мониторингу окружающей среды (Обь-Иртышское УГМС) Почтовый адрес: 644046 г. Омск-46, ул. Маршала Жукова, 154 Телеграфный адрес: ОМСК - 46 ГИМЕТ AT, телекс: 216123 ТЕНЬ Код города: 3812 Факс: 31-84-77, 31-57-51 Электронная почта: noiu@mts2.omsk.mecom.ru, meteo@mts1.omsk.mecom.ru. gimet@omsknet.fu Интернет: http://www.gimet.omsknet.ru |
ГУ "Омский ЦГМС-Р" Почтовый адрес: 644046 г. Омск-46, ул. Маршала Жукова, 154 Телеграфный адрес: ОМСК-46 ГИМЕТ AT, телекс: 216123 ТЕНЬ Код города: 3812 Факс: 31-84-77, 31-57-51 Электронная почта: noiu@mts2.omsk.mecom.ru, meteo@mts1.omsk.mecom.ru, gimet@omsknet.ru Интернет: www.gimet.omsknet.ru |
Омская область |
|
|
|
ГУ "Тюменский ЦГМС" Почтовый адрес: 625001 г. Тюмень, ул. Луначарского, 26 Телеграфный адрес: ТЮМЕНЬ ПОГОДА Код города: 3452 Факс: 43-15-64, 43-15-65, 43-15-66, 43-15-67 Электронная почта: pogoda tyumen@mail.ru |
Тюменская область |
|
|
|
ГУ "Ханты-Мансийский ЦГМС" Почтовый адрес: 628007 г. Ханты-Мансийск, Тобольский тракт, 3 Телеграфный адрес: ХАНТЫ-МАНСИЙСК ПОГОДА AT, телекс: 235865 ПОГОДА Код города: 34671 Факс: 5-69-62, 5-69-66 Электронная почта: hmancy@ugrameteo.ru |
Ханты-Мансийский автономный округ -Югры, |
|
|
|
ГУ "Ямало-Ненецкий ЦГМС" Почтовый адрес: 629001 Тюменская обл., г. Салехард, ул. Игарская, 17 Телеграфный адрес: САЛЕХАРД ТЮМЕНСКОЙ ПОГОДА AT, телекс: 235029 МЕТЕО Код города: 34922 Факс: 4-08-11, 4-09-40 Электронная почта: cgms@yamalinfo.ru |
Ямало-Ненецкий автономный округ |
|
7. |
Приволжское межрегиональное территориальное управление Федеральной службы по гидрометеорологии и мониторингу окружающей среды (Приволжское УГМС) Почтовый адрес: 443125 г. Самара, ул. Ново-Садовая, 325 Телеграфный адрес: САМАРА ГИМЕТ AT: 214178, 214136 ПОГОДА Телекс: 714136 ROSA RU Код города: 846 Факс: 952-98-96, 245-34-41, 245-29-29 Электронная почта: meteosmr@mail.radiant.ru, pugms@samtel.ru Интернет: http://www.pogoda.samaranet.ru, www.pogoda-sv.ru. www.pogoda-sv.net |
ГУ "Самарский ЦГМС-Р" Почтовый адрес: 443125 г. Самара, ул. Ново-Садовая, 325 Телеграфный адрес: САМАРА ГИМЕТ AT: 214178, GIMET RU Телекс: 714136 ROSA RU Код города: 846 Факс: 952-98-96 Электронная почта: meteosmr@mail.radiant.ru, smra@smra.mecom.ru Интернет: http://www.pogoda.samaranet.ru, www.pogoda-sv.ru, www.pogoda-sv.net |
Самарская область |
|
|
|
ФГУ "Оренбургский ЦГМС" Почтовый адрес: 460001 г. Оренбург, Красная площадь, д. 1 Телеграфный адрес: ОРЕНБУРГ ПОГОДА AT, телекс: 144412 ПОГОДА Код города: 3532 Факс: 72-31-00 Электронная почта: ornb@ornb.mecom.ru |
Оренбургская область |
|
|
|
ГУ "Пензенский ЦГМС" Почтовый адрес: 440004, г. Пенза, ул. Центральная, д. 14а Телеграфный адрес: ПЕНЗА ПОГОДА AT, телекс: 155178 ПОГОДА Код города: 8412 Факс: 34-24-40 Электронная почта: meteo@penza.mecom.ru |
Пензенская область |
|
|
|
ГУ "Саратовский ЦГМС" Почтовый адрес: 410031 г. Саратов, ул. Октябрьская, д. 45 Телеграфный адрес: САРАТОВ ПОГОДА AT, телекс: 241021 МЕТЕО RU Код города: 8452 Факс: 23-09-24 Электронная почта: meteo@sart.mecom.ru, saratovmeteo@mail.ru |
Саратовская область |
|
|
|
ГУ "Ульяновский ЦГМС" Почтовый адрес: 432700 г. Ульяновск, ул. Гончарова, д. 2 Телеграфный адрес: УЛЬЯНОВСК ПОГОДА AT, телекс: 263168 ЗОНД Код города: 8422 Факс: 31-90-63 Электронная почта: meteo@mv.ru |
Ульяновская область |
|
8. |
Северное межрегиональное территориальное управление Федеральной службы по гидрометеорологии и мониторингу окружающей среды (Северное УГМС) Почтовый адрес: 163020 г. Архангельск-20, ул. Маяковского, д. 2 Телеграфный адрес: АРХАНГЕЛЬСК ГИМЕТ AT, телекс: 742140 TOPAZ RU, 242218 ZOND RU, 742453 GRAD RU Код города: 8182 Факс: 22-14-33 Электронная почта: norgimet@arh.ru, adm@mts1.mecom.ru Интернет: http://www.sevmeteo.ru |
ГУ "Архангельский ЦГМС-Р" Почтовый адрес: 163020 г. Архангельск, ул. Маяковского, 2 Телеграфный адрес: АРХАНГЕЛЬСК ПОГОДА AT: 242140 TOPAZ RU, 242218 ZOND RU, 742453 GRAD RU Код города: 8182 Факс: 22-32-93 Электронная почта: cgmsr@arh.ru |
Архангельская область, Ненецкий автономный округ, Ямальский район Ямало-Ненецкого АО, городское поселение Диксон и сельское поселение Хатанга Таймырского (Долгано-Ненецкого) муниципального района Красноярского края и прилегающие к ним акватории морей Белого и Карского, юго-восточной части Баренцева моря и юго-западной части моря Лаптевых |
|
|
|
ГУ "Вологодский ЦГМС" Почтовый адрес: 160012 г. Вологда, Советский проспект, 107 Телеграфный адрес: ВОЛОГДА ПОГОДА AT, телекс: 146229 Код города: 8172 Факс: 75-37-15, 75-67-25 Электронная почта: gidromet@vologda.ru Интернет: http://www.vcgms.ru |
Вологодская область |
|
|
|
ГУ "Коми ЦГМС" Почтовый адрес: 167983 Республика Коми, г. Сыктывкар, м. Дырнос, 88 Телеграфный адрес: СЫКТЫВКАР ПОГОДА АТ, телекс: 181277 LUNA RU Код города: 8212 Факс: 43-32-58 Электронная почта: pogoda@parma.ru Интернет: http://www.meteo.parma.ru |
Республика Коми |
|
9. |
Северо-Западное межрегиональное территориальное управление Федеральной службы по гидрометеорологии и мониторингу окружающей среды (Северо-Западное УГМС) Почтовый адрес: 199106 г. Санкт-Петербург, В.О., 23 линия, 2а Телеграфный адрес: ПЕТЕРБУРГ ГИМЕТ Код города: 812 Факс: 328-09-62 Электронная почта: admin@meteo.nw.ru Интернет: http://adm.meteo.nw.ru |
ГУ "Санкт-Петербургский ЦГМС-Р" Почтовый адрес: 199026 г. Санкт-Петербург, В.О., 23 линия, д. 2а Телеграфный адрес: САНКТ-ПЕТЕРБУРГ ГИМЕТ AT, телекс: 321488 GMT RU Код города: 812 Факс: 234-56-04 Электронная почта: cgms-r@meteo.nw.ru Интернет: http://adm.meteo.nw.ru |
г. Санкт-Петербург Ленинградская область и прилегающая к ним акватория Балтийского моря |
|
|
|
ГУ "Карельский ЦГМС" Почтовый адрес: 185650 г. Республика Карелия, г. Петрозаводск, наб. Варкауса, 3 Телеграфный адрес: ПЕТРОЗАВОДСК ПОГОДА AT, телекс: 165115 ТУМАН Код города: 8142 Факс: 78-34-50 Электронная почта: gidromet@onego.ru |
Республика Карелия |
|
|
|
ГУ "Новгородский ЦГМС" Почтовый адрес: 173000 г. Великий Новгород, ул. Славная, 28 Телеграфный адрес: НОВГОРОД ПОГОДА AT, телекс: 821099 ПОГОДА Код города: 8162 Факс: 63-38-19, 63-41-08 Электронная почта: ncgms@mail.natm.ru |
Новгородская область |
|
|
|
ГУ "Псковский ЦГМС" Почтовый адрес: 180002 г. Псков, ул. Бутырская, 34 AT, телекс: 246250 Код города: 8112 Факс: 74-75-22 Электронная почта: pskmeteo@ellink.ru |
Псковская область |
|
10. |
Северо-Кавказское межрегиональное территориальное управление Федеральной службы по гидрометеорологии и мониторингу окружающей среды (Северо-Кавказское УГМС) Почтовый адрес: 344025 г. Ростов-на-Дону, ул. Ереванская, 1/7 Телеграфный адрес: РОСТОВ ГИМЕТ AT, телекс: 123428 PGD RU Код города: 863 Факс: 251-09-01 Электронная почта: meteo@aaanet.ru, admin@rost.mecom.ru, admin@pogoda.donpac.ru |
ГУ "Ростовский ЦГМС-Р" Почтовый адрес: 344023 г. Ростов-на-Дону, ул. Врубовая, 32 Телеграфный адрес: РОСТОВ ПОГОДА AT, телекс: 123129 VOLNA RU Код города: 863 Факс: 293-06-43 Электронная почта: synoptic@rostel.ru. meteo@umas1.rost-cgms.mecom.ru |
Ростовская область, |
|
|
|
ГУ "Адыгейский ЦГМС" Почтовый адрес: 385000 Республика Адыгея, г. Майкоп, ул. Крестьянская, 236 Телеграфный адрес: МАЙКОП ПОГОДА Код города: 8772 Факс: 57-17-29, 57-13-06 Электронная почта: hygromet1@radnet.ru |
Республика Адыгея |
|
|
|
ГУ "Астраханский ЦГМС" Почтовый адрес: 414028 г. Астрахань, ул. Солнечная, 37 Телеграфный адрес: АСТРАХАНЬ ПОГОДА AT, телекс: 254852 POGOD RU Код города: 8512 Факс: 38-68-80 Электронная почта: pogoda@astrobl.ru, admin@astrahan, mecom.ru |
Астраханская область |
|
|
|
ГУ "Волгоградский ЦГМС" Почтовый адрес: 400113 г. Волгоград, ул. Гагарина, 12 Телеграфный адрес: ВОЛГОГРАД ПОГОДА AT, телекс: 117440 PGD RU Код города: 8442 Факс: 24-17-04 Электронная почта: meteo@volganet.ru, meteo@umas1, wlgd.mecom.ru |
Волгоградская область |
|
|
|
ГУ "Дагестанский ЦГМС" Почтовый адрес: 367001 Республика Дагестан, г. Махачкала, ул. Маячная, 18 Телеграфный адрес: МАХАЧКАЛА ПОГОДА Код города: 8722 Факс: 67-28-07, 67-28-09 Электронная почта: meteo@umas1.mahachkala.mecom.ru, meteo@iwt.ru |
Республика Дагестан |
|
|
|
ГУ "Ингушский ЦГМС" Почтовый адрес: 386102 Республика Ингушетия, г. Назрань, ул. Ахриева, 13 Телеграфный адрес: НАЗРАНЬ ПОГОДА Код города: 87322 Факс: 2-12-71 |
Республика Ингушетия |
|
|
|
ГУ "Кабардино-Балкарский ЦГМС" Почтовый адрес: 360051 Кабардино-Балкарская Республика, г. Нальчик, ул. Кабардинская, 17 Телеграфный адрес: НАЛЬЧИК ПОГОДА AT, телекс: 257019 CILK RU Код города: 8662 Факс: 42-55-74, 42-42-21 Электронная почта: kbmeteo@rambler.ru |
Кабардино-Балкарская Республика |
|
|
|
ГУ "Калмыцкий ЦГМС" Почтовый адрес: 358000 Республика Калмыкия, г. Элиста, ул. Ленина, 230 а Телеграфный адрес: ЭЛИСТА ПОГОДА AT, телекс: 249132 ИНЕЙ Код города: 84722 Электронная почта: meteo@elista.ru |
Республика Калмыкия |
|
|
|
ГУ "Карачаево-Черкесский ЦГМС" Почтовый адрес: 369000 Карачаево-Черкесская Республика, г. Черкесск, ул. Ленина, 409 Телеграфный адрес: ЧЕРКЕССК ПОГОДА AT, телекс: 297143 СОКОЛ Код города: 8782 Факс: 27-09-74, 27-27-43 Электронная почта: meteo13@mail.ru |
Карачаево-Черкесская Республика |
|
|
|
ГУ "Краснодарский ЦГМС" Почтовый адрес: 350610 г. Краснодар, ул. Рашпилевская, 36 Телеграфный адрес: КРАСНОДАР ПОГОДА Код города: 861 Факс: 262-41-61 Электронная почта: kubmeteo@kubanmeteo.ru, meteo@umas1, krasnodar.mecom.ru |
Краснодарский край |
|
|
|
ГУ "Северо-Осетинский ЦГМС" Почтовый адрес: 362040 Республика Северная Осетия-Алания, г. Владикавказ, пл. Свободы, 5 Телеграфный адрес: ВЛАДИКАВКАЗ ПОГОДА AT, телекс: 265282 PGD RU Код города: 8672 Факс: 53-48-48 Электронная почта: wladmeteo@mail.ru wlad@rost.mecom.ru |
Республика Северная Осетия-Алания |
|
|
|
ГУ "Ставропольский ЦГМС" Почтовый адрес: 355000 г. Ставрополь, пр. Октябрьской Революции, 6 Телеграфный адрес: СТАВРОПОЛЬ ПОГОДА AT, телекс: 223113 PGD RU Код города: 8652 Факс: 26-43-91 Электронная почта: stameteo@omen.ru meteo@umas1.stavropol.mecom.ru |
Ставропольский край |
|
|
|
ГУ "СЦГМС ЧАМ" Почтовый адрес: 354057, г. Сочи, ул. Севастопольская, 25 Телеграфный адрес: СОЧИ ПОГОДА AT, телекс: 191108 МЕТЕЛЬ Код города: 8622 Факс: 61-41-91 Электронная почта: pogoda@sochi.ru pogoda@soch.mecom.ru |
Акватории Черного, Азовского и Каспийского морей, прилегающие к территории РФ |
|
|
|
ФГУ "Чеченский ЦГМС" Почтовый адрес: 364015 Чеченская Республика, г. Грозный, с. Старая Сунжа, ул. Степная, 15 Телеграфный адрес: ГРОЗНЫЙ ПОГОДА Код города: 8712 Факс: 22-23-08 Электронный адрес: CechenskiyCGMS@yandex.ru |
Чеченская Республика |
|
11. |
Среднесибирское межрегиональное территориальное управление Федеральной службы по гидрометеорологии и мониторингу окружающей среды (Среднесибирское УГМС) Почтовый адрес: 660049 г. Красноярск, ул. Сурикова, 28, а/я 209 Телеграфный адрес: КРАСНОЯРСК ГИМЕТ AT, телекс: 288044 Код города: 3912 Факс: 65-16-27 Электронная почта: sugms@meteo.krasnoyarsk.ru, bars@mts1.krqr.mecom.ru Интернет: http://www:meteo.krasnoyarsk.ru |
ГУ "Красноярский ЦГМС-Р" Почтовый адрес: 660049 г. Красноярск, ул. Сурикова, 28, а/я 209 Телеграфный адрес: КРАСНОЯРСК ПОГОДА АТ, телекс: 288044 Код города: 3912 Факс: 65-34-61 Электронная почта: kcgms@meteo.krasnoyarsk.ru |
Красноярский край, за исключением городского поселения Диксон и сельского поселения Хатанга Таймырского (Долгано-Ненецкого) муниципального района |
|
|
|
ГУ "Тувинский ЦГМС" Почтовый адрес: 667001, Республика Тыва, г. Кызыл, ул. Крюкова, 1, а/я 68 Телеграфный адрес: КЫЗЫЛ ПОГОДА AT, телекс: 230006 Код города: 39422 Факс: 9-90-60 Электронная почта: tuvcgms@tuva.ru tuvcgms@yandex.ru |
Республика Тыва |
|
|
|
ГУ "Хакасский ЦГМС" Почтовый адрес: 655003 Республика Хакасия, г. Абакан, ул. Вяткина, 66, а/я 477 Телеграфный адрес: АБАКАН ПОГОДА AT, телекс: 150229 Код города: 39022 Факс: 5-84-84 Электронная почта: cgms@khakasnet.ru |
Республика Хакасия |
|
12. |
Уральское межрегиональное территориальное управление Федеральной службы по гидрометеорологии и мониторингу окружающей среды (Уральское УГМС) Почтовый адрес: 620041 г. Екатеринбург, ул. Народной Воли, 64 Телеграфный адрес: ЕКАТЕРИНБУРГ ГИМЕТ Код города: 343 Факс: 261-76-26 Электронная почта: admin@ektb.mecom.ru upr@ugms.yck.ru |
ГУ "Свердловский ЦГМС-Р" Почтовый адрес: 620041 г. Екатеринбург, ул. Народной Воли, 64 Код города: 343 Факс: 261-77-24 Электронная почта: meteo@sygimet.ru, admin@ektb.mecom.ru |
Свердловская область |
|
|
|
ГУ "Курганский ЦГМС" Почтовый адрес: 640011 г. Курган, бульвар Мира, 6 Код города: 3522 Факс: 53-51-20 Электронная почта: kzgsm@zaural.ru |
Курганская область |
|
|
|
ГУ "Пермский ЦГМС" Почтовый адрес: 614030 г. Пермь, ул. Новогайвинская, 70 Телеграфный адрес: ПЕРМЬ ПОГОДА AT: 124128 ПОГОДА Код города: 342 Факс: 273-25-33 Электронная почта: hydromet@mail.perm.ru |
Пермский край |
|
|
|
ГУ "Челябинский ЦГМС" Почтовый адрес: 454048 г. Челябинск, ул. Витебская, 15 Код города: 351 Факс: 232-09-58 Электронная почта: office@chelpogoda.ru |
Челябинская область |
|
13. |
Центральное межрегиональное территориальное управление Федеральной службы по гидрометеорологии и мониторингу окружающей среды (Центральное УГМС) Почтовый адрес: 123995 г. Москва, Нововаганьковский пер. д. 8 Телеграфный адрес: МОСКВА ГИМЕТ Код города: 495 Факс: 205-47-60, 255-23-96 Электронная почта: zugmc@mcc.mecom.ru |
ГУ "Московский ЦГМС-Р" Почтовый адрес: 115055 г. Москва, ул. Садовническая, 9 стр. 1 AT, телекс: 485402 ГИМЕТ, 485403 ГИМЕТ Код города: 495 Факс: 234-70-23, 234-70-24 Электронная почта: moscgms-aup@mail.ru Интернет. http://www.moscgmsr.narod.ru |
Московская область г. Москва |
|
|
|
ГУ "Владимирский ЦГМС" Почтовый адрес: 600021 г. Владимир, ул. Стрелецкая, д. 20 Телеграфный адрес: ВЛАДИМИР ПОГОДА AT, телекс: 218983 POGD RU Код города: 4922 Факс: 32-30-85 Электронная почта: cgms@vladimir.mecom.ru |
Владимирская область |
|
|
|
ГУ "Ивановский ЦГМС" Почтовый адрес: 153313 г. Иваново, пл. Революции, 2, ком. 452 Телеграфный адрес: ИВАНОВО ПОГОДА AT, телекс: 227326 ZOND RU Код города: 4932 факс: 30-05-63 Электронная почта: meteo@ivanovo.mecom.ru |
Ивановская область |
|
|
|
ГУ "Калужский ЦГМС" Почтовый адрес: 248016 г. Калуга, ул. Баррикад, 116 Телеграфный адрес: КАЛУГА ПОГОДА AT, телекс: 183249 TUMAN RU Код города: 4842 Факс: 72-14-61 Электронная почта: kcgms@kaluga.ru |
Калужская область |
|
|
|
ГУ "Костромской ЦГМС" Почтовый адрес: 156961 г. Кострома, ул. Калиновская, 38 Телеграфный адрес: КОСТРОМА ПОГОДА AT, телекс: 129083 PGD RU Код города: 4942 Факс: 55-65-02 Электронная почта: meteo@kostroma.mecom.ru |
Костромская область |
|
|
|
ГУ "Рязанский ЦГМС" Почтовый адрес: 390000 г. Рязань, ул. Почтовая, 50 корп. 1 Телеграфный адрес: РЯЗАНЬ ПОГОДА AT, телекс: 136240 SNEG RU Код города: 4912 Факс: 28-93-15 Электронная почта: cgms@ryazan.mecom.ru |
Рязанская область |
|
|
|
ГУ "Смоленский ЦГМС" Почтовый адрес: 214019 г. Смоленск, ул. Тенишевой, 33 Телеграфный адрес: СМОЛЕНСК ПОГОДА AT, телекс: 281340 ПОГОДА Код города: 4812 Факс: 55-58-43 Электронная почта: meteo@admin.smolensk.ru |
Смоленская область |
|
|
|
ГУ "Тверской ЦГМС" Почтовый адрес: 170000 г. Тверь, ул. Новоторжская, 27 Телеграфный адрес: ТВЕРЬ ПОГОДА AT, телекс: 171788 ПОГОДА Код города: 4822 Факс: 32-17-31 Электронная почта: az0475@tvcom.ru |
Тверская область |
|
|
|
ГУ "Тульский ЦГМС" Почтовый адрес: 300031 г. Тула, ул. Приупская, 1а Телеграфный адрес: ТУЛА ПОГОДА AT, телекс: 253309 POGOD RU Код города:4872 Факс: 46-30-05 Электронная почта: admin@tula.mecom.ru |
Тульская область |
|
|
|
ГУ "Ярославский ЦГМС" Почтовый адрес: 150000 г. Ярославль, ул. Кирова, 5 Телеграфный адрес: ЯРОСЛАВЛЬ ПОГОДА AT, телекс: 217148 PGD RU Код города: 4852 Факс: 30-30-93, 72-81-91 Электронная почта: yacgms@mail.ru |
Ярославская область |
|
14. |
Центрально-Черноземное межрегиональное территориальное управление Федеральной службы по гидрометеорологии и мониторингу окружающей среды (Центрально-Черноземное УГМС) Почтовый адрес: 305021 г. Курск, ул. К. Маркса, 76 Телеграфный адрес: КУРСК ГИМЕТ AT, телекс: 137351 PGD RU Код города: 4712 Факс: 53-65-11, 53-59-46 Электронная почта: aspd@km.ru |
ГУ "Курский ЦГМС-Р" Почтовый адрес: 305021 г. Курск, Ул. Карла Маркса, 76 Телеграфный адрес: КУРСК ГИМЕТ AT, телекс: 137351 PGD RU Код города: 4712 Факс: 53-67-02 Электронная почта: meteo@mts2.kersk.mecom.ru, aspd@km.ru |
Курская область |
|
|
|
ГУ "Белгородский ЦГМС" Почтовый адрес: 308014 г. Белгород, ул. Чумичева, 126 Телеграфный адрес: БЕЛГОРОД ПОГОДА Код города: 4722 Факс: 26-43-13 Электронная почта:pogoda@belnet.ru |
Белгородская область |
|
|
|
ГУ "Брянский ЦГМС" Почтовый адрес: 241050 г. Брянск, ул. Советская, д. 3 Телеграфный адрес: БРЯНСК ПОГОДА AT, телекс: 182471 НЕБО Код города: 4832 Факс: 65-56-72, 74-33-90 Электронная почта: weather@online.debrynsk.ru |
Брянская область |
|
|
|
ГУ "Воронежский ЦГМС" Почтовый адрес: 394621 г. Воронеж, пр. Революции, д. 18 Телеграфный адрес: ВОРОНЕЖ ПОГОДА Код города: 4732 Факс: 55-24-42 Электронная почта: meteo@umasl.voronezh.mecom.ru |
Воронежская область |
|
|
|
ГУ "Липецкий ЦГМС" Почтовый адрес: 398016 г. Липецк, пер. Попова, д. 5 Телеграфный адрес: ЛИПЕЦК ПОГОДА Код города: 4742 Факс: 36-07-96 Электронная почта: hydromet@lipetsk.ru |
Липецкая область |
|
|
|
ГУ "Орловский ЦГМС" Почтовый адрес: 302026 г. Орел, ул. Садово-Пушкарская, д. 8 Телеграфный адрес: ОРЕЛ ПОГОДА Код города: 4862 Факс: 75-25-35 Электронная почта: pogoda@orel.ra |
Орловская область |
|
|
|
ГУ "Тамбовский ЦГМС" Почтовый адрес: 392008 г. Тамбов, ул. Советская, д. 182 Телеграфный адрес: ТАМБОВ ПОГОДА Код города: 4752 Факс: 56-11-84 |
Тамбовская область |
|
15. |
|
Государственное учреждение "Башкирское управление по гидрометеорологии и мониторингу окружающей среды" (ГУ "Башкирское УГМС") Почтовый адрес: 450059 Республика Башкортостан, г. Уфа, ул. Р. Зорге, д. 25/2 Телеграфный адрес: УФА ГИМЕТ AT, телекс: 162199 GOD RU Код города: 3472 Факс: 25-19-70 Электронная почта: post@adew.ru Интернет: http://www.bashmeteo.ru |
Республика Башкортостан |
|
16. |
|
Государственное учреждение "Камчатское управление по гидрометеорологии и мониторингу окружающей среды" (ГУ "Камчатское УГМС") Почтовый адрес: 683602 г. Камчатская обл., г. Петропавловск-Камчатский, ГСП, ул. Молчанова, д. 12 Телеграфный адрес: ПЕТРОПАВЛОВСК-КАМЧАТСКИЙ ГИМЕТ AT, телекс: 244348 GROM Код города: 41522 Факс: 5-80-39, 5-84-44 Электронная почта: kammeteo@mail.kamchatka.ru |
Камчатская край и прилегающие к нему акватории Тихого океана, Берингова и Охотского морей |
|
17. |
|
Государственное учреждение "Колымское управление по гидрометеорологии и мониторингу окружающей среды" (ГУ "Колымское УГМС") Почтовый адрес: 685000 г. Магадан, ул. Парковая, д. 7/13 Телеграфный адрес: МАГАДАН ГИМЕТ AT, телекс: 145279 ГИМЕТ Код города: 4132 Факс: 62-83-31, 62-30-21 Электронная почта: gimet@online.magadan.ru Интернет: http://www.meteo.magadan.ru |
Магаданская область и прилегающая акватория Охотского моря |
|
18. |
|
Государственное учреждение "Мурманское управление по гидрометеорологии и мониторингу окружающей среды" (ГУ "Мурманское УГМС") Почтовый адрес: 183789 г. Мурманск, ул. Шмидта, д. 23 Телеграфный адрес: МУРМАНСК ГИМЕТ AT, телекс: 126126 ПГД, 626279 ПГД Код города: 8152 Факс: 47-24-06 Электронная почта: leader@kolgimet.ru Интернет: http://www.kolgimet.ru |
Мурманская область и прилегающие акватории Баренцева и Гренландского морей, побережья Великого и Норвежского морей, архипелаг Шпицберген |
|
19. |
|
Государственное учреждение "Приморское управление по гидрометеорологии и мониторингу окружающей среды" (ГУ "Приморское УГМС") Почтовый адрес: 690990 г. Владивосток, ул. Мордовцева, д. 3 Телеграфный адрес: ВЛАДИВОСТОК ГИМЕТ AT, телекс: 213309 GIMET RU Код города: 4232 Факс: 22-17-50 Электронная почта: head@wdwk.mecom.ru Интернет: http://www.primpogoda.ru |
Приморский край и прилегающие к нему акватории Тихого океана, Охотского и Японского морей |
|
20. |
|
Государственное учреждение "Сахалинское управление по гидрометеорологии и мониторингу окружающей среды" (ГУ "Сахалинское УГМС") Почтовый адрес: 693000 г. Южно-Сахалинск, ул. Западная, д. 78 Телеграфный адрес: ЮЖНОСАХАЛИНСК ГИМЕТ AT, телекс: 152166 Код города: 4242 Факс: 72-13-07 Электронная почта: admin@shln.mecom.ru, priem@sakhugms.ru |
Сахалинская область и прилегающие к ней акватории Тихого океана, Охотского и Японского морей |
|
21. |
|
Государственное учреждение "Управление по гидрометеорологии и мониторингу окружающей среды Республики Татарстан" (ГУ "УГМС Республики Татарстан") Почтовый адрес: 420034 г. Казань, Ул. Декабристов, д. 81 Телеграфный адрес: КАЗАНЬ ГИМЕТ AT, телекс: 224137 МЕTЕО RU Код города: 843 Факс: 541-37-09 Интернет: http://www.tatarmeteo.ru |
Республика Татарстан |
|
22. |
|
Государственное учреждение "Чукотское управление по гидрометеорологии и мониторингу окружающей среды" (ГУ "Чукотское УГМC") Почтовый адрес: 689400 Чукотский АО, г. Певек, ул. Обручева, д. 2 Телеграфный адрес: ПЕВЕК ГИМЕТ AT, телекс: 354489 RADIO RU Код города: 42737 Факс: 4-23-07 Электронная почта: meteo@pewk.mecom.ru, chugms@mail.ru |
Чукотский автономный округ |
|
23. |
|
Государственное учреждение "Якутское управление по гидрометеорологии и мониторингу окружающей среды" (ГУ "Якутское УГМС") Почтовый адрес: 677010 Республика Саха (Якутия), г. Якутск, ул. Якова Потапова, д. 8 Телеграфный адрес: ЯКУТСК ГИМЕТ AT, телекс: 135179А, 135179Б Код города: 4112 Факс: 36-38-76 Электронная почта: priem@hydromet.ysn.ru, priemyugms@sakha.ru Интернет: http://www.hydromet.ysn.ru |
Республика Саха (Якутия) |
|
24. |
|
Федеральное государственное учреждение "Калининградский центр по гидрометеорологии и мониторингу окружающей среды" (ФГУ "Калининградский ЦГМС") Почтовый адрес: 236000, Калининград, ул. Пугачева, д. 16 Телеграфный адрес: КАЛИНИНГРАД ЦГМС AT, телекс: 262683 CGMS RU Код города: 4012 Факс: 21-43-19 Электронная почта: head@klng.mecom.ru |
Калининградская область |
|
|
|
|