//
|
|
Приказ Минприроды России от 31 октября 2008 г. N 300Об утверждении Административного регламента Федеральной службы по надзору в сфере природопользования по исполнению государственной функции по контролю и надзору за соблюдением в пределах своей компетенции требований законодательства Российской Федерации в области охраны атмосферного воздухаВ соответствии с постановлением Правительства Российской Федерации от 11 ноября 2005 г. N 679 "О порядке разработки и утверждения административных регламентов исполнения государственных функций (предоставления государственных услуг)" (Собрание законодательства Российской Федерации, 2005, N 47, ст. 4933; 2007, N 50, ст. 6285, 2008, N 18, ст. 2063) приказываю: 1. Утвердить прилагаемый Административный регламент Федеральной службы по надзору в сфере природопользования по исполнению государственной функции по контролю и надзору за соблюдением в пределах своей компетенции требований законодательства Российской Федерации в области охраны атмосферного воздуха. 2. Признать утратившим силу приказ Федеральной службы по экологическому, технологическому и атомному надзору от 12 сентября 2007 г. N 625 "Об утверждении инструкции по порядку осуществления государственного контроля за соблюдением требований законодательства Российской Федерации в области охраны атмосферного воздуха" зарегистрированный Минюстом Российской Федерации 13 ноября 2007 г. регистрационный N 10474. Министр Ю.П. Трутнев Зарегистрировано в Минюсте РФ 5 марта 2009 г. Регистрационный N 13483 Административный регламент
| |||||||||||||||||||||||||||||||||||||||||||||||||||||||||||||||||||||||||||||||||||||||||||||||||||||||||||||||||||||||||||||||||||||||||||||||||||||||||||||||||||||||||||||||||||||||||||||||||||||||||||||||||||||||||||||||||||||||||||||||||||||||||||||||||||||||||||||||||||||||||||||||||||||||||||||||||||||||||||||||||||||||||||||||||||||||||||||||||||||||||||||||||||||||||||||||||||||||||||||||||||||||||||||||||||||||||||||||||||||||||||||||||||||||||||||||||||||||||||||||||||||||||||||||||||||
|
Понедельник |
09.30 -17.30 |
|
Вторник |
09.30 - 17.30 |
|
Среда |
09.30 - 17.30 |
|
Четверг |
09.30 - 17.30 |
|
Пятница |
09.30 -16.30 |
|
Суббота |
выходной день |
|
Воскресенье |
выходной день |
|
Электронный адрес для обращений в Росприроднадзор: |
expert@mnr.gov.ru |
|
Многоканальный телефон справочной службы Росприроднадзора: |
254-48-00 |
|
Официальный сайт Росприроднадзора: |
http://control.mnr.gov.ru |
Контактная информация территориальных органов Росприроднадзора размещена на официальном сайте Росприроднадзора в сети Интернет, информационных стендах и сайтах (при наличии) территориальных органах Росприроднадзора, а также приведена в приложении 1 к настоящему Административному регламенту.
8. Информация по процедурам государственной функции может предоставляться:
по электронной почте (при ее наличии);
по телефону;
по почте;
лично.
Обязательный перечень предоставляемой информации по процедурам исполнения государственной функции:
входящие номера, под которыми зарегистрированы в системе делопроизводства материалы проверки и иные документы;
решения по конкретному заявлению и прилагающимся материалам;
нормативные правовые акты по вопросам исполнения государственной функции (наименование, номер, дата принятия нормативного правового акта);
перечень документов, представление которых необходимо для осуществления процедур государственного контроля за деятельностью в области охраны атмосферного воздуха;
место размещения на официальном сайте Росприроднадзора справочных материалов по вопросам государственного контроля за деятельностью в области охраны атмосферного воздуха.
Если информация о процедурах исполнения государственной функции, полученная в территориальных органах Росприроднадзора, не удовлетворяет заявителей, то они по телефону или в письменном виде обращаются в центральный аппарат Росприроднадзора.
9. Основными требованиями к информированию заявителей являются:
1) достоверность предоставляемой информации;
2) четкость в изложении информации;
3) полнота информирования;
4) наглядность форм предоставляемой информации (при письменном информировании);
5) удобство и доступность получения информации;
6) оперативность предоставления информации.
10. Информирование заявителей организуется следующим образом:
1) индивидуальное информирование;
2) публичное информирование.
11. Информирование проводится в форме:
1) устного информирования;
2) письменного информирования.
12. Индивидуальное устное информирование осуществляется подразделениями при обращении заявителей за информацией лично или по телефону.
Специалист подразделения, осуществляющий индивидуальное устное информирование, принимает все необходимые меры для предоставления полного и оперативного ответа на поставленные вопросы, в том числе с привлечением других сотрудников. Время ожидания заявителя при индивидуальном устном информировании не может превышать 30 минут.
Индивидуальное устное информирование каждого заявителя специалист из подразделения осуществляет не более 10 минут.
Если для подготовки ответа требуется продолжительное время, специалист, осуществляющий индивидуальное устное информирование, может предложить заявителям обратиться за необходимой информацией в письменном виде.
Для обеспечения индивидуального устного информирования выделяются отдельные специалисты подразделения.
13. Индивидуальное письменное информирование осуществляется путем направления ответов почтовым отправлением или посредством официальных сайтов.
Руководитель территориального органа Росприроднадзора или уполномоченное им должностное лицо, либо должностное лицо центрального аппарата Росприроднадзора в соответствии со своей компетенцией определяет непосредственного исполнителя для подготовки ответа.
Ответ на обращение заявителя предоставляется в простой, четкой и понятной форме с указанием должности, фамилии, имени, отчества, номера телефона исполнителя.
Ответ направляется в письменном виде, электронной почтой либо через официальные сайты в зависимости от способа обращения заявителя за информацией или способа доставки ответа, указанного в письменном обращении заявителя.
Ответ на обращение гражданина, поступившее по информационным системам общего пользования, направляется по почтовому адресу, указанному в обращении.
Письменные обращения граждан, юридических лиц и индивидуальных предпринимателей рассматриваются в течение 30 дней со дня их регистрации. Руководителем Росприроднадзора, руководителями территориальных органов Росприроднадзора, их заместителями, начальниками подразделений могут устанавливаться сокращенные сроки рассмотрения обращений граждан, юридических лиц и индивидуальных предпринимателей.
Если для рассмотрения обращения граждан необходимо проведение выездной проверки, истребование дополнительных материалов либо принятие иных мер, указанный срок может быть продлен руководителем (заместителем руководителя) Росприроднадзора, руководителем (заместителем руководителя) территориального органа Росприроднадзора. Максимальный срок, на который может быть продлено рассмотрение обращения граждан, юридических лиц и индивидуальных предпринимателей, составляет не более чем 30 дней.
14. Публичное устное информирование осуществляется посредством привлечения средств массовой информации - радио, телевидения. Выступления специалистов подразделений по местному радио и телевидению согласовываются с руководителем территориального органа Росприроднадзора.
15. Публичное письменное информирование осуществляется путем публикации информационных материалов в средствах массовой информации, включая официальные сайты Росприроднадзора, а также официальные сайты федеральных государственных унитарных предприятий и федеральных государственных учреждений, подведомственных Росприроднадзору, в сети Интернет. Информирование путем публикации информационных материалов на официальных сайтах территориальных органов Росприроднадзора, в средствах массовой информации регионального уровня осуществляется территориальными органами Росприроднадзора. Территориальные органы Росприроднадзора направляют в свои подразделения готовые материалы для местных средств массовой информации и контролируют их размещение.
16. Официальные сайты должны содержать:
1) перечень предоставляемых юридическими лицами и индивидуальными предпринимателями документов (при необходимости их предоставления);
2) перечень типовых, наиболее часто задаваемых заявителями вопросов, и ответы на них (связанные с осуществлением государственного контроля и надзора в области охраны окружающей среды и атмосферного воздуха).
17. На стендах с организационно-распорядительной информацией размещается следующая обязательная информация:
1) режим работы подразделений, исполняющих государственную функцию;
2) номера кабинетов, где проводятся прием и информирование заявителей, фамилии, имена, отчества и должности специалистов, осуществляющих прием и информирование заявителей;
3) адреса официальных сайтов;
4) номера телефонов, адреса электронной почты управления и подразделения;
5) перечень документов, которые могут быть предъявлены заявителями в качестве удостоверяющих личность.
Тексты информационных материалов печатаются удобным для чтения шрифтом (размер шрифта не менее N 18), без исправлений, наиболее важные места выделяются другим шрифтом. В случае оформления информационных материалов в виде брошюр, требования к размеру шрифта могут быть снижены.
18. Обязанности должностных лиц при ответе на телефонные звонки, устные и письменные обращения заявителей, требования к форме и характеру взаимодействия должностных лиц с заявителями.
При ответе на телефонные звонки сотрудник, осуществляющий прием и информирование, сняв трубку, должен назвать фамилию, имя, отчество, занимаемую должность и наименование подразделения Росприроднадзора или его территориального органа. Во время разговора необходимо произносить слова четко, избегать "параллельных разговоров" с окружающими людьми и не прерывать разговор по причине поступления звонка на другой аппарат. В конце информирования специалист, осуществляющий прием и информирование, должен кратко подвести итоги и перечислить меры, которые надо принять (кто именно, когда и что должен сделать).
При устном обращении заявителей (по телефону или лично) специалисты, осуществляющие прием и информирование, дают ответ самостоятельно. Если специалист, к которому обратился заявитель, не может ответить на вопрос самостоятельно, то он может предложить обратиться письменно.
Ответы на письменные обращения направляются в письменном виде и должны содержать: ответы на поставленные вопросы, фамилию, инициалы и номер телефона исполнителя. Ответ подписывается руководителем, заместителем руководителя или уполномоченным лицом центрального аппарата Росприроднадзора или его территориального органа.
Специалисты, осуществляющие прием и информирование (по телефону или лично), должны корректно и внимательно относиться к заявителям, не унижая их чести и достоинства. Информирование должно проводиться без больших пауз, лишних слов, оборотов и эмоций.
Специалисты, осуществляющие прием и информирование, не вправе осуществлять консультирование заявителей, выходящее за рамки информирования о стандартных процедурах и условиях исполнения государственной функции и влияющее прямо или косвенно на индивидуальные решения заявителей.
19. Организация приема заявителей осуществляется ежедневно в течение всего рабочего времени в соответствии с графиком, приведенным в пункте 7 настоящего Административного регламента.
20. Для организации ежедневного приема используется принцип сменности. Начальник подразделения в зависимости от ситуации перераспределяет в течение дня специалистов, осуществляющих прием заявителей. Специалисты, осуществляющие прием и информирование, обеспечиваются личными идентификационными карточками и (или) настольными табличками.
21. В помещениях для работы с заявителями размещаются информационные стенды.
22. Для ожидания приема заявителям отводятся места, оборудованные стульями, столами (стойками) для возможности оформления документов.
23. Помещение должно быть оборудовано в соответствии с санитарными правилами и нормами*.
24. Подразделениями должны быть созданы условия для обслуживания инвалидов: помещения оборудованы пандусами, специальными ограждениями и перилами, обеспечены беспрепятственное передвижение и разворот инвалидных колясок, размещение столов для инвалидов в стороне от входа с учетом беспрепятственного подъезда и поворота колясок.
Помещения для исполнения государственной функции размещаются на нижних этажах зданий, оборудованных отдельным входом, или в отдельно стоящих зданиях. На территории, прилегающей к месторасположению зданий Росприроднадзора, оборудуются места для парковки автотранспортных средств.
25. Образцы документов (бланков), используемых при осуществлении государственной функции, установлены в приложениях NN 3 - 9 к настоящему Административному регламенту.
26. Продолжительность мероприятия по контролю (проверки) не должна превышать один месяц.
В исключительных случаях, связанных с необходимостью проведения специальных исследований (испытаний), экспертиз со значительным объемом мероприятий по контролю, на основании мотивированного предложения должностного лица, осуществляющего мероприятие по контролю*, руководителем Росприроднадзора (территориального органа) или его заместителем срок проведения проверки может быть продлен, но не более чем на один месяц.
27. Протокол об административном правонарушении составляется должностным лицом Росприроднадзора или его территориального органа немедленно после выявления совершения административного правонарушения.
28. Если требуется дополнительное выяснение обстоятельств дела, либо сведений о юридическом лице или индивидуальном предпринимателе, в отношении которых возбуждается дело об административном правонарушении, должностное лицо Росприроднадзора или его территориального органа составляет протокол об административном правонарушении в течение двух суток с момента выявления административного правонарушения.
29. Постановление по делу об административном правонарушении не может быть вынесено по истечении двух месяцев со дня совершения административного правонарушения. При длящемся административном правонарушении указанный срок начинает исчисляться со дня обнаружения административного правонарушения.
30. Жалоба на постановление по делу об административном правонарушении рассматривается должностным лицом, уполномоченным на ее рассмотрение, в течение 10 рабочих дней со дня ее поступления со всеми материалами дела в Росприроднадзор или его территориальный орган.
31. Для данной государственной функции отсутствуют основания для приостановления ее исполнения.
32. Перечень должностных лиц Росприроднадзора, осуществляющих федеральный государственный экологический контроль и являющихся федеральными государственными инспекторами в области охраны окружающей среды, определяется в соответствии с постановлением Правительства Российской Федерации от 25 сентября 2008 г. N 716 "О должностных лицах Федеральной службы по надзору в сфере природопользования и ее территориальных органов, осуществляющих федеральный государственный экологический контроль (федеральных государственных инспекторах в области охраны окружающей среды)".
33. Должностные лица Федеральной службы по надзору в сфере природопользования и ее территориальных органов, являющиеся государственными инспекторами по охране природы и осуществляющие федеральный государственный экологический контроль осуществляют государственный контроль за деятельностью в области охраны атмосферного воздуха в соответствии с настоящим Административным регламентом, Административный регламентом Федеральной службы и в соответствии с законодательством Российской Федерации.
34. Должностные лица Росприроднадзора и его территориальных органов при исполнении своих должностных обязанностей в пределах своих полномочий имеют право в установленном порядке:
1) посещать в целях проверки организации, объекты хозяйственной и иной деятельности независимо от форм собственности, в том числе объекты, подлежащие государственной охране, оборонные объекты, объекты гражданской обороны, знакомиться с документами и иными необходимыми для осуществления государственного контроля в области охраны атмосферного воздуха материалами;
2) проверять:
соблюдение стандартов, нормативов, правил и иных требований охраны атмосферного воздуха, в том числе проведение производственного контроля за охраной атмосферного воздуха, а также установленных нормативов выбросов вредных (загрязняющих) веществ в атмосферный воздух и временно согласованных выбросов, предельно допустимых нормативов вредных физических воздействий на атмосферный воздух и других условий, установленных разрешениями на выбросы вредных (загрязняющих) веществ в атмосферный воздух и на вредные физические воздействия на него; выполнение программ и мероприятий по охране атмосферного воздуха;
осуществление мер в соответствии с международными обязательствами Российской Федерации по охране атмосферного воздуха;
выполнение заключений государственной экологической экспертизы;
соблюдение требований, норм и правил в области охраны атмосферного воздуха при размещении, эксплуатации и выводе из эксплуатации производственных и других объектов;
проведение инвентаризации выбросов вредных (загрязняющих) веществ в атмосферный воздух, разработки и утверждения нормативов предельно допустимых выбросов и предельно допустимых нормативов вредных физических воздействий на атмосферный воздух;
внедрение малоотходных и безотходных технологий в целях снижения уровня загрязнения атмосферного воздуха;
полноту и эффективность выполнения организационно-технических и технологических мероприятий по улавливанию, утилизации, обезвреживанию выбросов загрязняющих веществ в атмосферный воздух, с целью сокращения до установленных нормативов выбросов загрязняющих веществ, или исключению таких выбросов;
осуществление мероприятий по предупреждению и устранению аварийных выбросов вредных (загрязняющих) веществ в атмосферный воздух, а также по ликвидации последствий его загрязнения;
осуществление учета вредных воздействий на атмосферный воздух и их источников, в том числе состояние ведения учета в области охраны атмосферного воздуха по установленным формам;
своевременность, достоверность и полноту предоставления государственной статистической отчетности по установленным формам;
наличие и эффективность функционирования предусмотренных правилами охраны атмосферного воздуха сооружений, установок, оборудования, предназначенных для очистки и контроля выбросов загрязняющих веществ в атмосферный воздух, а также контроля за соблюдением установленных правил их эксплуатации;
обеспечение своевременного вывоза загрязняющих атмосферный воздух отходов с территорий объектов хозяйственной и иной деятельности на специализированные места складирования или захоронения таких отходов, а также на другие объекты хозяйственной и иной деятельности, использующие такие отходы в качестве сырья;
выполнение предписаний государственных инспекторов по охране природы, осуществляющих государственный контроль за охраной атмосферного воздуха, об устранении нарушений требований законодательства Российской Федерации в области охраны атмосферного воздуха;
выполнение и эффективность мероприятий по уменьшению выбросов вредных (загрязняющих) веществ в атмосферный воздух при неблагоприятных метеорологических условиях;
соответствие новых технологий, техники, материалов, веществ и другой продукции, а также технологического оборудования и других технических средств установленным требованиям охраны атмосферного воздуха;
наличие и сроки действия выданных в установленном порядке сертификатов, подтверждающих соответствие топлива требованиям охраны атмосферного воздуха;
наличие выданных в установленном порядке сертификатов, подтверждающих соответствие содержания вредных (загрязняющих) веществ в выбросах технических, технологических установок, двигателей, транспортных и иных передвижных средств и установок техническим нормативам выбросов;
организацию и проведение производственного контроля за охраной атмосферного воздуха, в том числе аналитического (инструментального) контроля, и наличие лиц, ответственных за его проведение;
соблюдение иных требований законодательства Российской Федерации в области охраны атмосферного воздуха.
3) предъявлять требования и выдавать предписания юридическим и физическим лицам об устранении нарушения законодательства в области охраны атмосферного воздуха и нарушений требований законодательства, выявленных при осуществлении государственного контроля в области охраны атмосферного воздуха;
4) привлекать к административной ответственности лиц, допустивших нарушение законодательства в области охраны атмосферного воздуха;
5) осуществлять иные, определенные законодательством Российской Федерации полномочия.
35. Должностные лица Росприроднадзора и его территориальных органов обязаны:
предупреждать, выявлять и пресекать нарушения законодательства в области охраны атмосферного воздуха;
разъяснять нарушителям законодательство в области охраны атмосферного воздуха, а также их права и обязанности;
соблюдать требования законодательства.
36. Государственный контроль и надзор за соблюдением требований законодательства Российской Федерации в области охраны атмосферного воздуха осуществляется в форме проверок выполнения юридическими лицами или индивидуальными предпринимателями обязательных экологических требований, установленных федеральными законами и принимаемыми в соответствии с ними иными нормативными правовыми актами (далее - обязательные требования), в установленной сфере деятельности.
37. Государственный контроль и надзор в области охраны атмосферного воздуха проводится в целях обеспечения органами государственной власти Российской Федерации, органами государственной власти субъектов Российской Федерации, органами местного самоуправления, юридическими и физическими лицами исполнения законодательства в области охраны атмосферного воздуха, соблюдения требований, в том числе нормативов и нормативных документов, в области охраны атмосферного воздуха.
38. Росприроднадзор и его территориальные органы осуществляют контроль за соблюдением требований законодательства Российской Федерации в области охраны окружающей среды, в том числе охраны атмосферного воздуха, на объектах, подлежащих федеральному государственному экологическому контролю:
39. Блок-схема исполнения государственной функции приводится в приложении 2 к настоящему Административному регламенту.
40. Государственная функция осуществляется в следующей последовательности:
1) планирование проверок;
2) подготовка к проведению проверки;
3) проведение проверки и оформление ее результатов;
4) рассмотрение дела об административном правонарушении;
5) пересмотр постановлений по делам об административных правонарушениях;
6) исполнение постановления о назначении административного наказания;
7) контроль за устранением нарушений законодательства в области охраны атмосферного воздуха.
41. Юридическими фактами, являющимися основаниями для осуществления проверок, являются:
1) планы контрольно-надзорной деятельности центрального аппарата Росприроднадзора, утвержденные приказами Росприроднадзора;
планы контрольно-надзорной деятельности департаментов Росприроднадзора, утвержденные приказами Росприроднадзора;
планы контрольно-надзорной деятельности территориальных управлений Росприроднадзора, утвержденные приказами Росприроднадзора по согласованию с департаментами Росприроднадзора;
2) жалобы и обращения физических и юридических лиц по вопросам нарушения законодательства в области охраны атмосферного воздуха;
3) обращения органов государственной власти и органов местного самоуправления по вопросам нарушения законодательства в области охраны атмосферного воздуха;
4) акты судебных органов.
Проверка является плановой, если она проводится на основании плана контрольно-надзорной деятельности Росприроднадзора или его территориальных органов. Проверка является внеплановой, если она проводится на основании юридических фактов, указанных в настоящем пункте, и не включена в план проверок.
В отношении одного юридического лица или индивидуального предпринимателя плановая проверка проводится не чаще одного раза в два года.
Ежегодные планы контрольно-надзорной деятельности территориальных органов Росприроднадзора формируются в каждом территориальном органе Росприроднадзора и утверждаются приказами Росприроднадзора по согласованию с департаментами по соответствующему федеральному округу.
Основаниями для проведения внеплановой проверки являются:
контроль исполнения предписаний об устранении выявленных нарушений;
получение информации от юридических лиц, индивидуальных предпринимателей, органов государственной власти о возникновении аварийных ситуаций, об изменениях или о нарушениях технологических процессов, а также о выходе из строя сооружений, оборудования, которые могут непосредственно причинить вред жизни, здоровью людей, окружающей среде и имуществу граждан, юридических лиц и индивидуальных предпринимателей;
возникновения угрозы здоровью и жизни граждан, загрязнения окружающей среды;
обращения граждан, юридических лиц и индивидуальных предпринимателей с жалобами на нарушения их прав и законных интересов действиями (бездействием) иных юридических лиц и (или) индивидуальных предпринимателей, связанные с невыполнением ими обязательных требований, а также иная информация, подтверждаемая документами и иными доказательствами, свидетельствующими о наличии признаков таких нарушений.
Обращения, не позволяющие установить лицо, обратившееся в орган государственного контроля (надзора), не могут служить основанием для проведения внепланового мероприятия по контролю**.
42. С учетом планов контрольно-надзорной деятельности территориальных органов Росприроднадзора в каждом департаменте Росприроднадзора (по федеральным округам) составляются и утверждаются приказами Росприроднадзора планы контрольно-надзорной деятельности по департаментам Росприроднадзора.
43. С учетом планов контрольно-надзорной деятельности департаментов Росприроднадзора составляется план контрольно-надзорной деятельности центрального аппарата Росприроднадзора.
Планы контрольно-надзорной деятельности Росприроднадзора и его территориальных органов в течение 10 рабочих дней с момента утверждения размещаются на официальном сайте Росприроднадзора.
44. Ограничениями для включения в план проведения мероприятий по контролю являются:
проведение мероприятия по контролю в отношении одного юридического лица или индивидуального предпринимателя в течение последних двух лет (в соответствии с п. 4 ст. 7 Федерального закона от 08.08.2001 N 134-ФЗ "О защите прав юридических лиц и индивидуальных предпринимателей при проведении государственного контроля (надзора)"
проведение мероприятия по контролю в отношении субъекта малого предпринимательства только по истечении трех лет с момента его государственной регистрации (в соответствии с п. 4 ст. 7 Федерального закона от 08.08.2001 N 134-ФЗ "О защите прав юридических лиц и индивидуальных предпринимателей при проведении государственного контроля (надзора)"
45. На основании мотивированного обращения территориального органа Росприроднадзора, связанного с невозможностью проведения планового мероприятия по контролю в установленные сроки, допускается внесение изменений в установленные сроки проведения мероприятия по контролю, предусмотренных в годовом плане проведения мероприятий по контролю Росприроднадзора и его территориальных органов.
В план проведения мероприятий по контролю Росприроднадзора и его территориальных органов могут вноситься изменения на следующих основаниях:
создание новых и ликвидация действующих юридических лиц и индивидуальных предпринимателей;
неблагоприятные природные (погодные) условия, действие непреодолимой силы.
В планы проведения территориальными органами Росприроднадзора мероприятий по контролю изменения вносятся приказами департаментов Росприроднадзора в соответствующем федеральном округе.
В планы проведения департаментами Росприроднадзора в соответствующем федеральном округе мероприятий по контролю изменения вносятся приказом Росприроднадзора.
46. В план проведения Росприроднадзором мероприятий по контролю изменения вносятся приказом центрального аппарата Росприроднадзора.
47. В планах проведения мероприятий по контролю указывается:
наименование юридического лица, или фамилия, имя, отчество, гражданина, индивидуального предпринимателя, в отношении которых будет проводиться мероприятие по контролю;
наименование территориального органа Росприроднадзора, осуществляющего плановое мероприятие по контролю и наименование структурного подразделения центрального аппарата Росприроднадзора в случае, если проводится совместная проверка;
структурное подразделение (подразделения), должностное лицо (лица), ответственное за проведение планового мероприятия по контролю;
срок исполнения планового мероприятия по контролю;
должностные лица подведомственных Росприроднадзору, организаций, научных организаций, осуществляющих деятельность в области охраны окружающей среды;
участие в плановом мероприятии по контролю представителей других государственных органов (организаций), общественных объединений, граждан.
48. Результатом административного действия являются:
утверждение плана контрольно-надзорной деятельности центрального аппарата Росприроднадзора;
утверждение планов контрольно-надзорной деятельности департаментов Росприроднадзора по федеральным округам;
утверждение планов контрольно-надзорной деятельности территориальных управлений Росприроднадзора.
49. Способ фиксации результатов выполнения административного действия:
размещение плана контрольно-надзорной деятельности центрального аппарата Росприроднадзора на официальном сайте;
размещение планов контрольно-надзорной деятельности департаментов Росприроднадзора по федеральным округам на официальном сайте (при наличии);
размещение планов контрольно-надзорной деятельности территориальных управлений Росприроднадзора на официальном сайте (при наличии).
50. Планы проверок, предусмотренные планом контрольно-надзорных мероприятий Федеральной службы по надзору в сфере природопользования, утверждаются Руководителем Росприроднадзора ежегодно, не позднее 15 рабочих дней до начала планируемого периода с внесением в них изменений по состоянию на второе полугодие.
Сроки выполнения мероприятий в годовых планах указываются по кварталам.
51. Юридическими фактами, являющимися основанием для подготовки к проведению проверки, являются:
1) планы проведения проверок;
2) поступившие от органов государственной власти, органов местного самоуправления, организаций и граждан документы и иные доказательства, свидетельствующие о наличии признаков нарушений законодательства в области охраны окружающей среды и атмосферного воздуха.
52. При подготовке к проведению проверки выносится распоряжение о проведении проверки (Приложение 3).
53. Распоряжение о проведении проверки подписывается Руководителем Росприроднадзора, либо руководителями его территориального органа в установленном законодательством Российской Федерации порядке.
54. В распоряжении о проведении проверки указываются:
1) номер и дата распоряжения о проведении проверки;
2) наименование территориального органа Росприроднадзора;
3) фамилия, имя, отчество и должность инспектора, уполномоченного на проведение проверки (далее - должностное лицо Росприроднадзора или его территориального органа);
4) наименование юридического лица или фамилия, имя, отчество индивидуального предпринимателя, в отношении которых проводится проверка;
5) цели, задачи и предмет проводимой проверки;
6) правовые основания проведения проверки, в том числе нормативные правовые акты, обязательные требования которых подлежат проверке;
7) дата начала и окончания проверки.
55. При поступлении документов и иных доказательств о нарушении законодательства в области охраны атмосферного воздуха в центральный аппарат Росприроднадзора, ответственный сотрудник Управления экологического контроля готовит поручение в соответствующий территориальный орган, которое подписывает Руководитель Росприроднадзора.
56. Территориальные органы Росприроднадзора при получении поручения (указанного в пункте 55 настоящего Административного регламента) от Управления экологического контроля в течение 3 рабочих дней организуют проведение проверки соблюдения требований законодательства в области охраны окружающей среды и атмосферного воздуха в соответствии с настоящим разделом Административного регламента.
57. После проведения проверки должностное лицо Росприроднадзора или его территориального органа в срок до даты, установленной в поручении (указанного в пункте 55 настоящего Административного регламента) направляет в Управление экологического контроля Росприроднадзора уведомление о результатах проверки.
58. Юридическим фактом, являющимся основанием для начала проверки, является распоряжение о проведении проверки.
59. Проверка осуществляется должностным лицом Росприроднадзора или его территориального органа, указанным в распоряжении, с соблюдением при проведении проверки в отношении юридических, лиц и индивидуальных предпринимателей требований Федерального закона от 08.08.2001 N 134-ФЗ "О защите прав юридических лиц и индивидуальных предпринимателей при проведении государственного контроля (надзора)".
Проверка проводится в сроки, указанные в распоряжении о проведении проверки.
60. Заверенная оттиском печати соответствующего структурного подразделения копия приказа (распоряжения) о проведении проверки предъявляется должностным лицом Росприроднадзора или его территориального органа руководителю или иному должностному лицу юридического лица, либо индивидуальному предпринимателю одновременно со служебным удостоверением.
61. По результатам проведенной проверки составляется акт проверки соблюдения юридическим лицом или индивидуальным предпринимателем законодательства в области охраны окружающей среды и атмосферного воздуха (далее - акт) в двух экземплярах (Приложение 4).
При составлении акта проверки указываются следующие сведения:
1) дата, время и место составления акта проверки;
2) наименование органа государственного контроля (надзора);
3) дата и номер распоряжения, на основании которого проведена проверка;
4) фамилия, имя, отчество должностного лица (лиц) Росприроднадзора, проводившего мероприятие по проверке;
5) наименование проверяемого юридического лица или фамилия, имя, отчество индивидуального предпринимателя, фамилия, имя, отчество, должность представителя юридического лица или представителя индивидуального предпринимателя, присутствовавших при проведении проверки;
Нумерация подпунктов приводится в соответствии с источником
5) дата, время и место проведения проверки;
6) сведения о результатах проверки, в том числе о выявленных нарушениях, об их характере, о лицах, на которых возлагается ответственность за совершение этих нарушений;
7) сведения об ознакомлении или об отказе в ознакомлении с актом представителя юридического лица или индивидуального предпринимателя (его представителя), а также лиц, присутствовавших при проведении проверки, их подписи или отказ от подписи;
8) подпись должностного лица (лиц), осуществившего проверку.
К акту прилагаются акты об отборе образцов (проб) продукции, обследовании объектов окружающей среды, протоколы (заключения) проведенных исследований (испытаний) и экспертиз, объяснения должностных лиц органов государственного контроля (надзора), работников, на которых возлагается ответственность за нарушения обязательных требований, и другие документы или их копий, связанные с результатами мероприятия по контролю.
Проводимые в ходе проверки аналитические (инструментальные) измерения выбросов загрязняющих веществ от источников объекта проверки, состава атмосферного воздуха, содержания в атмосферном воздухе загрязняющих веществ, включают отбор проб и выполнение анализов и осуществляются с целью проверки результатов инвентаризации выбросов загрязняющих веществ в атмосферный воздух и их источников и соответствия количественных и качественных характеристик выделений и выбросов загрязняющих веществ их значениям, указанным в нормативах предельно допустимых выбросов (временно согласованных выбросов) и в разрешении на выброс загрязняющих веществ, а также состояния атмосферного воздуха.
В акте проверки делается запись о наличии или отсутствии нарушений законодательства в области охраны окружающей среды и атмосферного воздуха юридическим лицом или индивидуальным предпринимателем.
Должностное лицо Росприроднадзора или его территориального органа к акту прилагает объяснения лиц, на которых налагается ответственность за совершение нарушений, и другие документы или их копии, имеющие отношение к проверке.
62. Должностное лицо Росприроднадзора или его территориального органа один экземпляр акта с копиями приложений вручает лицу, в отношении которого проводилась проверка, под расписку или направляет посредством почтовой связи с уведомлением о вручении, которое приобщает вместе с экземпляром акта к материалам проверки.
63. Протокол об административном правонарушении (Приложение N 5) составляется должностным лицом Росприроднадзора или его территориального органа в случае выявления в результате проверки административного правонарушения, предусмотренного Кодексом об административных правонарушениях:
статьей 8.5. - сокрытие или искажение экологической информации;
статьей 8.4. - нарушение законодательства об экологической экспертизе;
статьей 8.21. - нарушение правил охраны атмосферного воздуха;
статьей 17.7. - невыполнение законных требований прокурора, следователя, дознавателя или должностного лица, осуществляющего производство по делу об административном правонарушении;
статьей 17.9. Кодекса Российской Федерации об административных правонарушениях (заведомо ложные показание свидетеля, пояснение специалиста, заключение эксперта или заведомо неправильный перевод;
частью 1 статьи 19.4. - неповиновение законному распоряжению должностного лица органа, осуществляющего государственный надзор (контроль);
частью 1 статьи 19.5. - невыполнение в срок законного предписания (постановления, представления, решения) органа (должностного лица), осуществляющего государственный надзор (контроль);
статьей 19.6. - непринятие мер по устранению причин и условий, способствовавших совершению административного правонарушения;
статьей 19.7. - непредставление сведений (информации).
64. Дело об административном правонарушении считается возбужденным с момента:
1) составления протокола осмотра места совершения административного правонарушения;
2) составления первого протокола о применении мер обеспечения производства по делу об административном правонарушении, предусмотренных статьей 27.1 Кодекса Российской Федерации об административных правонарушениях;
3) составления протокола об административном правонарушении или вынесения прокурором постановления о возбуждении дела об административном правонарушении;
4) вынесения определения о возбуждении дела об административном правонарушении при необходимости проведения административного расследования, предусмотренного статьей 28.7 Кодекса Российской Федерации об административных правонарушениях;
5) оформления предупреждения или с момента наложения административного штрафа на месте совершения административного правонарушения в случае, если в соответствии с частью 1 статьи 28.6 Кодекса Российской Федерации об административных правонарушениях протокол об административном правонарушении не составляется;
6) вынесения постановления по делу об административном правонарушении в случае, предусмотренном частью 3 статьи 28.6 Кодекса Российской Федерации об административных правонарушениях.
65. В соответствии с Кодексом Российской Федерации об административных правонарушениях в протоколе об административном правонарушении указываются:
1) дата и место его составления;
2) должность, фамилия и инициалы лица, составившего протокол об административном правонарушении;
3) сведения о лице, в отношении которого возбуждено дело об административном правонарушении;
4) фамилии, имена, отчества, адреса мест жительства свидетелей и потерпевших, если имеются свидетели и потерпевшие;
5) место, время совершения и событие административного правонарушения;
6) статья Кодекса Российской Федерации об административных правонарушениях, предусматривающая административную ответственность за данное административное правонарушение;
7) объяснение индивидуального предпринимателя или законного представителя юридического лица, в отношении которых возбуждено дело;
8) иные сведения, необходимые для разрешения дела.
66. При составлении протокола об административном правонарушении должностное лицо Росприроднадзора или его территориального управления разъясняет индивидуальному предпринимателю или законному представителю юридического лица, в отношении которых возбуждено дело об административном правонарушении, а также иным участникам производства по делу их права и обязанности, предусмотренные Кодексом Российской Федерации об административных правонарушениях, о чем делает запись в протоколе об административном правонарушении.
67. Должностное лицо Росприроднадзора или его территориального органа предоставляет возможность ознакомления с протоколом об административном правонарушении индивидуальному предпринимателю или законному представителю юридического лица, в отношении которых возбуждено дело об административном правонарушении. Указанные лица вправе представить объяснения и замечания по содержанию протокола об административном правонарушении, которые должностное лицо Росприроднадзора или его территориального органа прилагает к протоколу об административном правонарушении.
Протокол об административном правонарушении может быть составлен в отсутствие лица, в отношении которого возбуждается дело об административном правонарушении, если этому лицу было надлежащим образом сообщено о времени и месте его составления, но оно не явилось в назначенный срок и не уведомило о причинах неявки или причины неявки были признаны неуважительными***).
68. Должностное лицо Росприроднадзора или его территориального органа подписывает протокол об административном правонарушении и предоставляет возможность для его подписания индивидуальным предпринимателем или законным представителем юридического лица, в отношении которых возбуждено дело об административном правонарушении.
69. В случае отказа индивидуального предпринимателя или законного представителя юридического лица от подписания протокола об административном правонарушении либо их неявки для его составления должностное лицо Росприроднадзора или его территориального органа делает соответствующую запись в протоколе об административном правонарушении.
70. Должностное лицо Росприроднадзора или его территориального органа вручает копии протокола об административном правонарушении под расписку либо направляет их в течение трех суток со дня его составления индивидуальному предпринимателю или законному представителю юридического лица, в отношении которых возбуждено дело об административном правонарушении, а также потерпевшему.
71. В соответствии с требованиями главы 2 Кодекса Российской Федерации об административных правонарушениях при обнаружении признаков состава административного правонарушения со стороны должностного лица юридического лица к административной ответственности, помимо виновного должностного лица, должностное лицо Росприроднадзора или его территориального управления привлекает и виновное юридическое лицо.
72. Дела об административных правонарушениях, предусмотренных ст. 8.21. Кодекса Российской Федерации об административных правонарушениях (нарушение правил охраны атмосферного воздуха), рассматривают должностные лица, указанные в пунктах 32-38 настоящего Административного регламента.
73. Протокол об административном правонарушении, предусмотренном ст. 8.21. Кодекса Российской Федерации об административных правонарушениях (нарушение правил охраны атмосферного воздуха), совместно с материалами, полученными при проведении проверки, должностным лицом Росприроднадзора или его территориального органа в административное дело, которое в течение 3 рабочих дней с момента составления протокола об административном правонарушении передается для рассмотрения должностным лицам, указанным в пунктах 32-38 настоящего Административного регламента.
74. В случае выявления признаков преступления должностное лицо Росприроднадзора или его территориального органа в течение 3 рабочих дней с момента составления протокола об административном правонарушении передает материалы, указывающие на его наличие, в правоохранительные органы.
75. Процедура подготовки к рассмотрению дела об административном правонарушении осуществляется в соответствии с требованиями главы 29 Кодекса Российской Федерации об административных правонарушениях.
76. Дело об административном правонарушении рассматривается по месту его совершения.
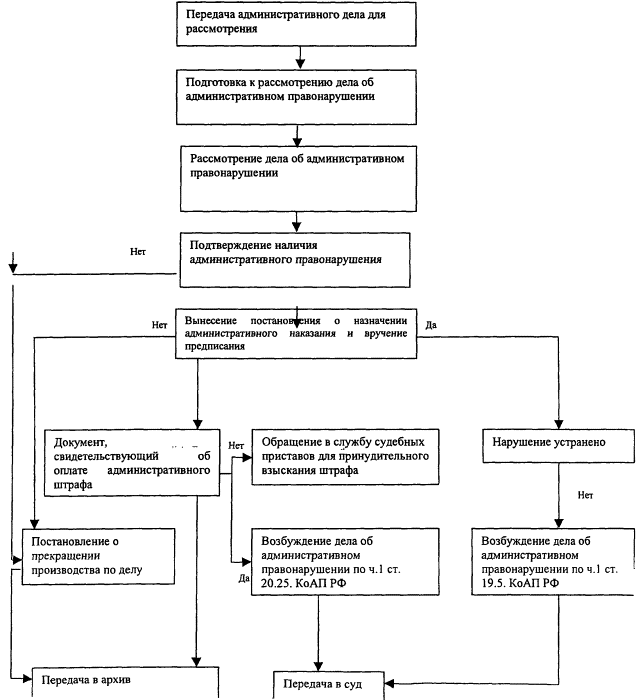
77. По результатам рассмотрения дела об административном правонарушении должностное лицо Росприроднадзора или его территориального органа выносит постановление:
1) о назначении административного наказания (Приложение 6);
2) о прекращении производства по делу об административном правонарушении (Приложение N 8).
Постановление о назначении административного наказания выносится в случае признания лица виновным в совершении правонарушений, указанных в пункте 63 настоящего Административного регламента.
Должностное лицо Росприроднадзора или его территориального управления выносит постановление о прекращении производства по делу об административном правонарушении в случаях:
1) отсутствия события административного правонарушения;
2) действия лица в состоянии крайней необходимости;
3) издания акта амнистии, если такой акт устраняет применение административного наказания;
4) отмены закона, установившего административную ответственность;
5) истечения сроков давности привлечения к административной ответственности;
6) наличия по одному и тому же факту совершения противоправных действий (бездействия) лицом, в отношении которого ведется производство по делу об административном правонарушении, постановления о назначении административного наказания, либо постановления о прекращении производства по делу об административном правонарушении, либо постановления о возбуждении уголовного дела;
78. В постановлении по делу об административном правонарушении указывается (Приложение N 5):
1) должность, фамилия, имя, отчество должностного лица, вынесшего постановление;
2) дата и место рассмотрения дела;
3) сведения о лице, в отношении которого рассмотрено дело;
4) обстоятельства, установленные при рассмотрении дела;
5) статья Кодекса Российской Федерации об административных правонарушениях, предусматривающая административную ответственность за совершение административного правонарушения, либо основания прекращения производства по делу;
6) мотивированное решение по делу;
7) срок и порядок обжалования постановления;
8) информация о получателе штрафа, необходимая для заполнения расчетных документов на перечисление суммы административного штрафа.
79. Постановление по делу об административном правонарушении подписывается должностным лицом Росприроднадзора или его территориального управления, рассматривающим дело об административном правонарушении, и заверяется оттиском печати территориального управления Росприроднадзора, его вынесшего.
80. Постановление по делу об административном правонарушении объявляется должностным лицом Росприроднадзора или его территориального органа немедленно по окончании рассмотрения дела.
Постановление по делу об административном правонарушении регистрируется должностными лицами структурного подразделения территориального органа Росприроднадзора, ответственного за делопроизводство, не позднее рабочего дня, следующего за днем подписи соответствующего постановления. С оригинала оформленного и подготовленного к выдаче постановления по делу об административном правонарушении снимается ксерокопия для архивного хранения.
81. Выдача копии постановления по делу об административном правонарушении осуществляется заявителю либо его представителю (по доверенности) лично в руки либо отправкой по почте (с уведомлением о вручении).
82. Второй экземпляр постановления по делу об административном правонарушении, хранится в структурном подразделении территориального органа Росприроднадзора, ответственном за делопроизводство территориального органа Росприроднадзора.
83. Одновременно с постановлением о назначении административного наказания должностное лицо Росприроднадзора или его территориального органа выносит предписание об устранении нарушения законодательства в области охраны атмосферного воздуха с установлением срока устранения нарушения (Приложение 7).
Предписание направляется индивидуальному предпринимателю или законному представителю юридического лица, в отношении которых оно вынесено, одновременно с постановлением о привлечении к административной ответственности.
84. При установлении причин административного правонарушения и условий, способствовавших его совершению, должностное лицо, рассматривающее дело об административном правонарушении, составляет представление о принятии мер по устранению указанных причин и условий (Приложение 9).
Представление направляется индивидуальному предпринимателю или законному представителю юридического лица, в отношении которых оно вынесено, одновременно с постановлением о привлечении к административной ответственности.
85. Порядок обжалования постановлений по делам об административных правонарушениях установлен главой 30 Кодекса Российской Федерации об административных правонарушениях.
86. В случае поступления жалобы к должностному лицу Росприроднадзора (территориального органа), вынесшему постановление по делу об административном правонарушении, указанное должностное лицо в течение трех суток со дня поступления жалобы направляет ее со всеми материалами дела вышестоящему должностному лицу (в вышестоящий орган).
87. В случае, если рассмотрение жалобы не относится к компетенции должностного лица, жалоба направляется на рассмотрение по подведомственности в течение трех суток.
88. Жалоба на постановление по делу об административном правонарушении рассматривается правомочным должностным лицом единолично.
89. В случае наличия уважительных причин пропуска установленного срока, должностное лицо, правомочное рассматривать жалобу восстанавливает пропущенный срок.
90. Жалоба на постановление по делу об административном правонарушении рассматривается должностным лицом, правомочным рассматривать жалобу, в десятидневный срок со дня ее поступления в Росприроднадзор или его территориальный орган со всеми материалами дела.
91. При рассмотрении жалобы на постановление по делу об административном правонарушении должностное лицо, правомочное рассматривать жалобу:
1) объявляет, кто рассматривает жалобу, какая жалоба подлежит рассмотрению, кем подана жалоба;
2) устанавливает явку индивидуального предпринимателя или законного представителя юридического лица, в отношении которых вынесено постановление по делу, а также явку вызванных для участия в рассмотрении жалобы лиц;
3) проверяет полномочия представителей индивидуального предпринимателя или юридического лица;
4) выясняет причины неявки участников производства по делу и принимает решение о рассмотрении жалобы в отсутствие указанных лиц либо об отложении рассмотрения жалобы;
5) разъясняет права и обязанности лиц, участвующих в рассмотрении жалобы;
6) разрешает заявленные отводы и ходатайства;
7) оглашает жалобу на постановление по делу об административном правонарушении;
8) проверяет на основании имеющихся в деле и дополнительно представленных материалов законность и обоснованность вынесенного постановления, в частности, заслушивает объяснения индивидуального предпринимателя или законного представителя юридического лица, в отношении которых вынесено постановление по делу об административном правонарушении; при необходимости заслушивает показания других лиц, участвующих в рассмотрении жалобы, пояснения специалиста и заключение эксперта, исследует иные доказательства, осуществляет другие процессуальные действия, предусмотренные Кодексом Российской Федерации об административных правонарушениях.
92. По результатам рассмотрения жалобы на постановление по делу об административном правонарушении должностное лицо, правомочное рассматривать жалобу выносит одно из следующих решений:
1) об оставлении постановления без изменения, а жалобы без удовлетворения;
2) об изменении постановления, если при этом не усиливается административное наказание или иным образом не ухудшается положение лица, в отношении которого вынесено постановление;
3) об отмене постановления и о прекращении производства по делу при наличии хотя бы одного из следующих обстоятельств:
отсутствие события административного правонарушения;
отсутствие состава административного правонарушения, в том числе недостижение физическим лицом на момент совершения противоправных действий (бездействия) возраста 16 лет или невменяемость физического лица, совершившего противоправные действия (бездействие);
действия лица в состоянии крайней необходимости;
издание акта амнистии, если такой акт устраняет применение административного наказания;
отмена закона, установившего административную ответственность;
истечение сроков давности привлечения к административной ответственности;
наличие по одному и тому же факту совершения противоправных действий (бездействия) лицом, в отношении которого вынесено постановление о назначении административного наказания, ранее вынесенного постановления о назначении административного наказания, либо постановления о прекращении производства по делу об административном правонарушении, либо постановления о возбуждении уголовного дела;
недоказанность обстоятельств, на основании которых было вынесено постановление;
4) об отмене постановления и о возвращении дела на новое рассмотрение должностному лицу, правомочному рассмотреть дело, в случаях существенного нарушения процессуальных требований, предусмотренных Кодексом Российской Федерации об административных правонарушениях, если это не позволило всесторонне, полно и объективно рассмотреть дело, а также в связи с необходимостью применения закона об административном правонарушении, влекущем назначение более строгого административного наказания, если потерпевшим по делу подана жалоба на мягкость примененного административного наказания;
5) об отмене постановления и о направлении дела на рассмотрение по подведомственности, если при рассмотрении жалобы установлено, что постановление было вынесено неправомочным должностным лицом.
93. Решение по результатам рассмотрения жалобы на постановление по делу об административном правонарушении должно содержать следующие сведения:
1) должность, фамилия, имя, отчество должностного лица, рассмотревшего жалобу на постановление;
2) дата и место рассмотрения жалобы на постановление;
3) сведения о лице, в отношении которого рассмотрена жалоба на постановление;
4) обстоятельства, установленные при рассмотрении жалобы на постановление;
5) статья Кодекса Российской Федерации об административных правонарушениях, предусматривающая административную ответственность за совершение административного правонарушения, либо основания отмены вынесенного постановления о назначении административного наказания;
6) мотивированное решение по жалобе на постановление;
7) срок и порядок обжалования решения по жалобе на постановление.
94. Решение по жалобе на постановление по делу об административном правонарушении оглашается должностным лицом, правомочным рассматривать жалобу, немедленно после его вынесения.
Копия решения по жалобе регистрируется должностными лицами структурного подразделения территориального управления Росприроднадзора, ответственного за делопроизводство, не позднее рабочего дня, следующего за днем подписи соответствующего решения. С оригинала оформленного и подготовленного к выдаче решения по жалобе снимается ксерокопия для архивного хранения.
95. Выдача копии решения по жалобе осуществляется заявителю либо его представителю (по доверенности) лично в руки либо отправкой по почте (с уведомлением о вручении).
96. Второй экземпляр решения по жалобе, хранится в структурном подразделении территориального управления Росприроднадзора, ответственном за делопроизводство территориального органа Росприроднадзора.
97. Порядок исполнения постановлений по делу об административном правонарушении определен главами 31 и 32 Кодекса Российской Федерации об административных правонарушениях.
98. Постановление по делу об административном правонарушении вступает в законную силу:
1) после истечения десятидневного срока, установленного для обжалования постановления, если указанное постановление не было обжаловано или опротестовано;
2) после истечения срока, установленного для обжалования решения по жалобе, протесту, если указанное решение не было обжаловано или опротестовано, за исключением случаев, если решением отменяется вынесенное постановление;
3) немедленно после вынесения не подлежащего обжалованию решения по жалобе, протесту, за исключением случаев, если решением отменяется вынесенное постановление.
99. Постановление по делу об административном правонарушении обязательно для исполнения всеми органами государственной власти, органами местного самоуправления, должностными лицами, гражданами и их объединениями, юридическими лицами.
Постановление по делу об административном правонарушении подлежит исполнению с момента его вступления в законную силу.
100. Административный штраф должен быть уплачен лицом, привлеченным к административной ответственности, не позднее тридцати дней со дня вступления постановления о наложении административного наказания в законную силу либо со дня истечения срока отсрочки или срока рассрочки.
101. При отсутствии документа, свидетельствующего об уплате административного штрафа, должностное лицо Росприроднадзора или его территориального органа, вынесшее постановление о назначении административного наказания, направляет соответствующие материалы судебному приставу-исполнителю для взыскания суммы административного штрафа в порядке, предусмотренном законодательством об исполнительном производстве.
В случае выявления факта неуплаты административного штрафа в течение тридцати дней с момента вступления в силу постановления о назначении административного наказания лицо, вынесшее постановление о назначении административного наказания, составляет протокол об административном правонарушении по ч. 1 ст. 20.25 Кодекса Российской Федерации об административных правонарушениях в порядке, указанном в пунктах 63 - 73 настоящего Административного регламента, и передает его для рассмотрения в суд.
102. Постановление о назначении административного наказания не подлежит исполнению в случае, если оно не было приведено в исполнение в течение года со дня его вступления в законную силу.
103. В течение 15 рабочих дней с момента истечения срока устранения нарушения требований законодательства в области нарушения правил охраны атмосферного воздуха, установленного предписанием об устранении нарушения законодательства в области нарушения правил охраны атмосферного воздуха, должностное лицо, выдавшее указанное предписание, проводит проверку устранения ранее выявленного нарушения.
104. В случае поступления от индивидуального предпринимателя или законного представителя юридического лица ходатайства о продлении срока устранения нарушения законодательства в области охраны атмосферного воздуха должностное лицо, выдавшее предписание, рассматривает поступившее ходатайство и выносит решение:
1) о продлении срока устранения нарушения законодательства в области нарушение правил охраны атмосферного воздуха;
2) об отклонении ходатайства и оставлении срока устранения нарушения законодательства в области охраны атмосферного воздуха без изменения.
105. При устранении допущенного нарушения должностное лицо, выдавшее предписание, составляет акт проверки соблюдения законодательства в области охраны атмосферного воздуха с приложением документов, подтверждающих устранение нарушения законодательства в области охраны атмосферного воздуха.
106. В случае неустранения нарушения законодательства в области охраны атмосферного воздуха должностное лицо, выдавшее предписание, одновременно с актом составляет протокол об административном правонарушении за правонарушение, предусмотренное ч. 1 ст. 19.5 Кодекса Российской Федерации об административных правонарушениях, в порядке, указанном в пунктах 63-73 настоящего Административного регламента, и в составе административного дела направляет его на рассмотрение в суд (мировой суд) в течение трех суток с момента составления.
107. Дела об административных правонарушениях формируются должностными лицами, правомочными рассматривать дела об административных правонарушениях, в соответствующих структурных подразделениях Росприроднадзора (территориального управления).
108. Дела об административных правонарушениях формируются из подлинных документов либо их копий, заверенных оттиском печати управления (подразделения), в хронологическом и логическом порядке.
109. Исполненные и законченные делопроизводством документы в 10-дневный срок сдаются должностными лицами, правомочными рассматривать дела об административных правонарушениях, лицам, ответственным за ведение делопроизводства в структурных подразделениях, для формирования их в дела.
110. Формирование дел об административных правонарушениях осуществляется в порядке, установленном Типовой инструкцией по делопроизводству в федеральных органах исполнительной власти, утв. Приказом Минкультуры России от 08.11.2005 N 536 (Зарегистрировано в Минюсте Российской Федерации 27.01.2006 N 7418) (Бюллетень нормативных актов федеральных органов исполнительной власти, N 10, 2006), иными нормативными правовыми актами Российской Федерации в сфере архивного дела.
111. Текущий контроль за соблюдением последовательности действий, определенных административными процедурами по исполнению государственной функции, осуществляется должностными лицами Росприроднадзора и его территориальных органов, ответственными за организацию работы по исполнению государственной функции.
112. Должностные лица, ответственные за исполнение государственной функции, несут персональную ответственность за соблюдение порядка исполнения государственной функции.
113. Персональная ответственность должностных лиц Росприроднадзора и его территориальных органов, ответственных за исполнение государственной функции, закрепляется в их должностных регламентах в соответствии с требованиями законодательства.
114. Перечень должностных лиц, осуществляющих текущий контроль, устанавливается приказами руководителя Росприроднадзора (территориальных управлений Росприроднадзора).
115. Текущий контроль осуществляется путем проведения должностным лицом, ответственным за организацию работы по исполнению государственной функции, проверок соблюдения и исполнения специалистами положений Административного регламента, иных нормативных правовых актов Российской Федерации.
Периодичность осуществления текущего контроля устанавливается руководителем Росприроднадзора (территориального органа Росприроднадзора).
116. Контрольное управление центрального аппарата организует и осуществляет контроль за исполнением государственной функции территориальными управлениями и структурными подразделениями центрального аппарата.
Контроль за полнотой и качеством исполнения государственной функции включает в себя проведение проверок, выявление и устранение нарушений прав заявителей, рассмотрение, принятие решений и подготовку ответов на обращения заявителей, содержащих жалобы на действия (бездействие) должностных лиц центрального аппарата Росприроднадзора и его территориальных органов.
По результатам проведенных проверок должностные лица Контрольного управления центрального аппарата в случае выявления нарушений прав заявителей виновные лица привлекаются к ответственности в порядке, установленном законодательством Российской Федерации.
117. Проверки могут быть плановыми (осуществляться на основании годовых планов работы Росприроднадзора) и внеплановыми. При проверке могут рассматриваться все вопросы, связанные с исполнением государственной функции (комплексные проверки), или вопросы, связанные с исполнением той или иной административной процедуры (тематические проверки). Проверка также может проводиться по конкретному обращению заявителя.
118. Заявитель имеет право на обжалование решений, действий (бездействия) должностных лиц центрального аппарата, территориальных управлений в досудебном порядке:
1) жалобы на постановления по делам об административных правонарушениях рассматриваются в порядке, установленном главой 30 Кодекса Российской Федерации об административных правонарушениях и пунктами 85 - 96 настоящего Административного регламента;
2) жалобы на иные решения, действия (бездействие) должностных лиц, осуществляемые (принятые) в ходе исполнения государственной функции рассматриваются в порядке, установленном разделом V настоящего Административного регламента в соответствии с законодательством Российской Федерации.
119. Основаниями для отказа в рассмотрении жалобы являются:
1) если в жалобе не указаны фамилия (наименование) заявителя, направившего обращение, и почтовый адрес, по которому должен быть направлен ответ;
2) если в жалобе содержатся нецензурные либо оскорбительные выражения, угрозы жизни, здоровью и имуществу должностного лица, а также членов его семьи;
3) если текст жалобы, фамилия (наименование) и (или) почтовый адрес заявителя не поддаются прочтению;
4) если в письменном обращении заявителя содержится вопрос, на который заявителю многократно давались письменные ответы по существу в связи с ранее направляемыми обращениями, и при этом в обращении не приводятся новые доводы или обстоятельства;
120. Ответственное должностное лицо направляет заявителю письменный ответ об отказе в рассмотрении жалобы с указанием причины такого отказа.
121. С согласия Заявителя обжалование действий (бездействий) должностных лиц при выполнении конкретных административных процедур (или административных действий), предусмотренных настоящим Административным регламентом, допускается в упрощенном порядке в соответствии с настоящим Административным регламентом.
122. Заявитель имеет право обратиться с жалобой лично или направить ее в письменном виде.
123. Руководители и должностные лица Росприроднадзора и его территориальных органов, участвующие в исполнении государственной функции, проводят личный прием заявителя и рассматривают поступившие в устном порядке жалобы в течение 1 дня. Содержание устной жалобы заносится в карточку личного приема заявителя. О результатах рассмотрения устной жалобы должностное лицо, которое проводило прием заявителя, сообщает в устной форме или по телефону заявителя в случае если изложенные в устном обращении факты и обстоятельства являются очевидными и не требуют дополнительной проверки. В остальных случаях дается письменный ответ по существу поставленных в жалобе вопросов.
124. Информация о месте приема, а также об установленных для приема днях и часах размещается на информационных стендах территориальных управлений Росприроднадзора и официальном сайте территориальных органов Росприроднадзора (при наличии сайта).
125. При обращении заявителя в письменной форме с жалобой на действия должностных лиц в рамках осуществления конкретной административной процедуры (административного действия) жалоба рассматривается в течение 30 дней со дня регистрации письменного обращения (жалобы).
126. В случае если по обращению (жалобе) заявителя требуется провести, проверку или обследование, заявитель информируется о невозможности рассмотрения жалобы в упрощенном порядке и жалоба рассматривается в общем порядке, установленном Федеральным законом от 2 мая 2006 г. N 59-ФЗ "О порядке рассмотрения обращений граждан Российской Федерации".
127. Жалоба заявителя в письменной форме должна содержать следующую информацию:
наименование государственного органа, в который направляется письменная жалоба, либо фамилию, имя, отчество, должность соответствующего должностного лица;
фамилию, имя, отчество гражданина (последнее - при наличии), наименование юридического лица, которым подается жалоба, почтовый адрес, по которому должен быть направлен ответ;
суть обжалуемого действия (бездействия) при исполнении конкретных административных процедур, установленных настоящим Административным регламентом;
причины несогласия с обжалуемым действием (бездействием);
обстоятельства, на основании которых заявитель считает, что нарушены его права, свободы и законные интересы, созданы препятствия к их реализации либо незаконно возложена какая-либо обязанность в связи с исполнением должностными лицами территориального управления Росприроднадзора административных процедур (административных действий), установленных настоящим Административным регламентом;
иные сведения, которые заявитель считает необходимым сообщить.
В случае необходимости в подтверждение своих доводов к жалобе прилагаются документы и материалы либо их копии. В таком случае в жалобе приводится перечень прилагаемых к ней документов.
Жалоба подписывается подавшим ее лицом.
128. Схема направления заявителем жалоб, связанных с выполнением административных процедур (административных действий), установленных настоящим Административным регламентом:
жалоба на действия (бездействия) должностных лиц территориального органа Росприроднадзора - руководителю территориального органа Росприроднадзора;
жалоба на действия (бездействия) руководителя территориального органа Росприроднадзора - заместителю руководителя Росприроднадзора, курирующему (или контролирующему) исполнение данной государственной функции территориальными органами.
жалоба на действия (бездействия) - Руководителя Росприроднадзора, его заместителей, должностных лиц Росприроднадзора - Министру природных ресурсов и экологии Российской Федерации.
129. При обращении заявителя в письменной форме срок рассмотрения письменного обращения не должен превышать 30 дней с момента регистрации такого обращения.
В исключительных случаях, а также в случае направления запроса другим государственным органам, органам местного самоуправления и иным должностным лицам для получения необходимых для рассмотрения обращения документов и материалов руководитель Росприроднадзора (органа), иное уполномоченное на то должностное лицо вправе продлить срок рассмотрения жалобы не более чем на 30 дней, уведомив о продлении срока его рассмотрения заявителя.
130. По результатам рассмотрения жалобы должностное лицо, ответственный или уполномоченный работник принимает следующие решения:
1) об удовлетворении требований заявителя и о признании неправомерным действия (бездействия);
2) об отказе в удовлетворении жалобы.
Письменный ответ, содержащий результаты рассмотрения жалобы, направляется заявителю.
131. Действия (бездействия) должностных лиц при выполнении административных процедур (административных действий), установленных настоящим Административным регламентом, обжалование которых допускается в упрощенном порядке:
нарушение сроков, установленных для административных процедур в соответствии с настоящим Административным регламентом;
непредоставление информации о должностном лице, исполняющем административную процедуру, иной информации, связанной с выполнением государственной функции, в соответствии с настоящим Административным регламентом;
некорректное поведение должностного лица по отношению к Заявителю;
предъявление к Заявителю излишних или дополнительных требований, не предусмотренных настоящим Административным регламентом или иным нормативным правовым актом, регламентирующим данные вопросы.
132. Заявитель имеет право на обжалование решений, действий (бездействия) должностных лиц центрального аппарата, территориальных управлений в суд общей юрисдикции, арбитражный суд.
_____________________________
* Федеральный закон от 30 марта 1999 г. N 52-ФЗ "О санитарно-эпидемиологическом благополучии населения" (Собрание законодательства Российской Федерации, 1999, N 14, ст. 1650; 2002, N 1 (ч. I), ст. 2; 2003, N 2, ст. 167; 2003, N 27 (ч. I), ст. 2700; 2004, N 35, ст. 3607; 2005, N 19, ст. 1752; 2006, N 1, ст. 10; 2006, N 52 (ч. I). ст. 5498; 2007, N 1 (ч. I), ст. 21, 29; 2007, N 27, ст. 3213); Постановление Главного государственного санитарного врача Российской Федерации от 3 июня 2003 г. N 118 "О введении в действие санитарно-эпидемиологических правил и нормативов СанПиН 2.2.2/2.4.1340-03" (зарегистрировано в Минюсте России 10 июня 2003 г., регистрационный N 4673) (в редакции Постановления Главного государственного санитарного врача Российской Федерации от 25 апреля 2007 г. N 22 "Об утверждении СанПиН 2.2.2/2.4.2198-07" (зарегистрировано в Минюсте России 17 июня 2007 г., регистрационный N 9615).
** Пункт 5 статьи 7 Федерального закона от 8 августа 2001 г. N 134-ФЗ "О защите прав юридических лиц и индивидуальных предпринимателей при проведении государственного контроля (надзора)" (Собрание законодательства Российской Федерации, 13.08.2001, N 33 (часть I), ст. 3436.
*** Пункт 4 Постановления Пленума Верховного Суда Российской Федерации от 24 марта 2005 г. N 5 "О некоторых вопросах, возникающих у судов при применении Кодекса Российской Федерации об административных правонарушениях (Собрание законодательства Российской Федерации, 2002, N 1, ст. 1.)
к Административному регламенту
Федеральной службы по надзору
в сфере природопользования по
исполнению государственной функции
по осуществлению государственного
контроля за деятельностью в области
охраны атмосферного воздуха
|
N п/п |
Наименование территориального органа |
Адрес |
Факс, Телефон |
|
1. |
Департамент Росприроднадзора по Центральному федеральному округу |
Варшавское шоссе, 39а, г. Москва, 117105 |
8-499-611-04-38 т/факс 8-499-611-21-41 т/факс - общий |
|
2. |
Управление Росприроднадзора по Белгородской области |
ул. Богдана Хмельницкого, 86, корп. Б, г. Белгород, 308007 |
(4722)26-44-34 приемная |
|
3. |
Управление Росприроднадзора по Брянской области |
Переулок Осовиахима, 3г, г. Брянск, 241019 |
(4832)74-27-93 |
|
4. |
Управление Росприроднадзора по Владимирской области |
ул. 2-я Никольская, 8, г. Владимир, 600000 |
(4922)32-33-66 32-46-84 |
|
5. |
Управление Росприроднадзора по Воронежской области |
ул. Ломоносова, 105, г. Воронеж, 394087 |
(4732)35-71-21 |
|
6. |
Управление Росприроднадзора по Ивановской области |
ул. Дзержинского, 8, г. Иваново, 153025 |
(4932)32-74-72 |
|
7. |
Управление Росприроднадзора по Калужской области |
пер. Старичков, 2а, г. Калуга, 248620 |
(4842)12-47-11 |
|
8. |
Управление Росприроднадзора по Костромской области |
ул. Коммунаров, 22, г. Кострома, 156003 |
(4942)55-80-43 |
|
9. |
Управление Росприроднадзора по Курской области |
ул. Карла Маркса, 53, г. Курск, 305029 |
(4712)53-23-05 |
|
10. |
Управление Росприроднадзора по Липецкой области |
ул. Адмирала Макарова, 1"Г", г. Липецк, 398005 |
(4742)43-13-17 приемная |
|
11. |
Управление Росприроднадзора по Орловской области |
ул. Комсомольская, 33, г. Орел, 302001 |
(4862)77-77-30 |
|
12. |
Управление Росприроднадзора по Рязанской области |
Московское шоссе, 12, г. Рязань, 390044 |
(4912)55-87-42 |
|
13. |
Управление Росприроднадзора по Смоленской области |
ул. Николаева, 12 - , г. Смоленск, 214004 |
(4812)38-92-52 (4812)38-46-90 ОК |
|
14. |
Управление Росприроднадзора по Тамбовской области |
пл. Кронтштадтская, 7а, г. Тамбов, 392036 |
(4752)72-00-40 |
|
15. |
Управление Росприроднадзора по Тверской области |
Волоколамский пр-т, 3, г. Тверь, 170000 |
(4822)36-09-66 |
|
16. |
Управление Росприроднадзора по Тульской области |
пр-т Ленина, 38, г. Тула, 300041 |
(4872)36-44-83 |
|
17. |
Управление Росприроднадзора по Ярославской области |
ул. Красноборская, 8, г. Ярославль, 150051 |
(4852)24-83-68 |
|
18. |
Департамент Росприроднадзора по Северо-Западному ФО |
ул. Одоевского, 24, к. 1, г. Санкт-Петербург, а/я 317, 199155 |
(812)350-95-23 (812)352-24-17 - Ирина Саидовна (помощник Обуховского) |
|
19. |
Управление Росприроднадзора по Республике Карелия |
ул. Дзержинского, 9, г. Петрозаводск, 185035 |
(8142)78-46-79 |
|
20. |
Управление Росприроднадзора по Республике Коми |
ул. Интернациональная, 152, г. Сыктывкар, 167982 |
(8212)21-52-39 |
|
21. |
Управление Росприроднадзора по Архангельской области |
Троицкий пр., 14, г. Архангельск, 163061 |
(8182)20-46-90 |
|
22. |
Управление Росприроднадзора по Вологодской области |
ул. Зосимовская, 65, г. Вологда, 160035 |
(8172)75-31-36 |
|
23. |
Управление Росприроднадзора по Калининградской области |
ул. Офицерская, 6, г. Калининград, 236000 |
(4012)93-04-28 |
|
24. |
Управление Росприроднадзора по Ленинградской области |
Литейный пр-т, 39, г. Санкт-Петербург, 191014 |
(812)579-84-94 |
|
25. |
Управление Росприроднадзора по Мурманской области |
Кольский пр-т, 24а, г. Мурманск, 183042 |
(8152)23-10-26 |
|
26. |
Управление Росприроднадзора по Новгородской области |
пр-т Мира, 22/25, г. Великий Новгород, 173025 |
(8162)61-55-19 |
|
27 |
Управление Росприроднадзора по Псковской области |
ул. Конная, 10, г. Псков, 180007 |
(8112)44-18-37 72-36-59 |
|
28. |
Управление Росприроднадзора по г. Санкт-Петербург |
Литейный пр-т, 39, г. Санкт-Петербург, 191104 |
(812)275-30-93 |
|
29. |
Управление Росприроднадзора по Ненецкому АО |
ул. Рабочая, 39а, г. Нарьян-Мар, 166001 |
(81853)4-15-91, 4-24-14 |
|
30. |
Департамент Росприроднадзора по Южному ФО |
пр-т Стачки, 200/1, корп. 3, г. Ростов-на-Дону, 344090 |
(8632)97-50-14 |
|
31. |
Управление Росприроднадзора по Республике Адыгея |
ул. Гагарина, 52, г. Майкоп, 385000 |
(8772)22-12-53 |
|
32. |
Управление Росприроднадзора по Республике Дагестан |
ул. Буганова, 17б, г. Махачкала, 367027 |
(8722)64-64-16 |
|
33. |
Управление Росприроднадзора по Республике Ингушетия |
ул. Сейнароева, 122, ст. Орджоникидзевская, 386202 |
(8734)72-13-26 |
|
34. |
Управление Росприроднадзора по Кабардино-Балкарской Республике |
ул. Тарчокова, 18, Республика КБР, г. Нальчик, 360030 |
(8662)40-03-64 |
|
35. |
Управление Росприроднадзора по Республике Калмыкия |
ул. Лермонтова, 4, г. Элиста, 358000 |
(84722)2-29-11 |
|
36. |
Управление Росприроднадзора по Карачаево-Черкесской Республике |
ул. Гагарина, 17, г. Черкесск, 369000 |
(87822)6-68-43 |
|
37. |
Управление Росприроднадзора по Республике Северная Осетия-Алания |
ул. Иристонская, 25, г. Владикавказ, 362021 |
(8672)74-80-48 |
|
38. |
Управление Росприроднадзора по Чеченской Республике |
ул. Презжая, 7, г. Гудермес, 366900 |
(87152)2-22-93 |
|
39. |
Управление Росприроднадзора по Краснодарскому краю |
ул. Красная, 19, г. Краснодар, 350063 |
(861)268-42-70 |
|
40. |
Управление Росприроднадзора по Ставропольскому краю |
ул. Голенева, 18, г. Ставрополь, 355006 |
(8652)95-62-24 |
|
41. |
Управление Росприроднадзора по Астраханской области |
ул. Бакинская, 113, г. Астрахань, 414000 |
(8512)39-19-43 |
|
42. |
Управление Росприроднадзора по Волгоградской области |
ул. Профсоюзная, 30, г. Волгоград, 400001 |
(8442)94-80-00 97-08-95 94-08-96 |
|
43. |
Управление Росприроднадзора по Ростовской области |
ул. Зеленая, 1а, г. Ростов-на-Дону, 344046 |
(8632)52-19-53 |
|
44. |
Департамент Росприроднадзора по Приволжскому ФО |
ул. Бульвар Мира, 11а, г. Нижний Новгород, 603086 |
(831)246-55-97 |
|
45. |
Управление Росприроднадзора по Республике Башкортостан |
ул. Менделеева, 148, г. Уфа, 450080 |
(347)228-98-75 |
|
46. |
Управление Росприроднадзора по Республике Марий Эл |
Ленинский пр-т, 24а, г. Йошкар-Ола, 424000 |
(8362)42-48-79 |
|
47. |
Управление Росприроднадзора по Республике Мордовия |
ул. Коммунистическая, 33, корп. 3, к. 319, г. Саранск, 433000 |
(8342)32-77-30 |
|
48. |
Управление Росприроднадзора по Республике Татарстан |
ул. Эсперанто, д. 15, г. Казань, 420049 |
(843)277-12-33 |
|
49. |
Управление Росприроднадзора по Удмуртской Республике |
ул. Баранова, 88, г. Ижевск, 426006 |
(3412)61-60-74 |
|
50. |
Управление Росприроднадзора по Чувашской Республике |
пр-т Мира, 90, корп. 2, г. Чебоксары, 428024 |
(8352)28-76-63 |
|
51. |
Управление Росприроднадзора по Кировской области |
ул. Воровского, 78, г. Киров, 610035 |
(8332)57-17-15 |
|
52. |
Управление Росприроднадзора по Нижегородской области |
ул. Горького, 150, г. Нижний Новгород, 603600 |
(831)211-29-54 |
|
53. |
Управление Росприроднадзора по Оренбургской области |
ул. 10-я Линия, 2а, г. Оренбург, 460040 |
(3532)70-73-84 |
|
54. |
Управление Росприроднадзора по Пензенской области |
ул. Пушкина, 167 - , г. Пенза, 440018 |
(8412)48-27-20 |
|
55. |
Управление Росприроднадзора по Пермскому краю |
ул. Крылова, 34, г. Пермь, 614081 сек. Пермякова Елена Викторовна |
(342)225-83-45 |
|
56. |
Управление Росприроднадзора по Самарской области |
ул. Красноармейская, 21, к. 505, г. Самара, 443010 |
(846)270-41-82; 270-41-83 |
|
57. |
Управление Росприроднадзора по Саратовской области |
ул. Московская, 70, г. Саратов, 410600 |
(8452)27-57-57 |
|
58. |
Управление Росприроднадзора по Ульяновской области |
ул. Подлесная, 24, г. Ульяновск, 432030 |
(8422)46-83-34 |
|
59. |
Департамент Росприроднадзора по Уральскому ФО |
ул. Вайнера, 55, г. Екатеринбург, 620014 |
(343)257-22-81 |
|
60. |
Управление Росприроднадзора по Челябинской области |
ул. Елькина, 75, г. Челябинск, 454092 |
(351)237-49-98 237-80-09 - канцелярия |
|
61. |
Управление Росприроднадзора по Курганской области |
ул. Сибирская, 3а, г. Курган, 640006 |
(3522)53-16-23 |
|
62. |
Управление Росприроднадзора по Свердловской области |
ул. Мамина Сибиряка, 36, г. Екатеринбург, 620027 |
(343)355-23-70 (343)355-25-49 - помощник руководителя Левина Людмила Федоровна |
|
63. |
Управление Росприроднадзора по Тюменской области |
ул. Республики, 55, г. Тюмень, 625000 |
(3452)39-09-40 39-07-99 |
|
64. |
Управление Росприроднадзора по Ханты-Мансийскому АО |
ул. Студенческая, 2, г. Ханты-Мансийск, 628012 Зам. Викторов Сергей Николаевич |
(34671)2-78-93 2-78-79 т/ф 2-78-82 3-72-26 |
|
65. |
Управление Росприроднадзора по Ямало-Ненецкому АО |
ул. Мира, 40, г. Салехард, 629008 |
(34922)4-40-68 ? 4-51-30 приемная |
|
66. |
Департамент Росприроднадзора по Сибирскому ФО |
ул. Романова, 28, г. Новосибирск, 630099 |
(383)222-44-10 |
|
67. |
Управление Росприроднадзора по Республике Алтай |
ул. Чорос-Гуркина, 35, г. Горно-Алтайск, 649000 |
(388-22)2-21-72 4-24-98 |
|
68. |
Управление Росприроднадзора по Республике Бурятия |
ул. Ленина, 57, г. Улан-Удэ, 767000 |
(301-2)21-19-70 |
|
69. |
Управление Росприроднадзора по Республике Тыва |
ул. Московская, 2, г. Кызыл, 667007 |
(39422)5-26-85 т/ф |
|
70. |
Управление Росприроднадзора по Республике Хакасия |
ул. Хакасская, 21, г. Абакан, 655012. Для корр.: ул. Ленина, 67, а/я 722, г. Абакан, 655019 |
(3902)25-79-35 приемная, т/ф |
|
71. |
Управление Росприроднадзора по Алтайскому краю |
ул. Пролетарская, 61, г. Барнаул, 656056 |
(385-2)35-37-76 приемная, т/ф |
|
72. |
Управление Росприроднадзора по Красноярскому краю |
ул. К. Маркса, 62, г. Красноярск, 660049 |
(3912)23-46-49 |
|
73. |
Управление Росприроднадзора по Иркутской области |
ул. Российская, 17, г. Иркутск, 664025 |
(3952)20-16-87 |
|
74. |
Управление Росприроднадзора по Кемеровской области |
ул. Ноградская, 19а, г. Кемерово, 650000 |
(384-2)36-96-24 |
|
75. |
Управление Росприроднадзора по Новосибирской области |
ул. Каменская, 74, г. Новосибирск, 630091 |
(383)294-32-41 |
|
76. |
Управление Росприроднадзора по Омской области |
ул. Герцена, 50, г. Омск, 644007 |
(3812)25-26-18 т/факс |
|
77. |
Управление Росприроднадзора по Томской области |
ул. Шевченко, 17, г. Томск, 634021 |
(3822)26-35-40 |
|
78. |
Управление Росприроднадзора по Усть-Ордынскому Бурятскому АО |
ул. Первомайская, 3, г. Усть-Ордынский, Иркутская обл., 699001 |
(395-41)3-14-13 |
|
79. |
Управление Росприроднадзора по Агинско-Бурятскому АО |
ул. Гагарина, 2, пос. Агинское, Читинская обл., 687000 |
(30239)3-71-34; 3-54-52 |
|
80. |
Управление Росприроднадзора по Читинской области |
Ул. Амурская, 91/15, г. Чита, 672090 |
(3022)35-64-91 35-46-19? |
|
81. |
Департамент Росприроднадзора по Дальневосточному ФО |
ул. Л. Толстого, 8, г. Хабаровск, 680000 |
(4212)32-51-79 ф. сек. Валентина Геннадьевна |
|
82. |
Управление Росприроднадзора по Республике Саха (Якутия) |
ул. Орджоникидзе, 44/1, г. Якутск, 677027 |
(4112)22-61-45 |
|
83. |
Управление Росприроднадзора по Приморскому краю |
Океанский пр-т, 31, г. Владивосток, 690000 |
(4232)40-77-33 |
|
84. |
Управление Росприроднадзора по Хабаровскому краю |
ул. Герасимова, 31, г. Хабаровск, 680021 |
(4212)34-24-61 |
|
85. |
Управление Росприроднадзора по Амурской области |
ул. Амурская, 221, г. Благовещенск, 675000 |
(4162)44-54-51 |
|
86. |
Управление Росприроднадзора по Камчатскому краю |
ул. Мишенная, 106, г. Петропавловск-Камчатский, 683016 |
(4152)23-92-07 (4152)23-94-84 ОК |
|
87. |
Управление Росприроднадзора по Магаданской области |
ул. Пролетарская, 11, г. Магадан, 685000 |
(4132)62-66-01 69-96-19 |
|
88. |
Управление Росприроднадзора по Сахалинской области |
Коммунистический пр-т, 49, г. Южно-Сахалинск, 693020 |
(4242)42-24-59 |
|
89. |
Управление Росприроднадзора по Еврейской АО |
ул. Советская, 111, г. Биробиджан, Еврейская АО, 679016 |
(42622)4-67-29 |
|
90. |
Управление Росприроднадзора по Чукотскому АО |
ул. Куркутского, 34, г. Анадырь, 689000 |
(42722)2-48-10 т/ф, приемная |
к Административному регламенту
Федеральной службы по надзору
в сфере природопользования по
исполнению государственной функции
по осуществлению государственного
контроля за деятельностью в области
охраны атмосферного воздуха

к Административному регламенту
Федеральной службы по надзору
в сфере природопользования по
исполнению государственной функции
по осуществлению государственного
контроля за деятельностью в области
охраны атмосферного воздуха
|
Образец Бланк Федеральной службы по надзору в сфере природопользования (территориального управления Федеральной службы по надзору в сфере природопользования) ПРИКАЗ (РАСПОРЯЖЕНИЕ) "___"_______200__г. __________________ N___ место составления ______________________________________________________________________________ О проведении плановой (внеплановой) проверки соблюдения требований законодательства Российской Федерации в области охраны атмосферного воздухаНа основании Федерального закона от 04.05.1999 N 96-ФЗ "Об охране атмосферного воздуха", Федерального закона от 08.08.2001 N 134-ФЗ "О защите прав юридических лиц и индивидуальных предпринимателей при проведении государственного контроля (надзора)", Постановлении Правительства Российской Федерации от 30.07.2004 N 400 "О Федеральной службе по надзору в сфере природопользования" и в соответствии с пунктом ______ Плана проведения Федеральной службой по надзору в сфере природопользования (территориальным органом Росприроднадзора) мероприятий по государственному контролю за деятельностью в области охраны атмосферного воздуха, утвержденного приказом Федеральной службой по надзору в сфере природопользования (территориального управления Росприроднадзора) от _________200__ г. N_____ (основание для внеплановой проверки) 1. Должностным лицам в составе:
с участием:
в период с "__"________ по "___"________200__ г. провести плановую (внеплановую) проверку соблюдения ____________________________________________________________ полное наименование юридического лица ________________________________________________________________________________ или фамилия, имя, отчество индивидуального предпринимателя требований законодательства Российской Федерации в области охраны атмосферного воздуха (далее - проверка) согласно прилагаемому плану проверки. 2. ЦЛАТИ по __________ федеральному округу (________________) ФИО Руководителя в ходе проведения в соответствии с пунктом 1 настоящего распоряжения (приказа) проверки обеспечить необходимые аналитические (инструментальные) измерения в соответствии с планом проверки. 3. ___________________________________________________________________________: (фамилия, инициалы должностного лица, ответственного за проведение проверки) - в случае выявления в результате проверки нарушений требований законодательства Российской Федерации в области охраны атмосферного воздуха принять предусмотренные законодательством Российской Федерации меры по устранению выявленных нарушений и по привлечению нарушителей к ответственности в соответствии с законодательством Российской Федерации; - в срок до _________200_ г. представить отчет о проведении плановой (внеплановой) проверки соблюдения ____________________________________________________________ (полное наименование юридического лица или фамилия, имя, отчество индивидуального предпринимателя) требований законодательства Российской Федерации в области охраны атмосферного воздуха с приложением Акта проверки и других документов и материалов. 4. Контроль за исполнением настоящего распоряжения (приказа) возложить на __________________________________________________________. (фамилия, инициалы) Должность Подпись Расшифровка подписи
|
к Административному регламенту
Федеральной службы по надзору
в сфере природопользования по
исполнению государственной функции
по осуществлению государственного
контроля за деятельностью в области
охраны атмосферного воздуха
|
Образец Бланк Федеральной службы по надзору в сфере природопользования (территориального органа Федеральной службы по надзору в сфере природопользования) АКТ
|
|
1) |
Фамилия, имя, отчество |
Должность |
Ответственный за проведение проверки |
|
2) |
Фамилия, имя, отчество |
должность |
|
|
3) |
|
|
|
|
|
|
|
|
|
|
|
|
|
|
|
|
|
|
с участием:
|
1) |
Фамилия, имя, отчество |
Должность |
|
2) |
Фамилия, имя, отчество |
должность |
|
3) |
|
|
|
|
|
|
|
|
|
|
|
|
|
|
в присутствии:___________________________________________________________________
(фамилия, имя, отчество, должность представителя юридического лица
______________________________________________________________ проведена плановая
или фамилия, имя, отчество индивидуального предпринимателя)
(внеплановая) проверка соблюдения ________________________________________________
(полное наименование юридического лица или)
_____________________________________________________________________ требований
(фамилия, имя, отчество индивидуального предпринимателя)
законодательства Российской Федерации в области охраны атмосферного воздуха.
1. Сведения о результатах плановой (внеплановой) проверки соблюдения
_______________________________________________________________________________
(полное наименование юридического лица или фамилия,
_____________________________________________________________________ требований
имя, отчество индивидуального предпринимателя)
законодательства Российской Федерации в области охраны атмосферного воздуха, в том числе о выявленных нарушениях, об их характере, о лицах, на которых возлагается ответственность за совершение этих нарушений:
________________________________________________________________________________
________________________________________________________________________________
________________________________________________________________________________
________________________________________________________________________________
________________________________________________________________________________
2. Выводы и рекомендации должностных лиц (лица), проводивших проверку:
________________________________________________________________________________
________________________________________________________________________________
________________________________________________________________________________
3. К акту проверки прилагаются протоколы отбора проб, протоколы (заключения) проведенных исследований (испытаний), объяснения должностных лиц органов государственного контроля (надзора), работников, на которых возлагается ответственность за нарушения обязательных требований, другие документы или их копии, связанные с результатами мероприятия по контролю.
|
№ п/п |
Наименование приложения |
|
|
|
|
|
|
|
|
|
Акт от "__"______200_ г. N___ составлен на ___страницах в 2 экземплярах.
Подписи должностных лиц (лица), проводивших проверку:
________________________________ ________________________________
(ФИО) (подпись)
________________________________ ________________________________
(ФИО) (подпись)
Подписи лиц, участвующих в проверке:
________________________________ ________________________________
(ФИО) (подпись)
________________________________ ________________________________
(ФИО) (подпись)
Подписи лиц, присутствовавших при проверке:
________________________________ ________________________________
(ФИО) (подпись)
________________________________ ________________________________
(ФИО) (подпись)
С актом ознакомлен, экземпляр акта N 1 на руки получен
Руководитель (представитель) юридического лица или индивидуальный
предприниматель _____________________ _______________ ________________
(ФИО) (подпись) дата
От ознакомления с актом Руководитель (представитель) юридического лица или индивидуальный предприниматель отказался
___________________________ _____________________ __________________
(ФИО должностного лица) (подпись) (дата)
к Административному регламенту
Федеральной службы по надзору
в сфере природопользования по
исполнению государственной функции
по осуществлению государственного
контроля за деятельностью в области
охраны атмосферного воздуха
|
Образец ГЕРБ РОССИЙСКОЙ ФЕДЕРАЦИИ ФЕДЕРАЛЬНАЯ СЛУЖБА ПО НАДЗОРУ В СФЕРЕ ПРИРОДОПОЛЬЗОВАНИЯ _________________________________________________________________ (наименование территориального органа) ПРОТОКОЛ
N ____
|
к Административному регламенту
Федеральной службы по надзору
в сфере природопользования по
исполнению государственной функции
по осуществлению государственного
контроля за деятельностью в области
охраны атмосферного воздуха
|
Образец ГЕРБ РОССИЙСКОЙ ФЕДЕРАЦИИ ФЕДЕРАЛЬНАЯ СЛУЖБА ПО НАДЗОРУ В СФЕРЕ ПРИРОДОПОЛЬЗОВАНИЯ _________________________________________________________________ (наименование территориального органа) ПОСТАНОВЛЕНИЕ
|
к Административному регламенту
Федеральной службы по надзору
в сфере природопользования по
исполнению государственной функции
по осуществлению государственного
контроля за деятельностью в области
охраны атмосферного воздуха
|
Образец ГЕРБ РОССИЙСКОЙ ФЕДЕРАЦИИ ФЕДЕРАЛЬНАЯ СЛУЖБА ПО НАДЗОРУ В СФЕРЕ ПРИРОДОПОЛЬЗОВАНИЯ ______________________________________________________________ (наименование территориального органа) ПРЕДПИСАНИЕ
|
|
№ п/п |
Перечень выявленных нарушений |
Сроки устранения |
|
1 |
2 |
3 |
|
|
|
|
О результатах рассмотрения Предписания и принятых мерах прошу сообщить в
_________________________________________________________________________ в срок
(территориальный орган Росприроднадзора)
до "___"_________200_ г.
Государственный инспектор
по охране природы ____________________
(подпись)
________________________________________________________________________
(фамилия, имя, отчество государственного инспектора)
Предписание получил ________________________________________________
(фамилия, имя, отчество, должность)
__________________ _____________________________
(подпись) (дата, время)
к Административному регламенту
Федеральной службы по надзору
в сфере природопользования по
исполнению государственной функции
по осуществлению государственного
контроля за деятельностью в области
охраны атмосферного воздуха
|
Образец ГЕРБ РОССИЙСКОЙ ФЕДЕРАЦИИ ФЕДЕРАЛЬНАЯ СЛУЖБА ПО НАДЗОРУ В СФЕРЕ ПРИРОДОПОЛЬЗОВАНИЯ _________________________________________________________________ (наименование территориального органа) ПОСТАНОВЛЕНИЕ
|
к Административному регламенту
Федеральной службы по надзору
в сфере природопользования по
исполнению государственной функции
по осуществлению государственного
контроля за деятельностью в области
охраны атмосферного воздуха
ОбразецГЕРБ РОССИЙСКОЙ ФЕДЕРАЦИИ ФЕДЕРАЛЬНАЯ СЛУЖБА ПО НАДЗОРУ В СФЕРЕ ПРИРОДОПОЛЬЗОВАНИЯ ________________________________________________________________ (наименование территориального органа) ПРЕДСТАВЛЕНИЕ
|
|
|
|
|