//
ТехЛит.ру
- крупнейшая бесплатная электронная интернет библиотека для "технически умных" людей.
WWW.TEHLIT.RU - ТЕХНИЧЕСКАЯ ЛИТЕРАТУРА

:: Алготрейдинг::


АЛГОТРЕЙДИНГ
шаг за шагом
с нуля по урокам!

Торговые роботы на PYTHON, BackTrader,
Pandas, Pine Script для TradingView. Связка с брокерами, телеграм и легкими приложениями.


ПРАВИТЕЛЬСТВО МОСКВЫ
МОСКОМАРХИТЕКТУРА

РЕКОМЕНДАЦИИ
по проектированию сети и зданий
детских внешкольных учреждений
для г. Москвы

Выпуск 3

Детско-подростковые клубы

1998

ПРЕДИСЛОВИЕ

1. РАЗРАБОТАНЫ МНИИП объектов культуры, отдыха, спорта и здравоохранения (канд. Архит. А.А. Шапиро)

2. СОГЛАСОВАНЫ Московским комитетом по делам семьи и молодежи и Москомархитектурой

3. ПОДГОТОВЛЕНЫ к утверждению Управлением подготовки проектирования и координации проектно-изыскательских работ Москомархитектуры (архит. Шалов Л.А., инж. Щипанов Ю.Б.)

4. УТВЕРЖДЕНЫ Указанием Москомархитектуры от 29.04.98 г. № 14

Анкетное обследование городских ДПК проведено при содействии отдела социально-экономических проблем молодежи Московского комитета по делам семьи и молодежи, заместителей префектов по социальным вопросам и сотрудников префектур, а также руководителей городских экспериментальных организационно-методических центров и детско-подростковых клубов административных округов.

В Рекомендациях использованы материалы педагогов-организаторов детско-подростковых клубов К.Ф. Леонтовича, Р.В. и Н.В. Соколовых.

СОДЕРЖАНИЕ

1. Область применения. 2

2. Ссылки на нормативно-методические документы.. 2

3. Введение. 2

4. Общие положения. 4

Назначение и место детско-подростковых клубов в системе детских внешкольных учреждений. 4

5. Организация сети детско-подростковых клубов. 4

Расчёт сети. 4

Территориальная организация сети. 6

Требования к земельным участкам.. 7

Типологическая структура и номенклатура типов зданий. 8

6. Архитектурно-планировочные решения комплекса помещений детско-подростковых клубов. 11

Общие требования. 11

Функциональная структура зданий и блоков помещений. 12

Функциональные группы помещений и архитектурно-планировочные элементы зданий. 12

Приложение 1. Примерный состав и площади помещений детских домовых клубов (ДДК) 15

Приложение 2. Примерный состав и площади помещений микрорайонных разновозрастных клубов (МРК) 16

Приложение 3. Функциональные структуры и планировочные схемы помещений детско-подростковых клубов. 17

1. Область применения

Рекомендации разработаны в рамках Программы по составлению Московских городских строительных норм, рекомендации, пособий и других нормативно-методических материалов по проектированию, утверждённой от 01.11.1994 г. (№ 992), для реализации «Программы развития культуры Москвы», утверждённой Постановлением Правительства Москвы от 02.09.1994 г., № 638 как дополнение к нормативно-методическим документам в строительстве, действующим на территории Москвы.

Рекомендации содержат определения функциональной специфики, назначения и места Детско-подростковых клубов (ДПК) в системе детских внешкольных учреждений и принципы их территориальной организации, а также градостроительные расчётные показатели, положения по типологической структуре, организации и расчёту сети ДПК, величине и функциональному зонированию земельных участков, примерную функционально-планировочную структуру блоков и зданий, состав и площади помещений.

Рекомендации распространяются на проектирование новых и реконструируемых объектов ДПК и их сети. Они адресованы проектировщикам, а также - работникам территориальных управленческих органов образования.

Рекомендации предназначены для использования:

- при проектировании сети ДПК на стадии разработки проектов планировки и застройки новых и реконструкции сложившихся районов Москвы;

- при составлении заданий на проектирование и разработке проектов новых и реконструкции существующих объектов ДПК;

- как теоретическая база для разработки градостроительных и строительных нормативов для одного из наиболее массовых типов детских внешкольных учреждений - ДПК;

- при составлении программ развития сети и планов финансирования строительства ДПК.

2. Ссылки на нормативно-методические документы

В настоящих рекомендациях приведены ссылки на следующие нормативные и методические документы:

2.1 МГСН 1.01-97 «Временные нормы и правила проектирования планировки и застройки г. Москвы».

2.2 СНиП 2.08.02-89 «Общественные здания и сооружения».

2.3 Справочное пособие к СНиП. Проектирование клубов. М., Стройиздат, 1991 г.

2.4 МГСН 3.01-96 «Жилые здания».

2.5 МГСН 4.08-97 «Массовые типы физкультурно-оздоровительных учреждений». М., 1997 г.

2.6 ВСН 62-91* «Руководство по учёту потребностей инвалидов при градостроительном и объёмном проектировании для г. Москвы и ЛПЗП».

2.7 Рекомендации по проектированию окружающей среды, зданий и сооружений с учётом потребностей инвалидов и других маломобильных групп населения, выпуск 13, - Общественные здания и сооружения. Физкультурно-оздоровительные сооружения, М., 1997 г.

2.8 Руководство по учёту потребностей инвалидов при градостроительном и объёмном проектировании для г. Москвы и ЛПЗП. Москва, НИАЦ АО «ГРАДО», 1995 г.

2.9 Рекомендации по проектированию сети и зданий детских внешкольных учреждений для г. Москвы. Выпуск 1. Детские музыкальные школы и школы искусств. Москва, НИАЦ АО «ГРАДО», 1996 г.

2.10 Рекомендации по проектированию сети и зданий детских внешкольных учреждений для г. Москвы. Выпуск 2. Центры детского творчества. Москва, НИАЦ АО «ГРАДО», 1997 г.

3. Введение

Детско-подростковый клуб (ДПК) представляет собой особый тип возрастного клуба, ориентированного на обслуживание по месту жительства детей школьного и старшего дошкольного возраста, относящихся к мало- и ограниченно мобильным группам населения. ДПК является исходным структурно-типологическим элементом единой системы детских внешкольных учреждений, обеспечивающим культурное развитие, дополнительное образование и воспитание детей в период досуга. Эти многопрофильные учреждения образуют нижний уровень системы: микрорайона и его жилых групп (см. вып. 1, рис. 1). Их назначение - обеспечение условий для начального этапа культурного развития и социализации ребёнка в непосредственной близости от жилья.

Основными функциями ДПК являются:

развивающая (раскрытие врождённых склонностей ребёнка, формирование круга культурных интересов, обучение навыкам культурной и трудовой деятельности);

коммуникативная (формирование у детей потребности в групповом и межличностном общении, обучение навыкам общения, регулярное включение в сферу «клуба», организация социального поиска);

рекреационная (физическое развитие, коллективный отдых, игры и развлечения).

В настоящее время функциональная структура ДПК недостаточно развита и ещё окончательно не определилась. Сеть ДПК сформирована не полностью и находится в состоянии постоянного территориального изменения и функциональных трансформаций.

Действующие сегодня ДПК охватывают занятиями около 10-11 % детей 4-17 лет, в том числе доля охвата старших дошкольников составляет 2-3 % и школьников - 10-20 % общей численности этих возрастных групп. Обеспеченность составляет, в среднем по городу, около 19 занимающихся на 1000 жителей.

Вследствие недостаточного развития и неравномерного размещения ДПК на территории города, показатели охвата детей и обеспеченности в разных частях Москвы различны. Наибольшие их значения фиксируются в Центральном административном округе и Зеленограде, где они в 2,5-3 раза выше, чем в округах периферийного пояса.

Радиусы зон обслуживания ДПК, как правило, завышены против рекомендуемых и достигают 20 и более минут пешеходной доступности. Более половины детей дошкольного и младшего школьного возраста проживают за пределами расчётной зоны 10-минутной доступности ДПК, что препятствует регулярному посещению этих учреждений.

Сеть современных ДПК не имеет стабильной и достаточно развитой материальной базы. Её материальный фонд представлен, в основном, блоками помещений, встроенными в первые, полуподвальные или подвальные этажи жилых домов и нередко территориально разобщёнными. Они, как правило, не являются собственностью ДПК и арендуются в жилом фонде, а также - у школ, детских учреждений и т.п.

Большинство помещений и зданий, занимаемых ДПК, технически не приспособлено и технологически недостаточно оснащено, требует капитального ремонта и реконструкции.

Более 2/3 учреждений не имеют земельных участков. Размеры имеющихся участков нередко занижены и не могут обеспечить минимум необходимых физкультурно-оздоровительных занятий на открытом воздухе.

Нормативная база по проектированию сети и зданий ДПК отсутствует. Градостроительный норматив на детские досуговые группы, рекомендуемый МГОН 1.01-97 не может быть прямо применён для формирования сети ДПК, так как он не расчленён в соответствии с возрастной структурой детской аудитории по месту жительства и требует уточнения и проверки с точки зрения сложившегося спроса, а также - пригодности для формирования номенклатуры типов ДПК. Отсутствуют также нормативные и методические разработки по проектированию блоков помещений и зданий ДПК, соответствующих планировочным и социально-демографическим особенностям Москвы.

В связи с изложенным, целью настоящих Рекомендаций является:

определение функционального назначения и места ДПК в системе детских внешкольных учреждений;

определение их градостроительных характеристик (включая территориальную организацию и сетевые расчётные показатели) и типологической структуры;

разработка требований и рекомендаций по составу и площадям помещений и архитектурно-планировочным решениям основных типов блоков и зданий ДПК.

Рекомендации охватывают архитектурно-градостроительные вопросы проектирования ДПК, в том числе:

назначение, функциональное место ДПК в системе детских внешкольных учреждений;

организация сети и архитектурно-планировочные решения блоков помещений и зданий.

Вопросы проектирования объектов ДПК, в том числе пожарной, санитарной, экологической безопасности; конструктивные, технологические, акустические, сантехнические, электротехнические и т.п., - следует решать в соответствии с требованиями нормативно-методических документов в строительстве, действующих на территории Москвы, а также справочников и рекомендаций.

4. Общие положения

Назначение и место детско-подростковых клубов в системе детских внешкольных учреждений

4.1 Функционально-пространственная организация системы детских внешкольных учреждений представляет собой многоступенчатую структуру (см. вып. 1, раздел 4.2). Первый уровень системы формируется двумя основными типами ДПК по месту жительства:

а) детскими домовыми клубами (ДЦК), или одиночными кружками, максимально приближенными к жилью;

б) микрорайонными разновозрастными клубами (МРК), включающими узкопрофильные кружки, студии и секции.

4.2 Назначение ДЦК - первичное включение в культуру, выявление склонностей и развитие способностей, знакомство с различными видами занятий, начальное овладение умениями и навыками культурной деятельности и труда (на стадии кустарного производства), формирование круга интересов, а также развлечения и физическое развитие ребёнка.

Профилирующим контингентом ДДК являются дети 4-14 лет. Зона обслуживания - группа жилых домов в радиусе 200-300 м.

4.3 Назначением МРК является начальная специализация в избранном виде культурной и трудовой деятельности (на стадии коллективного артельного производства), формирование познавательной потребности и потребности в групповом и межличностном общении.

Профилирующими контингентами микрорайонных многопрофильных клубов являются школьники 11-18 лет. Зона обслуживания этих учреждений - микрорайон - с радиусом до 500 м.

Оба названных типа детских внешкольных учреждений по месту жительства ориентированы на поисковые формы поведения детей. Они обеспечивают функции первичного социокультурного развития в областях культурной и технической деятельности, а также физического развития. Их многофункциональность создаёт наилучшие условия для ориентации детей в сфере культуры и выбора занятий, наиболее отвечающих способностям и склонностям индивида, формированию и закреплению определённых культурных интересов. Соединение в них поисковых функций, обучения и физкультурно-оздоровительных занятий, осуществляемых на фоне общения между различными возрастными группами детей и взрослых, позволяет определить эти учреждения как двухуровневые комплексы местных многопрофильных детско-подростковых клубов (центров) по месту жительства, профилирующими контингентами которых являются дети старшего дошкольного и школьного возраста.

5. Организация сети детско-подростковых клубов

Расчёт сети

5.1 Общую потребность в детско-подростковых клубах (ДПК) рекомендуется принимать из расчёта охвата этими учреждениями 20 % детей школьного (7-18) и 3 % детей старшего дошкольного возраста (4-6 лет), проживающих на расчётной территории в зоне обслуживания ДПК*.

__________

* Увеличение процента охвата школьников сетью ДПК (как это считают желательным специалисты Координационно-методического Совета Комитета по делам семьи и молодёжи) возможно в рамках структуры системы детских внешкольных учреждений путем перераспределения нагрузок между ними.

5.2 Зона обслуживания ДПК определяется в границах муниципальных районов:

для детей младшего школьного и старшего дошкольного возрастов - в радиусе 200-300 м, для школьников среднего и старшего возраста - в радиусе 500 м (в пределах микрорайона).

5.3 Для укрупнённых расчётов сети на ближайшую перспективу может приниматься расчётный показатель 32 (31 + 1) занимающихся в ДПК на 1000 жителей, соответствующий современной демографической структуре населения Москвы (дети школьного возраста - 15,5 % и дошкольники 4-6 лет - 3,9 % населения города).

5.4 При необходимости более точных расчётов потребности в ДПК на территории отдельных административных округов, ввиду существующих значительных различий между ними в демографической структуре, следует пользоваться местным сетевым показателем (Nn), характерным для каждой конкретной территории. Он определяется по формуле:

где: Nn - искомый местный расчётный показатель количества занимающихся на 1000 жителей n-ой расчетной территории;

П - рекомендуемый процент охвата сетью ПДК детей школьного или старшего дошкольного возраста;

Дn - количество детей данной расчётной группы, постоянно проживающих на расчётной территории, на 1000 жителей.

 

стимости существующих и сохраняемых на расчётный срок ДПК, расположенных на расчётной территории: муниципального района или микрорайона, а также - прогнозируемые на расчётный срок демографические показатели, - в соответствии со следующими формулами:

 и ,

где:    П - общая потребность в ДПК (занимающихся);

Дш и Дд - число детей школьников и дошкольников (4-6 лет), проживающих в границах расчётной территории (чел.);

Д - дефицит вместимости в сети ДПК на данной территории (занимающихся);

Q - суммарная вместимость существующих и сохраняемых на расчётный срок ДПК, расположенных на расчётной территории (занимающихся).

5.6 Расчётное число мест (единовременная вместимость) в сети ДПК на 1000 жителей определяется по формуле:

,

где: М - число мест на 1000 жителей района;

N - расчётный показатель количества занимающихся в ДПК на 1000 жителей;

n - число посещений в неделю одним занимающимся в ДПК;

Р - число рабочих дней ДПК в неделю;

С - число смен занятий в день.

5.7 Рекомендуемые показатели режима работы ДПК:

число посещений в неделю -               2;

число рабочих дней в неделю -           6;

число смен занятий в день -                1,5.

5.8 Усреднённый расчётный показатель числа мест в ДПК на 1000 жителей для укрупнённых расчётов сети ДПК при разработке градостроительной документации составляет 7 мест на 1000 жителей.

5.9 Для дифференцированного расчёта составляющих элементов сети ДПК - детских домовых клубов (ДДК) и микрорайонных разновозрастных клубов (МРК) - принимается следующее распределение потенциальной детской аудитории:

ДДК - дошкольники 4-6 лет - 100 % занимающихся этого возраста;

- школьники 7-10 лет - 100 %                      -"-

- школьники 11-14 лет - 50 %                      -"-

МРК - школьники 11-14 лет - 50 %                       -"-;

- школьники 15-18 лет - 100 %                    -"-

5.10 Дифференцированные показатели % охвата и числа занимающихся на 1000 жителей для каждой из возрастных групп школьников, определённые на основании показателей современной демографической структуры Москвы и принятых процентов охвата сетью ДПК основных возрастных групп (дошкольники 4-6 лет - 3 % и школьники - 20 % - см. п. 5.1), приведены в табл. 1.

Таблица 1

Возрастные группы (лет)

% охвата своей группы

На 1000 жителей

детей данного возраста (чел.)

количество занимающихся в сети ДПК (чел.)

единовременная вместимость ДПК (мест)

1

2

3

4

5

4-6

3

39

1,0

0,2

7-18

20

155

31,0

6,8

7-10

16

54

8,5

1,9

11-14

30

53

16,0

3,5

15-18

14

48

6,5

1,4

ВСЕГО

-

294

32,0

7,0

4-18

 

 

 

 

5.11 Для определения вместимости отдельных ДДК и МРК, исходя из приведённых выше показателей и доли возрастных групп в их составе (см. п. 5.9 настоящей работы), рекомендуются следующие дифференцированные расчётные показатели:

для ДДК - 17,5 занимающихся/1000 жителей, или 3,8 места/1000 жителей; *

___________

* При числе смен в день 1,5, посещений в неделю - 2 и рабочих дней в неделю - 6.

для МРК -14.5 занимающихся /1000 жителей, или 3.2 места/1000 жителей.

Территориальная организация сети

5.12 Радиус обслуживания детскими домовыми клубами (ДДК) по месту жительства определяется в пределах 200-300 м, что соответствует ограниченной территориальной подвижности детей старшего дошкольного и младшего школьного возраста, составляющих профилирующий контингент этого типа учреждений.

5.13 Предельный размер зоны обслуживания ДДК (при радиусе 250 м) может составлять от 7 до 20 га, численность проживающего населения (в зависимости от конфигурации территории и плотности жилого фонда) от 2 до 12 тыс. человек.

5.14 Расчётные характеристики зоны обслуживания ДДК соответствуют нормативным параметрам: минимальная - жилой группы, максимальная - микрорайона, что позволяет отнести ДДК к микрорайонному уровню обслуживания.

5.15 В зависимости от конфигурации территории, плотности жилого фонда и сложившейся дислокации существующих объектов, на территории микрорайона могут размещаться от 3-х до 10 и более ДДК.

5.16 Здание ДДК следует максимально приближать к жилью, располагая в центре группы жилых домов как отдельно стоящий, встроенный в первые этажи или пристроенный к ним блок.

5.17 Сеть ДДК должна равномерно покрывать жилую территорию микрорайона так, чтобы каждый дом был в зоне 5-минутной пешеходной доступности ДДК. Размещение ДДК должно обеспечивать удобные и безопасные пешеходные связи со всеми жилыми домами, расположенными в зоне обслуживания, и территориальную изоляцию от транспортных узлов магистралей.

5.18 Зона обслуживания микрорайонных разновозрастных клубов (МРК) очерчивается радиусом в 500 м, что отвечает повседневной пространственной подвижности профилирующих в них контингентов: школьников среднего и старшего возраста.

5.19 Размер зоны обслуживания МРК при радиусе 500 м может колебаться в зависимости от конфигурации территории в пределах от 27 до 78 га, численность проживающего населения - от 8 до 45 тыс. человек.

5.20 Расчётные характеристики зоны обслуживания МРК соответствуют нормативным параметрам одного или нескольких микрорайонов, что позволяет рассматривать этот элемент сети ДПК как объект микрорайонного уровня (или уровня жилого района).

5.21 Зона обслуживания МРК охватывает и включает в себя зоны обслуживания нескольких ДДК, образующих вместе единый функционально-территориальный комплекс детско-подросткового центра (клуба). Это предопределяет необходимость центрального размещения МРК на территории микрорайона и обеспечения тесных функциональных и хороших пешеходных связей между ним и ДДК, входящими в состав комплекса.

5.22 Центральное здание (или помещение) комплекса МРК, как правило, следует совмещать с одним из тяготеющих к нему ДДК, что позволит укрупнить объект и, наряду с обеспечением функциональных связей, решить архитектурно-градостроительную задачу по формированию детского центра досуга микрорайона.

5.23 При размещении МРК необходимо предусмотреть удобные пешеходные связи как со всеми группами жилых домов микрорайона, так и со всеми ДДК, входящими в состав комплекса, а также - с общеобразовательной школой, спортивными сооружениями и зелёной зоной микрорайона.

Допустимо объединение зданий МРК или блока помещений ДДК с объектами общественного центра микрорайона - при обязательном соблюдении требований необходимой изоляции от источников шума и загрязнения воздуха.

Требования к земельным участкам

5.24 Площади земельных участков детско-подростковых клубов следует принимать из расчёта 30-45 кв. м.* площади участка на место, что в пересчёте на одного занимающегося составляет 7-10 кв. м.

___________

* Меньший показатель относится к участкам ДПК, расположенным в Центральном административном округе, больший - в периферийных административных округах

5.25 Площади земельных участков для основных типов ДПК, вошедших в предложенную выше номенклатуру, рекомендуется принимать в соответствии с приведёнными в табл. 2 и 3.

Таблица 2

Вместимость блоков ДРК (занимающихся

мест)

40

10

70

15

100

20

150

30

200

50

Площадь земельного участка (кв. м)

300 - 400*

500 - 600*

700 - 900*

1000-1400*

1500-2000*

Таблица 3

Вместимость блоков МРК (занимающихся

мест)

100

20

200

50

350

80

500

100

650

150

Площадь земельного участка (кв. м)

700-1000*

1500-2000*

2500-3000*

3500-4000*

5000-7000*

5.26 Допускается сокращение площади участков: пристроенных ДПК - на 5 %, встроенно-пристроенных - на 10 %, встроенных - на 15 %.

5.27 Земельные участки ДПК рекомендуется функционально зонировать. Ориентировочный состав и процентное соотношение отдельных зон ДДК и МРК приводятся соответственно в табл. 4 и 5.

Таблица 4

Наименования функциональных зон

Соотношение функциональных зон земельных участков (в % к целому) при вместимости основных типов блоков ДДК (занимающихся)

40

70

100

150

200

1

2

3

4

5

6

Физического развития

100

70

60

50

40

Игр и развлечений

-

30

30

30

30

Массовых мероприятий

-

-

10

10

10

Учебных занятий

-

-

-

10

10

Хозяйственная

-

-

-

-

10

Таблица 5

Наименования функциональных зон

Соотношение функциональных зон земельных участков (в % к целому) при вместимости основных типов блоков МРК (занимающихся)

100

200

350

500

650

1

2

3

4

5

6

Физкультурно-спортивная

60

40

30

25

20

Игр, развлечений и отдыха

30

30

30

30

30

Зрелищ и массовых мероприятий

10

10

10

10

10

Учебных занятий

-

10

20

25

30

Хозяйственная

-

10

10

10

10

5.28 Земельные участки ДДК малой вместимости (до 100 занимающихся) следует организовывать как комплексную многофункциональную территорию с возможностью совмещения, трансформации и взаимозаменяемости функций отдельных зон. Для небольших земельных участков целесообразно объединение зон «физического развития» и «игр и развлечений» в единую комплексную физкультурно-игровую зону.

5.29 Состав и параметры сооружений зон физического развития для ДДК и физкультурно-спортивной для МРК, а также зоны игр и развлечений, рекомендуется принимать в соответствии с требованиями МГСН 4.08-97 и «Рекомендациями по проектированию окружающей среды, зданий и сооружений с учётом потребностей инвалидов и других маломобильных групп населения», выпуск 13, ЦНИИЭП им. Б.С. Мезенцева, М., 1997 г.

На территории комплексной зоны физического развития и игр и развлечений целесообразно выделить отдельные площадки для занятий разных возрастных групп детей: дошкольников до 7 лет, школьников 7-10 и 10-14 лет и участок для спортивных игр детей всех возрастов. При разработке их планировки и оборудования следует использовать планировочные разработки открытых детских физкультурно-игровых площадок, содержащиеся в названных выше «Рекомендациях» ЦНИИЭП им. Б.С. Мезенцева.

Зона массовых мероприятий и зрелищ должна быть оборудована летней эстрадой и передвижными скамьями для зрителей.

На площадке учебной зоны могут быть размещены оранжерея, вольеры для животных, строительный городок и т.п.

На территории хозяйственной зоны целесообразно предусматривать здание хозблока для размещения некоторых шумных мастерских и площадку для мусоросборников с подъездом для автотранспорта.

5.30 Участок ДПК должен быть ограждён по всему периметру живой изгородью, а в местах примыкания площадок к улицам и дорогам - забором.

Типологическая структура и номенклатура типов зданий

5.31 Оба элемента сети детско-подростковых клубов: ДДК и МРК - являются наиболее массовыми учреждениями системы детских внешкольных учреждений культуры и досуга. Современная обеспеченность ими составляет около 60 % от расчётной. Большинство существующих объектов размещаются в арендуемых подвальных или полуподвальных помещениях (чаще всего - жилых домов) и являются функционально неполноценными и частично или полностью непригодными с санитарно-гигиенической точки зрения для организации в них детского учреждения. В связи с этим количество сохраняемых учреждений незначительно и потребность в организации новых достигает почти 100 % расчетной. Общая их численность в целом по городу ориентировочно составит: по ДДК около 1500 объектов, по МРК - около 300 объектов.*

__________

* При средней численности населения в зоне обслуживания ДДК около 6 тыс. жителей и МРК - 30 тыс. жителей и общей численности населения города - 9500 тыс. человек

5.32 Новое строительство ДПК в виде встроенных, пристроенных к жилым домам блоков и отдельно стоящих зданий следует производить как по индивидуальным, с повторным их применением, проектам, так и, принимая во внимание большую расчётную потребность, по типизированным решениям. Сеть ДПК, как правило, следует формировать одновременно с жилой застройкой.

5.33 Определение типов зданий и блоков помещений МРК и ДДК по вместимости происходит на основании предложенных выше расчётных показателей (см. п.п. 5.1 и 5.11 настоящих Рекомендаций) из расчёта обслуживания постоянного населения, проживающего в нескольких типах зон обслуживания, выделенных в пределах расчётного диапазона, установленного выше (см. п.п. 5.13 и 5.19 настоящих Рекомендаций).

Расчет пропускной способности типов блоков помещений ДДК и зданий МРК производится раздельно для каждой из профилирующих в них возрастных групп, как это показано для ДДК - в табл.6 и МРК - в табл.7.

5.34 Номенклатура типов блоков ДДК и зданий МРК, рекомендуемых для организации и строительства в сложившихся и вновь застраиваемых районах Москвы, приведена в табл.8.

5.35 При размещении учреждений сети ДПК рекомендуется территориальное совмещение одного из центрально расположенных ДДК с МРК, что позволит сформировать единый пространственно-функциональный комплекс - центральный микрорайонный ДПК - вместимость которого определяется суммарной вместимостью его составляющих: ДДК и МРК.

5.36 Организационно-функциональную структуру ДДК и МРК сети ДПК предлагается формировать как непрерывный последовательный ряд занятий, обеспечивающий постепенный переход детей, - по мере развития и роста пространственной мобильности, - от простых, нерасчленённых (в ДДК) ко всё более сложным и дифференцированным видам деятельности (в МРК).

5.37 Организационная структура ДДК представлена 4-мя функциональными зонами, состав занятий в которых строго не регламентируется и может быть свободно определён в соответствии с особенностями обслуживаемой территории и населения, сложившимся спросом и экономическими и кадровыми возможностями. Рекомендуемое зонирование помещений ДДК предполагает максимальную унификацию, обеспечивающую их многофункциональное использование и трансформацию по мере смены занятий.

В табл. 9 приведены основные функциональные зоны и их соотношение, рекомендуемое при реконструкции существующих и проектировании новых ДДК.

5.38 Основные функциональные зоны и вместимость групп помещений и зданий МРК приведены в табл.10.

5.39 Состав и вместимости основных функциональных групп помещений ДДК и МРК могут быть уточнены заданиями на проектирование или проектами в соответствии с конкретными условиями размещения и организационно-педагогическими программами клубов.

Таблица 6

Расчётные возрастные группы (лет)

Расчетный показатель (занимавшихся на 1000 жит.)

Количество занимающихся (чел.) при численности жителей в зоне обслуживания (тыс. чел.)

2(1-3)

4(3,1-5)

6(5,1-7)

9(7,1-11)

12(11,1-13)

1

2

3

4

5

6

7

4-6

1,0

2

4

6

9

12

7-10

8,5

17

34

51

76

102

11-14

8,0

16

32

48

72

96

ИТОГО:

17,5

35

70

105

157

210

Рекомендуемая вместимость ДДК

-

40

70

100

150

200

Таблица 7

Расчётные возрастные группы (лет)

Расчётный показатель (занимающихся на 1000 жит.)

Количество занимающихся (чел.) при численности жителей в зоне обслуживания (тыс. чел.)

8(5-10)

15(10,1-20)

25(20,1-30)

35(30,1-40)

45(40,1-50)

1

2

3

4

5

6

7

11-14

8,0

64

120

200

280

360

15-18

6,5

52

97

162

227

292

ИТОГО:

14,5

116

217

362

507

652

Рекомендуемая вместимость МРК

-

100

200

350

500

650

Таблица 8

Число жителей по группам зон обслуживания, тыс. человек

Номенклатура типов блоков и зданий

Количество занимающихся - пропускная способность, чел.*

Единовременная вместимость, мест

1

2

3

Детские домовые клубы (ДДК)**

2(1,0-3,0)

40

10

4(3,1-5,0)

70

15

6(5,1-7,0)

100

20

9(7,1-11,0)

150

30

12(11,1-13,0)

200

50

Микрорайонные разновозрастные клубы (МРК)***

8(5,0-10,0)

100

20

15(10,1-20,0)

200

50

25(20,1-30,0)

350

80

35(30,1-40,0)

500

100

45(40,1-50,0)

650

150

___________

* При числе смен в день 1,5, посещений в неделю 2 и рабочих дней в неделю 6.

** При норме 17,5 занимающихся на 1000 жителей.

*** При норме 14,5 занимающихся на 1000 жителей.

Примечания:

1. ДДК малой вместимости могут быть применены как в зонах с низкой плотностью жилого фонда, так и в качестве дополнения при вытянутой конфигурации расчетной территории, а также - при реконструкции сложившейся сети.

2. При определении вместимости ДПК учитывается только количество постоянно занимающихся (без вместимости помещений для массовых мероприятий, зрелищ, а также игр, развлечений и рекреации).

Таблица 9

Основные функциональные зоны ДДК

Соотношение помещений функциональных зон (%) по типам ДДК, занимающихся/мест

40

10

70

15

100

20

150

30

200

50

1

2

3

4

5

6

1. Массовых мероприятий (праздники, дни рождения, собрания и т.п.) *

-

-

-

-

-

В табл.9 приведены основные функциональные зоны и их соотношение, рекомендуемое при реконструкции существующих и проектировании новых ДДК.

5.38 Основные функциональные зоны и вместимость групп помещений и зданий МРК приведены в табл. 10.

5.39 Состав и вместимости основных функциональных групп помещений ДДК и МРК могут быть уточнены заданиями на проектирование или проектами в соответствии с конкретными условиями размещения и организационно-педагогическими программами клубов.

Таблица 6

Расчётные возрастные группы (лет)

Расчётный показатель (занимающихся на 1000 жит.)

Количество занимающихся (чел.) при численности жителей в зоне обслуживания (тыс. чел.)

2(1-3)

4(3,1-5)

6(5,1-7)

9(7,1-11)

12(11,1-13)

1

2

3

4

5

6

7

4-6

1,0

2

4

6

9

12

7-10

8,5

17

34

51

76

102

11-14

8,0

16

32

48

72

96

ИТОГО:

17,5

35

70

105

157

210

Рекомендуемая вместимость ДДК

-

40

70

100

150

200

Таблица 7

Расчётные возрастные группы (лет)

Расчётный показатель (занимающихся на 1000 жит.)

Количество занимающихся (чел.) при численности жителей в зоне обслуживания (тыс. чел.)

8(5-10)

15(10,1-20)

25(20,1-30)

35(30,1-40)

45(40,1-50)

1

2

3

4

5

6

7

11-14

8,0

64

120

200

280

360

15-18

6,5

52

97

162

227

292

ИТОГО:

14,5

116

217

362

507

652

Рекомендуемая вместимость МРК

-

100

200

350

500

650

Таблица 8

Число жителей по группам зон обслуживания, тыс. человек

Номенклатура типов блоков и зданий

Количество занимающихся - пропускная способность, чел.*

Единовременная вместимость, мест

1

2

3

Детские домовые клубы (ДДК)**

2(1,0-3,0)

40

10

4(3,1-5,0)

70

15

6(5,1-7,0)

100

20

9(7,1-11,0)

150

30

12(11,1-13,0)

200

50

Микрорайонные разновозрастные клубы (МРК)**

8(5,0-10,0)

100

20

15(10,1-20,0)

200

50

25(20,1-30,0)

350

80

35(30,1-40,0)

500

100

45(40,1-50,0)

650

150

____________

* При числе смен в день 1,5, посещений в неделю 2 и рабочих дней в неделю 6.

** При норме 17,5 занимающихся на 1000 жителей.

*** При норме 14,5 занимающихся на 1000 жителей.

Примечания:

1. ДДК малой вместимости могут быть применены как в зонах с низкой плотностью жилого фонда, так и в качестве дополнения при вытянутой конфигурации расчётной территории, а также - при реконструкции сложившейся сети.

2. При определении вместимости ДПК учитывается только количество постоянно занимающихся (без вместимости помещений для массовых мероприятий, зрелищ, а также - игр, развлечений и рекреации).

Таблица 9

Основные функциональные зоны ДДК

Соотношение помещений функциональных зон (%) по типам ДДК, занимающихся/мест

40/10

70/15

100/20

150/30

200/50

1

2

3

4

5

6

I. Массовых мероприятий (праздники, дни рождения, собрания и т.п.)*

-

-

-

-

-

II. Учебная (кружки, студии, секции, мастерские и т.п.) всего в том числе:

100

100

100

90

85

1. Эстетического развития (ИЗО, музыка, хореография и т.д.)

50

40

40

30

25

2. Трудового воспитания (ремонт техники, мебели и т.п., рукоделие, домоводство и т.д.)

50

45

40

35

30

3. Общегуманитарная деятельность

-

15

15

15

20

4. Другие виды занятий

-

-

5

10

10

III. Физического развития

-

-

-

10

15

IV. Отдыха, игр и развлечений*

-

-

-

-

-

___________

* Вместимость групп помещений для «Массовых мероприятий» и «Отдыха, игр и развлечений» жёстко не регламентируется и не входит в показатель вместимости ДДК. В общем случае её предлагается принимать в размере 100-150 % от единовременной вместимости ДДК.

Таблица 10

Основные функциональные группы помещений МРК

Соотношение помещений (мест) при типах зданий МРК, занимающихся/мест

100/20

200/50

350/80

500/100

650/150

1

2

3

4

5

6

I. Зрелищная*

-

-

-

-

-

II. Учебно-кружковая, в том числе:

16

45

70

85

130

1. Художественного воспитания

10

25

40

50

70

2. Технической деятельности

2

5

10

10

20

3. Эколого-биологической деятельности

2

5

10

15

20

4. Туризма и краеведения

2

5

5

5

10

5 Общегуманитарной деятельности

2

5

5

5

10

III. Физкультурно-спортивная

4

5

10

15

20

IV. Рекреационная *

-

-

-

-

-

____________

* Вместимость «Зрелищной» и «Рекреационной» групп помещений не регламентируется и не входит в показатель вместимости МРК. Её рекомендуется принимать в размере 100-150 % единовременной вместимости МРК.

6. Архитектурно-планировочные решения комплекса помещений детско-подростковых клубов

Общие требования

6.1 Комплекс помещений детско-подростковых клубов следует проектировать в виде встроенных, пристроенных к жилым и общественным зданиям блоков или отдельно стоящих зданий высотой не более двух этажей, для клубов, включающих возрастную группу дошкольников. В секционных многоквартирных жилых зданиях, учитывая мелкоячеистую конструктивную структуру жилой секции, частое расположение лестнично-лифтовых узлов, сантехнических шахт и т.п., наиболее предпочтительным является размещение помещений клубов на площади двух-трёх смежных жилых секций в пределах первого этажа. Допускается также приспособление существующих помещений общественного и жилого назначения.

6.2 При сохранении общего принципа универсализации помещений детско-подростковых клубов, рекомендуется предусматривать ряд специализированных, с учетом их функциональных особенностей и требований к определённой изоляции.

При большой общей вместимости ДПК, рекомендуется предусматривать самостоятельные входы в его отдельные функциональные группы помещений.

При проектировании встроенных в жилые здания клубов необходимо соблюдать требования МГСН 3.01-96, в том числе - обеспечить их изоляцию от жилых секций, предусматривая автономные входы.

6.3 Планировочные решения блоков и зданий детско-подростковых клубов должны обеспечить функциональную гибкость их использования для разнообразных видов деятельности путём их унификации и трансформации.

6.4 Планировочное решение блоков и зданий детско-подростковых клубов должно предусматривать связь отдельных групп помещений с соответствующими им зонами участков.

6.5 Высоты помещений следует принимать в соответствии со СНиП 2.08.02-89* и Рекомендациями по проектированию сети и зданий детских внешкольных учреждений для г. Москвы. Выпуск 1. Детские музыкальные школы и школы искусств, Москва, НИАЦ АО «ГРАДО», 1996 г.

Высоты помещений для спортивных и физкультурно-оздоровительных занятий должны приниматься в соответствии с нормами проектирования спортивных сооружений.

6.6 Проектирование комплексов помещений ДДК и МРК должно осуществляться с учётом потребностей детей-инвалидов в соответствии с ВСН 62-91* и «Руководством по учёту потребностей инвалидов при градостроительном и объёмном проектировании для г. Москвы и ЛПЗП», введённым в действие Указанием Москомархитектуры от 23.05.95 г., № 6.

Функциональная структура зданий и блоков помещений

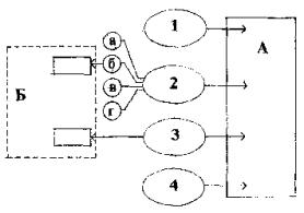
6.7 ДПК обладают разнообразными функциональными структурами: от простейших для проведения всевозможных занятий на площади одного или нескольких основных помещений, до оригинальных под авторские организационно-педагогические программы (функционально-планировочная схема разновозрастного клуба для детей, подростков и молодёжи муниципального округа, разработанная Р.В. и Н.В. Соколовыми, приведена на рис. 5, Приложение 3).

В настоящих Рекомендациях приведены функциональные структуры детско-подростковых клубов (ДДК и МРК), которые соответствуют наиболее распространённым организационно-педагогическим программам их деятельности.

6.8 Функциональная структура блока помещений ДДК включает следующие основные зоны массовых мероприятий, учебную, физического развития, отдыха, игр и развлечений (Рис. 1, Приложение 3).

6.9 Группы помещений или зоны зрелищ и массовых мероприятий, учебно-кружковая, физкультурно-спортивная и рекреационная образуют основу функциональной структуры зданий МРК (Рис. 2, Приложение 3).

6.10 Функциональные структуры ДПК предполагают возможность осуществления различных видов деятельности в универсальных зальных помещениях и в специализированных помещениях. Это позволяет изменять параметры отдельных функциональных зон в соответствии с приоритетными направлениями педагогических программ и общей вместимости клубов.

Функциональные группы помещений и архитектурно-планировочные элементы зданий

6.11 Функционально-планировочные схемы детско-подростковых клубов должны формироваться с учётом вместимости и принятой степени совмещения различных функциональных зон или элементов.

6.12 ДПК рекомендуется проектировать по функционально-планировочной схеме, предусматривающей создание планировочного ядра, в составе общих универсальных трансформируемых зальных помещений и специализированных групп помещений (мастерские, учебно-кружковые помещения, помещения для физкультурно-оздоровительных и спортивных занятий).

6.13 Функционально-планировочные схемы ДДК и МРК с наиболее развитыми составами помещений приведены на рис. 3, рис. 4 Приложения 3.

6.14 Планировочное решение блоков изданий клубов должно обеспечивать максимально возможную визуальную и пространственную связь всех функциональных зон. Это позволяет улучшить контроль со стороны педагога-организатора за поведением детей.

6.15 Архитектурно-планировочные решения помещений ДПК большой вместимости должны обеспечивать их многофункциональное использование в разных режимах работы, в том числе с помощью различных средств трансформации (Таблица 11):

универсальных зальных помещений - устройство горизонтального пола и съёмных секций кресел (скамей); зонирование с выделением изолированной площади для занятий и репетиций; непосредственная связь со спортзалом; размещение учебно-кружковых помещений вокруг универсального зального помещения и возможность непосредственной связи с ним; возможность оборудования временного гардероба непосредственно на площади зала или в смежных помещениях; примыкание к зальным помещениям кладовых для мебели, инвентаря и средств трансформации;

- вестибюлей - возможность непосредственной связи с универсальным зальным помещением; зонирование вестибюля с устройством проходов в универсальное зальное помещение и группу учебно-кружковых помещений.

Таблица 11

Состав и средства трансформации помещений детских подростковых клубов

№№ п/п

Виды трансформации помещений

Средства трансформации помещений

Цель трансформации и её эффективность

1

2

3

4

1

Плоскостная трансформация (замена мебели и оборудования, разделение помещения на секции без акустической изоляции)

Трансформируемые оборудование и мебель:

- складируемые стулья, скамьи, кресла, банкетки

- складные столы, пюпитры

- выдвижные, складные и наклонные трибуны разборные стенки, подъёмно-опускные щиты, складируемые столы для настольного тенниса

 - лекционные складные стенды, встроенные шкафы, складные щиты и экраны

Возможность проведения различных мероприятий клуба в одном помещении.

Сокращение площади хранения в 2-10 раз в зависимости от типа складного оборудования и мебели (по сравнению со стационарным хранением).

Возможность многофункционального использования складного оборудования и мебели (шведские стенки, навесной экран и др.)

2

Пространственная трансформация (разделение помещения с помощью подвижных перегородок)

1. Раздвижные перегородки:

- сдвижные (трансформируемые путём скольжения створок по направляющим с заходом друг за друга)

- занавесы (с горизонтальным или вертикальным направлением и складывающиеся)

Увеличение и уменьшение вместимости зала и иных помещений, в том числе путём подсоединения смежных помещений и т.д.

Универсальные трансформируемые зальные помещения

6.16 Универсальные трансформируемые зальные помещения представляют собой пространства многоцелевого назначения и рассчитаны на одновременное проведение различных занятий, для которых выделяются соответствующие функциональные зоны (место для просмотра телевизора, место настольных игр, чаепития, нерегламентированного общения и др.). Структура таких пространств должна предусматривать также возможность реализации одного вида деятельности или занятия (собрание, вечер отдыха, дискотека, детская ёлка, занятие группы общефизической подготовки, детского хореографического кружка и др.).

6.17 В ДДК при единовременной вместимости от 10 до 50 человек общую площадь универсального трансформируемого зального помещения (гостиной) рекомендуется принимать в соответствии с Приложением 1 в интервале от 24 до 120 кв. м.

6.18 В МРК при единовременной вместимости от 80 до 150 человек рекомендуется предусматривать, помимо трансформируемого зального помещения (100-170 кв. м.), трансформируемый универсальный зрительный зал общей площадью от 50 до 100 кв. м. с аппаратной и артистической (Приложение 2).

Группа учебно-кружковых помещений

6.19 Учебная зона в ДДК включает помещения кружков и студий, обеспечивающие эстетическое развитие, трудовое воспитание, общегуманитарную и другие направления деятельности.

Специализированные учебные помещения для трудового воспитания включают: а) мастерскую по ремонту техники, мебели и т.д.; б) комнату для занятий рукоделием и домоводством.

6.20 В состав учебно-кружковых помещений в МРК входят группы помещений художественного воспитания (музыкальная студия, студия изобразительного искусства, мастерская рукоделия, видеофотостудия) и технической деятельности (кружок начального моделирования, компьютерный класс), отдельные помещения эколого-биологической и туристско-краеведческой деятельности, общегуманитарного направления деятельности.

6.21 Помещения определённых направлений учебно-кружковой работы рекомендуется размещать в здании, группируя их вокруг универсальных зальных пространств.

6.22 Помещения музыкальных, хореографических, а также изобразительного искусства и скульптуры студий или кружков следует проектировать в соответствии с «Рекомендациями по проектированию сети и зданий детских внешкольных учреждений для г. Москвы». Выпуск 1. Детские музыкальные школы и школы искусств, Москва, НИАЦ АО «ГРАДО», 1996 г.

6.23 Помещения для занятий литературно-драматической студии (кружка театрального искусства) и видеофотостудии следует проектировать в соответствии с «Рекомендациями по проектированию сети и зданий детских внешкольных учреждений для г. Москвы». Выпуск 2. Центры детского творчества, Москва, НИАЦ АО «ГРАДО», 1997 г.

6.24 Планировочные схемы помещений для мастерской по обработке дерева и металла, для занятий рукоделием, кружка начального моделирования, кружков общегуманитарного направления деятельности приведены в Приложении 3, рис. 6, 7, 8, 9.

6.25 Состав и расчётные удельные площади помещений для клубно-кружковой работы приведены в Таблице 12.

Группа помещений для физкультурно-оздоровительных и спортивных занятий

6.26 В ДОК с единовременной вместимостью 30-50 человек, помимо проведения физкультурно-оздоровительных занятий в универсальном зальном помещении, рекомендуется предусматривать отдельное помещение площадью 24-30 кв. м. (Приложение 1).

6.27 В МРК с единовременной вместимостью 80-150 человек следует включать в состав помещений тренажёрные залы и залы для занятий ритмической гимнастикой и хореографии (Приложение 2).

6.28 Состав и расчётные показатели помещений для физкультурно-оздоровительных занятий приведены в Таблице 12.

6.29 Рекомендуемый состав и площади помещений для ДДК и МРК уточняются заданием на проектирование или проектом в соответствии с конкретными организационно-педагогическими программами клубов.

Таблица 12

Состав и удельные показатели площадей помещений детско-подростковых клубов

№№ п/п

Помещения

Площадь на одно место, кв. м.

1

2

3

1

Учебно-кружковые помещения

 

1.1

Помещения для художественного воспитания и эстетического развития:

 

- кружок театрального искусства (литературно-драматическая студия)

3,6 - 4,8

- кружок кукольного театра с мастерской кукол

4,8 + 2,4

- для занятий музыкой

2,6

- для изобразительного и оформительского искусства

4,8

- для рукоделия и художественной обработки материалов

3,6 - 4,8

- для фото- и киноискусства

6,0

1.2

Помещения для технической деятельности и трудового воспитания:

 

- для начального технического моделирования

3,6-4,8

- для кружков резчиков по дереву и чеканки

6,0

- для кружка радиотехнического моделирования

4,8

- комбинированная мастерская по обработке дерева и металла

6,0-9,0

1.3

Помещения для эколого-биологической деятельности, туризма и краеведения

3,6-4,8

1.4

Помещения для общегуманитарной деятельности

3,5

2

Помещения для физкультурно-оздоровительных занятий:

 

- для занятий ритмической гимнастикой и хореографией

6,8-9,6

- для настольного тенниса (на один стол 6´4)

6,0

- для борьбы

9,0

- для занятий с использованием тренажеров и снарядов для развития выносливости

4,5 - на каждый вид оборудования

3

Помещения массовых мероприятий, зрелищ, отдыха, игр и развлечений - трансформируемые универсальные помещения:

 

- универсальный зал

1,1-1,7

- универсальная гостиная

1,6-2,4

- универсальная рекреация

2,2-3,2

- зрительный зал

0,7

4

Входные, хозяйственные и обслуживающие помещения:

 

- вестибюль с гардеробом, прихожая

0,22

- санитарные узлы

0,15**

- кладовые, встроенные шкафы и подсобные помещения

10-15 % от площади комнат для работы кружков и универсальных зальных помещений

- помещения для руководителей кружков

4.0 на 1 чел.

_____________

* 6,0 при отсутствии помещений для разминки перед занятиями на тренажерах.

** 1,8-2,5 кв. м на 1 санитарный прибор. Количество санитарных приборов рекомендуется определять из расчёта 2 унитаза и 1 умывальник на 50 посетителей.

Группа входных, хозяйственных и обслуживающих помещений

6.30 В группу входных, хозяйственных и обслуживающих помещений ДДК входят:

вестибюль с гардеробом (прихожая), санузлы, кладовые, подсобные помещения и комната руководителя клуба (при вместимости 50 мест). В крупных MPK в этой группе помещений рекомендуется предусматривать комнату для преподавателей и методический кабинет, а также помещение для сторожа.

6.31 Вестибюли клубов рекомендуется проектировать в непосредственной связи с универсальными помещениями. В ДДК малой вместимости гардероб может располагаться в помещении при входе или в стенной нише.

6.32 Состав и расчётные удельные площади помещений входных, хозяйственных и обслуживающих помещений приведены в Таблице 12.

Приложение 1

Примерный состав и площади помещений детских домовых клубов (ДДК)

№№ п/п

СОСТАВ ПОМЕЩЕНИЙ

Площадь помещений (м2) по типам ДДК занимающихся/мест

40

10

70

15

100

20

150

30

200

50

1

2

3

4

5

б

7

1

Трансформируемое универсальное помещение (гостиная)

24

36

48

72

120

2

Специализированные учебные помещения для трудового воспитания:

 

 

 

 

 

- мастерская ремонта техники, мебели и т.п.

12

18

24

30

42

- комната для занятий рукоделием и домоводством

12

15

15

18

30

3

Помещения для физического развития

-

-

-

24

30

4

Входные, хозяйственные и обслуживающие помещения:

 

 

 

 

 

- вестибюль с гардеробом, прихожая

4

6

8

10

12

- санитарные узлы

4

4

4

6

8

- кладовые или встроенные шкафы подсобные помещения

5

7

8

12

30

- комната руководителя клуба

-

-

-

-

9

 

ВСЕГО:

61

86

107

172

282

Приложение 2

Примерный состав и площади помещений микрорайонных разновозрастных клубов (МРК)

№№ п/п

СОСТАВ ПОМЕЩЕНИЙ

Площадь помещений (м2) по типам МРК занимающихся/мест

100

20

200

50

350

80

500

100

650

150

1

2

3

4

5

6

7

1

Трансформируемые универсальные помещения

 

 

 

 

 

1.1

Трансформируемое универсальное зальное помещение (для отдыха, игр и развлечений, проведения массовых мероприятий, физического развития, проведения занятий кружков и студий)

48

120

100

110

170

1.2

Трансформируемый универсальный зрительный зал

-

-

50

70

100

- аппаратная

-

-

6

27

27

- артистическая

-

-

-

9

9

2

Специализированные учебно-кружковые помещения

 

 

 

 

 

2.1

Помещения художественного воспитания:

 

 

 

 

 

- музыкальная студия

-

36

67

20+47

87

20´2+47

87

20´2+47

- студия изобразительного искусства

-

36

54

54

54

- мастерская рукоделия и художественной обработки

15

36

54

54

54

материалов

 

 

 

 

 

- видеофотостудия

-

-

36

36

54

2.2

Помещения технической деятельности:

 

 

 

 

 

 

- кружок начального моделирования с лаборантской

 

54

54

54

72

- компьютерный класс

12

12

12

24

36

2.3

Помещения эколого-биологической деятельности:

 

 

 

 

 

- помещение для занятий юных натуралистов

-

54

54

72

72

2.4

Помещение для туристско-краеведческой деятельности

-

-

24

24

36

2.5

Помещения для общегуманитарного направления деятельности

-

-

18

21

36

3

Помещения физкультурно-спортивных занятий:

 

 

 

 

 

3.1

Тренажерный зал

-

-

54

-

54

- инвентарная

-

-

8

-

8

- раздевальные

-

-

14

7´2

-

14

7´2

- душевые

-

-

4

2´2

-

4

2´2

- санузлы

-

-

4

2´2

-

4

2´2

3.2

Зал для занятий ритмической гимнастикой и хореографией:

-

-

-

81

9´9

81

9´9

- раздевальные с душевыми и санузлами

-

-

-

18

9´2

18

9´2

- подсобная

-

-

-

9

9

4

Входные, хозяйственные и обслуживающие помещения:

 

 

 

 

 

- вестибюль с гардеробом, прихожая

8

12

18

22

33

- санитарные узлы

4

8

10

12

18

- кладовые или встроенные шкафы, подсобные помещения, склады

11

40

82

93

110

- комнаты руководителя клуба, преподавателей, для методической работы

-

9

12

36

12+24

48

12+36

 

ВСЕГО:

98

417

735

913

1208

Приложение 3

Функциональные структуры и планировочные схемы помещений детско-подростковых клубов

Рис. 1 Функциональная структура детского домового клуба

Условные обозначения

Основные функциональные зоны: 1 - массовых мероприятий; 2 - учебная; 3 - физического развития; 4 - отдыха, игр и развлечений

Основные направления учебно-кружковых занятий: а - эстетическое развитие; б - трудовое воспитание; в - общегуманитарная деятельность; г - другие виды занятий

А - универсальное трансформируемое зальное помещение (гостиная)

Б - специализированные помещения

Рис. 2 Функциональная структура микрорайонного разновозрастного клуба

Условные обозначения

Основные функциональные зоны: 1 - зрелищная и массовых мероприятий; 2 - учебно-кружковая; 3 - физкультурно-спортивная; 4 - рекреационная

Основные направления учебно-кружковых занятий: а - художественное воспитание; б - техническая деятельность; в - эколого-биологическая деятельность; г - туризм и краеведение; д - общегуманитарная деятельность

А - универсальные трансформируемые зальные помещения

Б - специализированные помещения

Рис. 3 Функционально-планировочная схема детского домового клуба (ДДК)

1 - трансформируемое универсальное зальное помещение (для отдыха, игр, развлечений, массовых мероприятий, эстетического и физического развития, общегуманитарной деятельности);

2 - специализированные учебные помещения для трудового воспитания:

2.1 - мастерская ремонта техники, мебели и т.д.;

2.2 - комната для занятий рукоделием и домоводством;

3 - помещения для физического развития;

4 - входные, хозяйственные и обслуживающие помещения: а - вестибюль с гардеробом; б - санитарные узлы; в - кладовые, встроенные шкафы, подсобные помещения; г - комната руководителя клуба

Рис. 4 Функционально-планировочная схема микрорайонного разновозрастного клуба (МРК)

1 - трансформируемые универсальные помещения (1,1 - трансформируемое универсальное зальное помещение; 1.2 - трансформируемый универсальный зрительный зал)

2 - специализированные учебно-кружковые помещения:

2.1 - помещения художественного воспитания (музыкальная студия, студия изобразительного искусства, мастерская рукоделия, видеофотостудия);

2.2 - помещения технической деятельности (кружок начального моделирования, компьютерный класс);

2.3 - помещения эколого-биологической деятельности;

2.4 - помещение для туристско-краеведческой деятельности;

2.5 - помещения общегуманитарного направления деятельности;

3 - помещения физкультурно-спортивных занятий (3.1 - тренажёрный зал, 3.2 - зал для занятий ритмической гимнастикой);

4 - входные, хозяйственные и обслуживающие помещения: а - вестибюль с гардеробом, б - санузлы, в - кладовые, встроенные шкафы, подсобные помещения; г - комнаты руководителя клуба, преподавателей, для методической работы

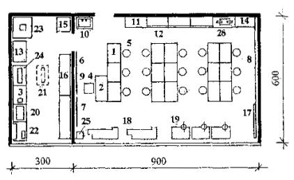
Рис. 5 Функционально-планировочная схема разновозрастного клуба для детей, подростков и молодёжи муниципального округа (авторы Р.В. и Н.В. Соколовы)

1. Холл-коммуникационное пространство. 2. Гардероб. 3. Санузлы. 4. Кухня (помещение для занятий кулинарией). 5. Гостиная. 6. Методический кабинет с библиотекой, кабинет директора. 7. Мастерская рукоделия. 8. Игротека для детей младшего возраста с комнатным спортивным комплексом. 9. Актовый зал. 10. Сцена с радиорубкой и комнатой артистов. 11. Аппаратная. 12. Фото-кино-класс. 13. Универсальная мастерская. 14. Электро-радиомастерская. 15. Изостудия. 16. Спортивный зал. 17. Тренажёрный зал. 18. Душевая. 19. Раздевальная. 20. Подсобные помещения. 21. Сцена открытой эстрады. 22. Большая спортивная площадка. 23. Детская игровая площадка. 24. Детская строительная площадка. 25. Озеленённое благоустроенное пространство (цветники, сад и т.п.)

Рис. 6 Планировочные схемы кружков кройки и шитья, вязания и домоводства

А - помещение для кружка кройки и шитья, вязания (на 12 человек)

Б - помещение для кружка кройки и шитья, вязания и домоводства (на 18 человек)

Экспликация оборудования:

1 - стол рабочий; 2 - стол обеденный раздвижной; 3 - стол педагога; 4 - гладильный стол; 5 - вязальная машина; 6 - стул складируемый; 7 - стул поворотный; 8 - табурет; 9 - доска меловая настенная; 10 - встроенный шкаф с отделением для выставки; 11 - швейная машина настольная; 12 - стенд; 13 - манекен; 14 - зеркало; 15 - плитка электрическая; 16 - кухонный стол с мойкой

Рис. 7 Планировочная схема мастерской по обработке дерева

Экспликация оборудования

1 - верстак руководителя; 2 - табурет; 3 - верстак столярный; 4 - станок сверлильный настольный; 5 - точило наждачное; 6 - станок фуговально-распиловочный; 7 - клееварка; 8 - урна для мусора; 9 - встроенный шкаф для спецодежды; 10 - шкаф-стеллаж для инструментов и материалов; 11 - раковина

Рис. 8 Планировочная схема мастерской по обработке металла

Экспликация оборудования

1 - шкаф для книг и пособий; 2 - муфельная печь; 3 -доска классная; 4 - верстак руководителя; 5 - табурет; 6 - верстак слесарный; 7 - точило наждачное; 8 - наковальня; 9 - станок токарный; 10 - станок сверлильный; 11 - встроенный шкаф для спецодежды; 12 - шкаф-стеллаж для инструментов и материалов; 13 - урна для мусора; 14 - раковина

Рис. 9 Планировочная схема кружка технического моделирования

Экспликация помещений:

1 - стол рабочий одноместный; 2 - стол педагога; 3 - стол-подставка под оборудование; 4 - стул поворотный; 5 - табурет лабораторный; 6 - доска меловая настенная; 7 - доска приколочная настенная; 8 - стенд настенный; 9 - экран свёртывающийся; 10 - раковина; 11 - шкаф (секция) для спецодежды; 12 - шкаф (секция) с отделением для выставки; 13 - шкаф (секция) для приборов и инвентаря; 14 - шкаф-сейф; 15 - шкаф вытяжной; 16 - стеллаж деревянный; 17 - стенд для инструментов; 18 - верстак столярный; 19 - верстак слесарный с тисками; 20 - станок настольный сверлильный; 21 - станок фуговально-распиловочный передвижной; 22 - электроточило; 23 - электроклееварка; 24 - электрокипятильник; 25 - ящик для мусора; 26 - подставка для проекционной аппаратуры передвижная

Рис. 10 Планировочная схема кружков общегуманитарного направления деятельности

Экспликация оборудования:

1 - стол письменный однотумбовый; 2 - стол-приставка; 3 - стол для заседаний; 4 - стул складируемый; 5 - стул полужёсткий; 6 - банкетка полужёсткая; 7 - стол-подставка; 8 -стол-витрина; 9 - стенд настенный; 10 - шкаф (секция) с отделением для выставки; 11 - шкаф (секция) для пособий и инвентаря; 12 - подставка под проекционную аппаратуру; 13 - экран свёртывающийся; 14 - цветочница




Яндекс цитирования



   Copyright © 2007-2026,  www.tehlit.ru.

[ ѓосты, стандарты, нормативы, инструкции, правила, строительные нормы ]